Abstract:User simulators are increasingly leveraged to build interactive AI assistants, yet how to measure the quality of these simulators remains an open question. In this work, we show how simulator quality can be quantified in terms of its downstream utility: how an LLM assistant trained with this user simulator performs in the wild when interacting with real humans. In a controlled experiment where only the user simulator varies, we train LLM assistants via reinforcement learning against a spectrum of simulators, from an LLM prompted to role-play a user to one fine-tuned on human utterances from WildChat. As evaluation, we measure pairwise win rates in a user study with 283 participants and on WildBench, a benchmark derived from real human--AI conversations. Training against the role-playing LLM yields an assistant statistically indistinguishable from the initial assistant in our user study (51% win rate), whereas training against the fine-tuned simulator yields significant gains (58% over the initial and 57% over the one trained against role-playing). Closer inspection reveals three further patterns: methods for making role-playing LLMs more realistic (e.g., persona conditioning) improve trained assistants but do not close the gap to the fine-tuned simulator; scaling the simulator's model size benefits the fine-tuned simulator but yields no gain for role-playing ones; and assistants trained against role-playing simulators fail to generalize when paired with other simulators at test time, while the one trained against fine-tuned simulator does. Together, these results argue for grounding user simulators in real human behavior and measuring their quality by their downstream effect on real users.
Abstract:Humans act via a nuanced process that depends both on rational deliberation and also on identity and contextual factors. In this work, we study how large language models (LLMs) can simulate human action in the context of social dilemma games. While prior work has focused on "steering" (weak binding) of chat models to simulate personas, we analyze here how deep binding of base models with extended backstories leads to more faithful replication of identity-based behaviors. Our study has these findings: simulation fidelity vs human studies is improved by conditioning base LMs with rich context of narrative identities and checking consistency using instruction-tuned models. We show that LLMs can also model contextual factors such as time (year that a study was performed), question framing, and participant pool effects. LLMs, therefore, allow us to explore the details that affect human studies but which are often omitted from experiment descriptions, and which hamper accurate replication.
Abstract:Rebus puzzles, visual riddles that encode language through imagery, spatial arrangement, and symbolic substitution, pose a unique challenge to current vision-language models (VLMs). Unlike traditional image captioning or question answering tasks, rebus solving requires multi-modal abstraction, symbolic reasoning, and a grasp of cultural, phonetic and linguistic puns. In this paper, we investigate the capacity of contemporary VLMs to interpret and solve rebus puzzles by constructing a hand-generated and annotated benchmark of diverse English-language rebus puzzles, ranging from simple pictographic substitutions to spatially-dependent cues ("head" over "heels"). We analyze how different VLMs perform, and our findings reveal that while VLMs exhibit some surprising capabilities in decoding simple visual clues, they struggle significantly with tasks requiring abstract reasoning, lateral thinking, and understanding visual metaphors.




Abstract:Large language models (LLMs) are increasingly capable of simulating human behavior, offering cost-effective ways to estimate user responses during the early phases of survey design. While previous studies have examined whether models can reflect individual opinions or attitudes, we argue that a \emph{higher-order} binding of virtual personas requires successfully approximating not only the opinions of a user as an identified member of a group, but also the nuanced ways in which that user perceives and evaluates those outside the group. In particular, faithfully simulating how humans perceive different social groups is critical for applying LLMs to various political science studies, including timely topics on polarization dynamics, inter-group conflict, and democratic backsliding. To this end, we propose a novel methodology for constructing virtual personas with synthetic user ``backstories" generated as extended, multi-turn interview transcripts. Our generated backstories are longer, rich in detail, and consistent in authentically describing a singular individual, compared to previous methods. We show that virtual personas conditioned on our backstories closely replicate human response distributions (up to an 87\% improvement as measured by Wasserstein Distance) and produce effect sizes that closely match those observed in the original studies. Altogether, our work extends the applicability of LLMs beyond estimating individual self-opinions, enabling their use in a broader range of human studies.
Abstract:Large language models (LLMs) present novel opportunities in public opinion research by predicting survey responses in advance during the early stages of survey design. Prior methods steer LLMs via descriptions of subpopulations as LLMs' input prompt, yet such prompt engineering approaches have struggled to faithfully predict the distribution of survey responses from human subjects. In this work, we propose directly fine-tuning LLMs to predict response distributions by leveraging unique structural characteristics of survey data. To enable fine-tuning, we curate SubPOP, a significantly scaled dataset of 3,362 questions and 70K subpopulation-response pairs from well-established public opinion surveys. We show that fine-tuning on SubPOP greatly improves the match between LLM predictions and human responses across various subpopulations, reducing the LLM-human gap by up to 46% compared to baselines, and achieves strong generalization to unseen surveys and subpopulations. Our findings highlight the potential of survey-based fine-tuning to improve opinion prediction for diverse, real-world subpopulations and therefore enable more efficient survey designs. Our code is available at https://github.com/JosephJeesungSuh/subpop.
Abstract:In this work, we present a novel technique for GPU-accelerated Boolean satisfiability (SAT) sampling. Unlike conventional sampling algorithms that directly operate on conjunctive normal form (CNF), our method transforms the logical constraints of SAT problems by factoring their CNF representations into simplified multi-level, multi-output Boolean functions. It then leverages gradient-based optimization to guide the search for a diverse set of valid solutions. Our method operates directly on the circuit structure of refactored SAT instances, reinterpreting the SAT problem as a supervised multi-output regression task. This differentiable technique enables independent bit-wise operations on each tensor element, allowing parallel execution of learning processes. As a result, we achieve GPU-accelerated sampling with significant runtime improvements ranging from $33.6\times$ to $523.6\times$ over state-of-the-art heuristic samplers. We demonstrate the superior performance of our sampling method through an extensive evaluation on $60$ instances from a public domain benchmark suite utilized in previous studies.




Abstract:Assessing personality traits using large language models (LLMs) has emerged as an interesting and challenging area of research. While previous methods employ explicit questionnaires, often derived from the Big Five model of personality, we hypothesize that LLMs implicitly encode notions of personality when modeling next-token responses. To demonstrate this, we introduce a novel approach that uncovers latent personality dimensions in LLMs by applying singular value de-composition (SVD) to the log-probabilities of trait-descriptive adjectives. Our experiments show that LLMs "rediscover" core personality traits such as extraversion, agreeableness, conscientiousness, neuroticism, and openness without relying on direct questionnaire inputs, with the top-5 factors corresponding to Big Five traits explaining 74.3% of the variance in the latent space. Moreover, we can use the derived principal components to assess personality along the Big Five dimensions, and achieve improvements in average personality prediction accuracy of up to 5% over fine-tuned models, and up to 21% over direct LLM-based scoring techniques.




Abstract:Large language models (LLMs) are trained from vast repositories of text authored by millions of distinct authors, reflecting an enormous diversity of human traits. While these models bear the potential to be used as approximations of human subjects in behavioral studies, prior efforts have been limited in steering model responses to match individual human users. In this work, we introduce "Anthology", a method for conditioning LLMs to particular virtual personas by harnessing open-ended life narratives, which we refer to as "backstories." We show that our methodology enhances the consistency and reliability of experimental outcomes while ensuring better representation of diverse sub-populations. Across three nationally representative human surveys conducted as part of Pew Research Center's American Trends Panel (ATP), we demonstrate that Anthology achieves up to 18% improvement in matching the response distributions of human respondents and 27% improvement in consistency metrics. Our code and generated backstories are available at https://github.com/CannyLab/anthology.
Abstract:Recent advances in state-of-the-art DNN architecture design have been moving toward Transformer models. These models achieve superior accuracy across a wide range of applications. This trend has been consistent over the past several years since Transformer models were originally introduced. However, the amount of compute and bandwidth required for inference of recent Transformer models is growing at a significant rate, and this has made their deployment in latency-sensitive applications challenging. As such, there has been an increased focus on making Transformer models more efficient, with methods that range from changing the architecture design, all the way to developing dedicated domain-specific accelerators. In this work, we survey different approaches for efficient Transformer inference, including: (i) analysis and profiling of the bottlenecks in existing Transformer architectures and their similarities and differences with previous convolutional models; (ii) implications of Transformer architecture on hardware, including the impact of non-linear operations such as Layer Normalization, Softmax, and GELU, as well as linear operations, on hardware design; (iii) approaches for optimizing a fixed Transformer architecture; (iv) challenges in finding the right mapping and scheduling of operations for Transformer models; and (v) approaches for optimizing Transformer models by adapting the architecture using neural architecture search. Finally, we perform a case study by applying the surveyed optimizations on Gemmini, the open-source, full-stack DNN accelerator generator, and we show how each of these approaches can yield improvements, compared to previous benchmark results on Gemmini. Among other things, we find that a full-stack co-design approach with the aforementioned methods can result in up to 88.7x speedup with a minimal performance degradation for Transformer inference.




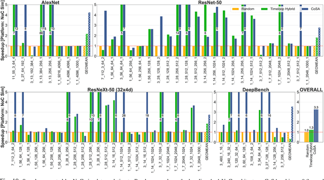
Abstract:Recent advances in Deep Neural Networks (DNNs) have led to active development of specialized DNN accelerators, many of which feature a large number of processing elements laid out spatially, together with a multi-level memory hierarchy and flexible interconnect. While DNN accelerators can take advantage of data reuse and achieve high peak throughput, they also expose a large number of runtime parameters to the programmers who need to explicitly manage how computation is scheduled both spatially and temporally. In fact, different scheduling choices can lead to wide variations in performance and efficiency, motivating the need for a fast and efficient search strategy to navigate the vast scheduling space. To address this challenge, we present CoSA, a constrained-optimization-based approach for scheduling DNN accelerators. As opposed to existing approaches that either rely on designers' heuristics or iterative methods to navigate the search space, CoSA expresses scheduling decisions as a constrained-optimization problem that can be deterministically solved using mathematical optimization techniques. Specifically, CoSA leverages the regularities in DNN operators and hardware to formulate the DNN scheduling space into a mixed-integer programming (MIP) problem with algorithmic and architectural constraints, which can be solved to automatically generate a highly efficient schedule in one shot. We demonstrate that CoSA-generated schedules significantly outperform state-of-the-art approaches by a geometric mean of up to 2.5x across a wide range of DNN networks while improving the time-to-solution by 90x.