



Abstract:While privacy concerns entice connected and automated vehicles to incorporate on-board federated learning (FL) solutions, an integrated vehicle-to-everything communication with heterogeneous computation power aware learning platform is urgently necessary to make it a reality. Motivated by this, we propose a novel mobility, communication and computation aware online FL platform that uses on-road vehicles as learning agents. Thanks to the advanced features of modern vehicles, the on-board sensors can collect data as vehicles travel along their trajectories, while the on-board processors can train machine learning models using the collected data. To take the high mobility of vehicles into account, we consider the delay as a learning parameter and restrict it to be less than a tolerable threshold. To satisfy this threshold, the central server accepts partially trained models, the distributed roadside units (a) perform downlink multicast beamforming to minimize global model distribution delay and (b) allocate optimal uplink radio resources to minimize local model offloading delay, and the vehicle agents conduct heterogeneous local model training. Using real-world vehicle trace datasets, we validate our FL solutions. Simulation shows that the proposed integrated FL platform is robust and outperforms baseline models. With reasonable local training episodes, it can effectively satisfy all constraints and deliver near ground truth multi-horizon velocity and vehicle-specific power predictions.




Abstract:In this paper, we analyze the outage performance of unmanned aerial vehicles (UAVs)-enabled downlink non-orthogonal multiple access (NOMA) communication systems with the semi-grant-free (SGF) transmission scheme. A UAV provides coverage services for a grant-based (GB) user and one user is allowed to utilize the same channel resource opportunistically. The hybrid successive interference cancellation scheme is implemented in the downlink NOMA scenarios for the first time. The analytical expressions for the exact and asymptotic outage probability (OP) of the grant-free (GF) user are derived. The results demonstrate that no-zero diversity order can be achieved only under stringent conditions on users' quality of service requirements. Subsequently, we propose an efficient dynamic power allocation (DPA) scheme to relax such data rate constraints to address this issue. The analytical expressions for the exact and asymptotic OP of the GF user with the DPA scheme are derived. Finally, Monte Carlo simulation results are presented to validate the correctness of the derived analytical expressions and demonstrate the effects of the UAV's location and altitude on the OP of the GF user.



Abstract:In this paper, we investigate rate splitting multiple access (RSMA) aided mobile edge computing (MEC) in a cognitive radio network. We propose a RSMA scheme that enables the secondary user to offload tasks to the MEC server utilizing dynamic rate splitting without deteriorating the primary user's offloading. The expressions for the optimal rate splitting parameters that maximize the achievable rate for the secondary user and successful computation probability of the proposed RSMA scheme are derived in closed-form. We formulate a problem to maximize successful computation probability by jointly optimizing task offloading ratio and task offloading time and obtain the optimal solutions in closed-form. Simulation results clarify that the proposed RSMA scheme achieves a higher successful computation probability than the existing non-orthogonal multiple access scheme.




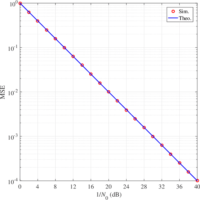
Abstract:In this paper, a cyclic-prefixed single-carrier (CPSC) transmission scheme with phase shift keying (PSK) signaling is presented for broadband wireless communications systems empowered by a reconfigurable intelligent surface (RIS). In the proposed CPSC-RIS, the RIS is configured according to the transmitted PSK symbols such that different cyclically delayed versions of the incident signal are created by the RIS to achieve cyclic delay diversity. A practical and efficient channel estimator is developed for CPSC-RIS and the mean square error of the channel estimation is expressed in closed-form. We analyze the bit error rate (BER) performance of CPSC-RIS over frequency-selective Nakagami-$m$ fading channels. An upper bound on the BER is derived by assuming the maximum-likelihood detection. Furthermore, by resorting to the concept of index modulation (IM), we propose an extension of CPSC-RIS, termed CPSC-RIS-IM, which enhances the spectral efficiency. In addition to conventional constellation information of PSK symbols, CPSC-RIS-IM uses the full permutations of cyclic delays caused by the RIS to carry information. A sub-optimal receiver is designed for CPSC-RIS-IM to aim at low computational complexity. Our simulation results in terms of BER corroborate the performance analysis and the superiority of CPSC-RIS(-IM) over the conventional CPSC without an RIS and orthogonal frequency division multiplexing with an RIS.