


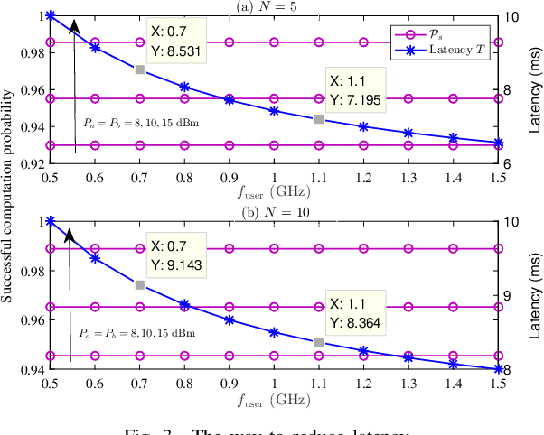
In this paper, we investigate rate splitting multiple access (RSMA) aided mobile edge computing (MEC) in a cognitive radio network. We propose a RSMA scheme that enables the secondary user to offload tasks to the MEC server utilizing dynamic rate splitting without deteriorating the primary user's offloading. The expressions for the optimal rate splitting parameters that maximize the achievable rate for the secondary user and successful computation probability of the proposed RSMA scheme are derived in closed-form. We formulate a problem to maximize successful computation probability by jointly optimizing task offloading ratio and task offloading time and obtain the optimal solutions in closed-form. Simulation results clarify that the proposed RSMA scheme achieves a higher successful computation probability than the existing non-orthogonal multiple access scheme.