Abstract:Bias in Large Language Models (LLMs) poses significant risks to trustworthiness, manifesting primarily as stereotypical biases (e.g., gender or racial stereotypes) and structural biases (e.g., lexical overlap or position preferences). However, prior paradigms typically address these in isolation, often mitigating one at the expense of exacerbating the other. To address this, we conduct a systematic exploration of these reasoning failures and identify a primary inducement: the latent spurious feature correlations within the input that drive these erroneous reasoning shortcuts. Driven by these findings, we introduce Causal-Contrastive Preference Optimization (C2PO), a unified alignment framework designed to tackle these specific failures by simultaneously discovering and suppressing these correlations directly within the optimization process. Specifically, C2PO leverages causal counterfactual signals to isolate bias-inducing features from valid reasoning paths, and employs a fairness-sensitive preference update mechanism to dynamically evaluate logit-level contributions and suppress shortcut features. Extensive experiments across multiple benchmarks covering stereotypical bias (BBQ, Unqover), structural bias (MNLI, HANS, Chatbot, MT-Bench), out-of-domain fairness (StereoSet, WinoBias), and general utility (MMLU, GSM8K) demonstrate that C2PO effectively mitigates stereotypical and structural biases while preserving robust general reasoning capabilities.
Abstract:Nowadays, numerous online platforms can be described as multi-modal heterogeneous networks (MMHNs), such as Douban's movie networks and Amazon's product review networks. Accurately categorizing nodes within these networks is crucial for analyzing the corresponding entities, which requires effective representation learning on nodes. However, existing multi-modal fusion methods often adopt either early fusion strategies which may lose the unique characteristics of individual modalities, or late fusion approaches overlooking the cross-modal guidance in GNN-based information propagation. In this paper, we propose a novel model for node classification in MMHNs, named Heterogeneous Graph Neural Network with Inter-Modal Attention (HGNN-IMA). It learns node representations by capturing the mutual influence of multiple modalities during the information propagation process, within the framework of heterogeneous graph transformer. Specifically, a nested inter-modal attention mechanism is integrated into the inter-node attention to achieve adaptive multi-modal fusion, and modality alignment is also taken into account to encourage the propagation among nodes with consistent similarities across all modalities. Moreover, an attention loss is augmented to mitigate the impact of missing modalities. Extensive experiments validate the superiority of the model in the node classification task, providing an innovative view to handle multi-modal data, especially when accompanied with network structures.




Abstract:Unnatural text correction aims to automatically detect and correct spelling errors or adversarial perturbation errors in sentences. Existing methods typically rely on fine-tuning or adversarial training to correct errors, which have achieved significant success. However, these methods exhibit poor generalization performance due to the difference in data distribution between training data and real-world scenarios, known as the exposure bias problem. In this paper, we propose a self-correct adversarial training framework for \textbf{L}earn\textbf{I}ng from \textbf{MI}s\textbf{T}akes (\textbf{LIMIT}), which is a task- and model-independent framework to correct unnatural errors or mistakes. Specifically, we fully utilize errors generated by the model that are actively exposed during the inference phase, i.e., predictions that are inconsistent with the target. This training method not only simulates potential errors in real application scenarios, but also mitigates the exposure bias of the traditional training process. Meanwhile, we design a novel decoding intervention strategy to maintain semantic consistency. Extensive experimental results on Chinese unnatural text error correction datasets show that our proposed method can correct multiple forms of errors and outperforms the state-of-the-art text correction methods. In addition, extensive results on Chinese and English datasets validate that LIMIT can serve as a plug-and-play defense module and can extend to new models and datasets without further training.




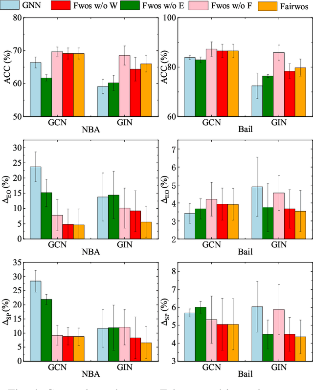
Abstract:Graph-structured data is ubiquitous in today's connected world, driving extensive research in graph analysis. Graph Neural Networks (GNNs) have shown great success in this field, leading to growing interest in developing fair GNNs for critical applications. However, most existing fair GNNs focus on statistical fairness notions, which may be insufficient when dealing with statistical anomalies. Hence, motivated by causal theory, there has been growing attention to mitigating root causes of unfairness utilizing graph counterfactuals. Unfortunately, existing methods for generating graph counterfactuals invariably require the sensitive attribute. Nevertheless, in many real-world applications, it is usually infeasible to obtain sensitive attributes due to privacy or legal issues, which challenge existing methods. In this paper, we propose a framework named Fairwos (improving Fairness without sensitive attributes). In particular, we first propose a mechanism to generate pseudo-sensitive attributes to remedy the problem of missing sensitive attributes, and then design a strategy for finding graph counterfactuals from the real dataset. To train fair GNNs, we propose a method to ensure that the embeddings from the original data are consistent with those from the graph counterfactuals, and dynamically adjust the weight of each pseudo-sensitive attribute to balance its contribution to fairness and utility. Furthermore, we theoretically demonstrate that minimizing the relation between these pseudo-sensitive attributes and the prediction can enable the fairness of GNNs. Experimental results on six real-world datasets show that our approach outperforms state-of-the-art methods in balancing utility and fairness.




Abstract:Multimodal Sentiment Analysis (MSA) utilizes multimodal data to infer the users' sentiment. Previous methods focus on equally treating the contribution of each modality or statically using text as the dominant modality to conduct interaction, which neglects the situation where each modality may become dominant. In this paper, we propose a Knowledge-Guided Dynamic Modality Attention Fusion Framework (KuDA) for multimodal sentiment analysis. KuDA uses sentiment knowledge to guide the model dynamically selecting the dominant modality and adjusting the contributions of each modality. In addition, with the obtained multimodal representation, the model can further highlight the contribution of dominant modality through the correlation evaluation loss. Extensive experiments on four MSA benchmark datasets indicate that KuDA achieves state-of-the-art performance and is able to adapt to different scenarios of dominant modality.




Abstract:Current Pose-Guided Person Image Synthesis (PGPIS) methods depend heavily on large amounts of labeled triplet data to train the generator in a supervised manner. However, they often falter when applied to in-the-wild samples, primarily due to the distribution gap between the training datasets and real-world test samples. While some researchers aim to enhance model generalizability through sophisticated training procedures, advanced architectures, or by creating more diverse datasets, we adopt the test-time fine-tuning paradigm to customize a pre-trained Text2Image (T2I) model. However, naively applying test-time tuning results in inconsistencies in facial identities and appearance attributes. To address this, we introduce a Visual Consistency Module (VCM), which enhances appearance consistency by combining the face, text, and image embedding. Our approach, named OnePoseTrans, requires only a single source image to generate high-quality pose transfer results, offering greater stability than state-of-the-art data-driven methods. For each test case, OnePoseTrans customizes a model in around 48 seconds with an NVIDIA V100 GPU.




Abstract:This paper introduces ConStyle v2, a strong plug-and-play prompter designed to output clean visual prompts and assist U-Net Image Restoration models in handling multiple degradations. The joint training process of IRConStyle, an Image Restoration framework consisting of ConStyle and a general restoration network, is divided into two stages: first, pre-training ConStyle alone, and then freezing its weights to guide the training of the general restoration network. Three improvements are proposed in the pre-training stage to train ConStyle: unsupervised pre-training, adding a pretext task (i.e. classification), and adopting knowledge distillation. Without bells and whistles, we can get ConStyle v2, a strong prompter for all-in-one Image Restoration, in less than two GPU days and doesn't require any fine-tuning. Extensive experiments on Restormer (transformer-based), NAFNet (CNN-based), MAXIM-1S (MLP-based), and a vanilla CNN network demonstrate that ConStyle v2 can enhance any U-Net style Image Restoration models to all-in-one Image Restoration models. Furthermore, models guided by the well-trained ConStyle v2 exhibit superior performance in some specific degradation compared to ConStyle.




Abstract:Recently, the contrastive learning paradigm has achieved remarkable success in high-level tasks such as classification, detection, and segmentation. However, contrastive learning applied in low-level tasks, like image restoration, is limited, and its effectiveness is uncertain. This raises a question: Why does the contrastive learning paradigm not yield satisfactory results in image restoration? In this paper, we conduct in-depth analyses and propose three guidelines to address the above question. In addition, inspired by style transfer and based on contrastive learning, we propose a novel module for image restoration called \textbf{ConStyle}, which can be efficiently integrated into any U-Net structure network. By leveraging the flexibility of ConStyle, we develop a \textbf{general restoration network} for image restoration. ConStyle and the general restoration network together form an image restoration framework, namely \textbf{IRConStyle}. To demonstrate the capability and compatibility of ConStyle, we replace the general restoration network with transformer-based, CNN-based, and MLP-based networks, respectively. We perform extensive experiments on various image restoration tasks, including denoising, deblurring, deraining, and dehazing. The results on 19 benchmarks demonstrate that ConStyle can be integrated with any U-Net-based network and significantly enhance performance. For instance, ConStyle NAFNet significantly outperforms the original NAFNet on SOTS outdoor (dehazing) and Rain100H (deraining) datasets, with PSNR improvements of 4.16 dB and 3.58 dB with 85% fewer parameters.




Abstract:Recently, there have been significant advancements in Image Restoration based on CNN and transformer. However, the inherent characteristics of the Image Restoration task are often overlooked in many works. These works often focus on the basic block design and stack numerous basic blocks to the model, leading to redundant parameters and unnecessary computations and hindering the efficiency of the image restoration. In this paper, we propose a Lightweight Image Restoration network called LIR to efficiently remove degradation (blur, rain, noise, haze, etc.). A key component in LIR is the Efficient Adaptive Attention (EAA) Block, which is mainly composed of Adaptive Filters and Attention Blocks. It is capable of adaptively sharpening contours, removing degradation, and capturing global information in various image restoration scenes in an efficient and computation-friendly manner. In addition, through a simple structural design, LIR addresses the degradations existing in the local and global residual connections that are ignored by modern networks. Extensive experiments demonstrate that our LIR achieves comparable performance to state-of-the-art networks on most benchmarks with fewer parameters and computations. It is worth noting that our LIR produces better visual results than state-of-the-art networks that are more in line with the human aesthetic.




Abstract:Multi-domain fake news detection aims to identify whether various news from different domains is real or fake and has become urgent and important. However, existing methods are dedicated to improving the overall performance of fake news detection, ignoring the fact that unbalanced data leads to disparate treatment for different domains, i.e., the domain bias problem. To solve this problem, we propose the Dual-Teacher De-biasing Distillation framework (DTDBD) to mitigate bias across different domains. Following the knowledge distillation methods, DTDBD adopts a teacher-student structure, where pre-trained large teachers instruct a student model. In particular, the DTDBD consists of an unbiased teacher and a clean teacher that jointly guide the student model in mitigating domain bias and maintaining performance. For the unbiased teacher, we introduce an adversarial de-biasing distillation loss to instruct the student model in learning unbiased domain knowledge. For the clean teacher, we design domain knowledge distillation loss, which effectively incentivizes the student model to focus on representing domain features while maintaining performance. Moreover, we present a momentum-based dynamic adjustment algorithm to trade off the effects of two teachers. Extensive experiments on Chinese and English datasets show that the proposed method substantially outperforms the state-of-the-art baseline methods in terms of bias metrics while guaranteeing competitive performance.