Microsoft




Abstract:We introduce LogiPlan, a novel benchmark designed to evaluate the capabilities of large language models (LLMs) in logical planning and reasoning over complex relational structures. Logical relational reasoning is important for applications that may rely on LLMs to generate and query structured graphs of relations such as network infrastructure, knowledge bases, or business process schema. Our framework allows for dynamic variation of task complexity by controlling the number of objects, relations, and the minimum depth of relational chains, providing a fine-grained assessment of model performance across difficulty levels. LogiPlan encompasses three complementary tasks: (1) Plan Generation, where models must construct valid directed relational graphs meeting specified structural constraints; (2) Consistency Detection, testing models' ability to identify inconsistencies in relational structures; and (3) Comparison Question, evaluating models' capacity to determine the validity of queried relationships within a given graph. Additionally, we assess models' self-correction capabilities by prompting them to verify and refine their initial solutions. We evaluate state-of-the-art models including DeepSeek R1, Gemini 2.0 Pro, Gemini 2 Flash Thinking, GPT-4.5, GPT-4o, Llama 3.1 405B, O3-mini, O1, and Claude 3.7 Sonnet across these tasks, revealing significant performance gaps that correlate with model scale and architecture. Our analysis demonstrates that while recent reasoning-enhanced models show promising results on simpler instances, they struggle with more complex configurations requiring deeper logical planning.
Abstract:Indirect Prompt Injection attacks exploit the inherent limitation of Large Language Models (LLMs) to distinguish between instructions and data in their inputs. Despite numerous defense proposals, the systematic evaluation against adaptive adversaries remains limited, even when successful attacks can have wide security and privacy implications, and many real-world LLM-based applications remain vulnerable. We present the results of LLMail-Inject, a public challenge simulating a realistic scenario in which participants adaptively attempted to inject malicious instructions into emails in order to trigger unauthorized tool calls in an LLM-based email assistant. The challenge spanned multiple defense strategies, LLM architectures, and retrieval configurations, resulting in a dataset of 208,095 unique attack submissions from 839 participants. We release the challenge code, the full dataset of submissions, and our analysis demonstrating how this data can provide new insights into the instruction-data separation problem. We hope this will serve as a foundation for future research towards practical structural solutions to prompt injection.
Abstract:As AI agents become increasingly autonomous and capable, ensuring their security against vulnerabilities such as prompt injection becomes critical. This paper explores the use of information-flow control (IFC) to provide security guarantees for AI agents. We present a formal model to reason about the security and expressiveness of agent planners. Using this model, we characterize the class of properties enforceable by dynamic taint-tracking and construct a taxonomy of tasks to evaluate security and utility trade-offs of planner designs. Informed by this exploration, we present Fides, a planner that tracks confidentiality and integrity labels, deterministically enforces security policies, and introduces novel primitives for selectively hiding information. Its evaluation in AgentDojo demonstrates that this approach broadens the range of tasks that can be securely accomplished. A tutorial to walk readers through the the concepts introduced in the paper can be found at https://github.com/microsoft/fides



Abstract:We introduce the Context Compliance Attack (CCA), a novel, optimization-free method for bypassing AI safety mechanisms. Unlike current approaches -- which rely on complex prompt engineering and computationally intensive optimization -- CCA exploits a fundamental architectural vulnerability inherent in many deployed AI systems. By subtly manipulating conversation history, CCA convinces the model to comply with a fabricated dialogue context, thereby triggering restricted behavior. Our evaluation across a diverse set of open-source and proprietary models demonstrates that this simple attack can circumvent state-of-the-art safety protocols. We discuss the implications of these findings and propose practical mitigation strategies to fortify AI systems against such elementary yet effective adversarial tactics.
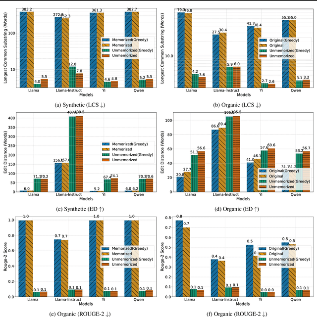
Abstract:Recent copyright agreements between AI companies and content creators have highlighted the need for precise control over language models' ability to reproduce copyrighted content. While existing approaches rely on either complete concept removal through unlearning or simple output filtering, we propose Obliviate, a novel post-training technique that selectively prevents verbatim reproduction of specific text while preserving semantic understanding. Obliviate operates by selecting tokens within memorized sequences and modifying the model's probability distribution to prevent exact reproduction while maintaining contextual understanding. We evaluate Obliviate on multiple large language models (LLaMA-3.1 8B, LLaMA-3.1-instruct 8B, Qwen-2.5-7B, and Yi-1.5 6B) across both synthetic memorization tasks and organic copyright content. Our results demonstrate that Obliviate achieves orders of magnitude reduction, e.g., 100x, in verbatim memorization while maintaining model performance within 1% of baseline on standard benchmarks (HellaSwag, MMLU, TruthfulQA, and Winogrande). This makes Obliviate particularly suitable for practical deployment scenarios where companies need to efficiently address copyright concerns in pretrained models without compromising their general capabilities.
Abstract:In recent years, AI red teaming has emerged as a practice for probing the safety and security of generative AI systems. Due to the nascency of the field, there are many open questions about how red teaming operations should be conducted. Based on our experience red teaming over 100 generative AI products at Microsoft, we present our internal threat model ontology and eight main lessons we have learned: 1. Understand what the system can do and where it is applied 2. You don't have to compute gradients to break an AI system 3. AI red teaming is not safety benchmarking 4. Automation can help cover more of the risk landscape 5. The human element of AI red teaming is crucial 6. Responsible AI harms are pervasive but difficult to measure 7. LLMs amplify existing security risks and introduce new ones 8. The work of securing AI systems will never be complete By sharing these insights alongside case studies from our operations, we offer practical recommendations aimed at aligning red teaming efforts with real world risks. We also highlight aspects of AI red teaming that we believe are often misunderstood and discuss open questions for the field to consider.




Abstract:Amid growing concerns over the ease of theft and misuse of Large Language Models (LLMs), the need for fingerprinting models has increased. Fingerprinting, in this context, means that the model owner can link a given model to their original version, thereby identifying if their model is being misused or has been completely stolen. In this paper, we first define a set five properties a successful fingerprint should satisfy; namely, the fingerprint should be Transparent, Efficient, Persistent, Robust, and Unforgeable. Next, we propose Chain & Hash, a new, simple fingerprinting approach that implements a fingerprint with a cryptographic flavor, achieving all these properties. Chain & Hash involves generating a set of questions (the fingerprints) along with a set of potential answers. These elements are hashed together using a secure hashing technique to select the value for each question, hence providing an unforgeability property-preventing adversaries from claiming false ownership. We evaluate the Chain & Hash technique on multiple models and demonstrate its robustness against benign transformations, such as fine-tuning on different datasets, and adversarial attempts to erase the fingerprint. Finally, our experiments demonstrate the efficiency of implementing Chain & Hash and its utility, where fingerprinted models achieve almost the same performance as non-fingerprinted ones across different benchmarks.
Abstract:Large Language Models (LLMs) have risen significantly in popularity and are increasingly being adopted across multiple applications. These LLMs are heavily aligned to resist engaging in illegal or unethical topics as a means to avoid contributing to responsible AI harms. However, a recent line of attacks, known as "jailbreaks", seek to overcome this alignment. Intuitively, jailbreak attacks aim to narrow the gap between what the model can do and what it is willing to do. In this paper, we introduce a novel jailbreak attack called Crescendo. Unlike existing jailbreak methods, Crescendo is a multi-turn jailbreak that interacts with the model in a seemingly benign manner. It begins with a general prompt or question about the task at hand and then gradually escalates the dialogue by referencing the model's replies, progressively leading to a successful jailbreak. We evaluate Crescendo on various public systems, including ChatGPT, Gemini Pro, Gemini-Ultra, LlaMA-2 70b Chat, and Anthropic Chat. Our results demonstrate the strong efficacy of Crescendo, with it achieving high attack success rates across all evaluated models and tasks. Furthermore, we introduce Crescendomation, a tool that automates the Crescendo attack, and our evaluation showcases its effectiveness against state-of-the-art models.




Abstract:Large language models (LLMs) are trained on massive internet corpora that often contain copyrighted content. This poses legal and ethical challenges for the developers and users of these models, as well as the original authors and publishers. In this paper, we propose a novel technique for unlearning a subset of the training data from a LLM, without having to retrain it from scratch. We evaluate our technique on the task of unlearning the Harry Potter books from the Llama2-7b model (a generative language model recently open-sourced by Meta). While the model took over 184K GPU-hours to pretrain, we show that in about 1 GPU hour of finetuning, we effectively erase the model's ability to generate or recall Harry Potter-related content, while its performance on common benchmarks (such as Winogrande, Hellaswag, arc, boolq and piqa) remains almost unaffected. We make our fine-tuned model publicly available on HuggingFace for community evaluation. To the best of our knowledge, this is the first paper to present an effective technique for unlearning in generative language models. Our technique consists of three main components: First, we use a reinforced model that is further trained on the target data to identify the tokens that are most related to the unlearning target, by comparing its logits with those of a baseline model. Second, we replace idiosyncratic expressions in the target data with generic counterparts, and leverage the model's own predictions to generate alternative labels for every token. These labels aim to approximate the next-token predictions of a model that has not been trained on the target data. Third, we finetune the model on these alternative labels, which effectively erases the original text from the model's memory whenever it is prompted with its context.




Abstract:Lowering costs by driving high utilization across deep learning workloads is a crucial lever for cloud providers. We present Singularity, Microsoft's globally distributed scheduling service for highly-efficient and reliable execution of deep learning training and inference workloads. At the heart of Singularity is a novel, workload-aware scheduler that can transparently preempt and elastically scale deep learning workloads to drive high utilization without impacting their correctness or performance, across a global fleet of AI accelerators (e.g., GPUs, FPGAs). All jobs in Singularity are preemptable, migratable, and dynamically resizable (elastic) by default: a live job can be dynamically and transparently (a) preempted and migrated to a different set of nodes, cluster, data center or a region and resumed exactly from the point where the execution was preempted, and (b) resized (i.e., elastically scaled-up/down) on a varying set of accelerators of a given type. Our mechanisms are transparent in that they do not require the user to make any changes to their code or require using any custom libraries that may limit flexibility. Additionally, our approach significantly improves the reliability of deep learning workloads. We show that the resulting efficiency and reliability gains with Singularity are achieved with negligible impact on the steady-state performance. Finally, our design approach is agnostic of DNN architectures and handles a variety of parallelism strategies (e.g., data/pipeline/model parallelism).