Abstract:Spatially inhomogeneous magnetic fields offer a valuable, non-visual information source for positioning. Among systems leveraging this, magnetic field-based simultaneous localization and mapping (SLAM) systems are particularly attractive because they can provide positioning information and build a magnetic field map on the fly. Moreover, they have bounded error within mapped regions. However, state-of-the-art methods typically require low-drift odometry data provided by visual odometry or a wheel encoder, etc. This is because these systems need to minimize/reduce positioning errors while exploring, which happens when they are in unmapped regions. To address these limitations, this work proposes a loosely coupled and a tightly coupled inertial magnetic SLAM (IM-SLAM) system. The proposed systems use commonly available low-cost sensors: an inertial measurement unit (IMU), a magnetometer array, and a barometer. The use of non-visual data provides a significant advantage over visual-based systems, making it robust to low-visibility conditions. Both systems employ state-space representations, and magnetic field models on different scales. The difference lies in how they use a local and global magnetic field model. The loosely coupled system uses these models separately in two state-space models, while the tightly coupled system integrates them into one state-space model. Experiment results show that the tightly coupled IM-SLAM system achieves lower positioning errors than the loosely coupled system in most scenarios, with typical errors on the order of meters per 100 meters traveled. These results demonstrate the feasiblity of developing a full 3D IM-SLAM systems using low-cost sensors and the potential of applying these systems in emergency response scenarios such as mine/fire rescue.
Abstract:This paper introduces a sensing management method for integrated sensing and communications (ISAC) in cell-free massive multiple-input multiple-output (MIMO) systems. Conventional communication systems employ channel estimation procedures that impose significant overhead during data transmission, consuming resources that could otherwise be utilized for data. To address this challenge, we propose a state-based approach that leverages sensing capabilities to track the user when there is no communication request. Upon receiving a communication request, predictive beamforming is employed based on the tracked user position, thereby reducing the need for channel estimation. Our framework incorporates an extended Kalman filter (EKF) based tracking algorithm with adaptive sensing management to perform sensing operations only when necessary to maintain high tracking accuracy. The simulation results demonstrate that our proposed sensing management approach provides uniform downlink communication rates that are higher than with existing methods by achieving overhead-free predictive beamforming.
Abstract:Fusion of passive and active measurements from sensor nodes becomes critical in localizing underwater objects and is traditionally achieved by communicating information to a central node. This causes significant inefficiencies in bandwidth, energy, and processing time, which are critical in marine applications. With integrated sensing and communication (ISAC) systems, the process of sensing, localization, and communication can be achieved jointly, and the inefficiencies can be minimized. Thus, the primary objective of this study is to analyse the efficacy of such communication signals in localizing a moving target in given underwater conditions. The Cram\'er-Rao Lower Bound (CRLB) is a performance metric used to determine the theoretical lower bound on localization errors. Simulation results illustrate the contours of localization error across various scenarios, offering valuable insights into system performance under different target dynamics and sea state conditions, showcasing their potential for efficient and reliable underwater localization applications.
Abstract:This paper presents a new approach for jointly calibrating magnetometers and inertial measurement units, focusing on improving calibration accuracy and computational efficiency. The proposed method formulates the calibration problem as a maximum a posteriori estimation problem, treating both the calibration parameters and orientation trajectory of the sensors as unknowns. This formulation enables efficient optimization with closed-form derivatives. The method is compared against two state-of-the-art approaches in terms of computational complexity and estimation accuracy. Simulation results demonstrate that the proposed method achieves lower root mean square error in calibration parameters while maintaining competitive computational efficiency. Further validation through real-world experiments confirms the practical benefits of our approach: it effectively reduces position drift in a magnetic field-aided inertial navigation system by more than a factor of two on most datasets. Moreover, the proposed method calibrated 30 magnetometers in less than 2 minutes. The contributions include a new calibration method, an analysis of existing methods, and a comprehensive empirical evaluation. Datasets and algorithms are made publicly available to promote reproducible research.




Abstract:Magnetic-field simultaneous localization and mapping (SLAM) using consumer-grade inertial and magnetometer sensors offers a scalable, cost-effective solution for indoor localization. However, the rapid error accumulation in the inertial navigation process limits the feasible exploratory phases of these systems. Advances in magnetometer array processing have demonstrated that odometry information, i.e., displacement and rotation information, can be extracted from local magnetic field variations and used to create magnetic-field odometry-aided inertial navigation systems. The error growth rate of these systems is significantly lower than that of standalone inertial navigation systems. This study seeks an answer to whether a magnetic-field SLAM system fed with measurements from a magnetometer array can indirectly extract odometry information -- without requiring algorithmic modifications -- and thus sustain longer exploratory phases. The theoretical analysis and simulation results show that such a system can extract odometry information and indirectly create a magnetic field odometry-aided inertial navigation system during the exploration phases. However, practical challenges related to map resolution and computational complexity remain significant.




Abstract:This article concerns the challenge of reliable broadband passive sonar target detection and tracking in complex acoustic environments. Addressing this challenge is becoming increasingly crucial for safeguarding underwater infrastructure, monitoring marine life, and providing defense during seabed warfare. To that end, a solution is proposed based on a vector-autoregressive model for the ambient noise and a heavy-tailed statistical model for the distribution of the raw hydrophone data. These models are integrated into a Bernoulli track-before-detect (TkBD) filter that estimates the probability of target existence, target bearing, and signal-to-noise ratio (SNR). The proposed solution is evaluated on both simulated and real-world data, demonstrating the effectiveness of the proposed ambient noise modeling and the statistical model for the raw hydrophone data samples to obtain early target detection and robust target tracking. The simulations show that the SNR at which the target can be detected is reduced by 4 dB compared to when using the standard constant false alarm rate detector-based tracker. Further, the test with real-world data shows that the proposed solution increases the target detection distance from 250 m to 390 m. The presented results illustrate that the TkBD technology, in combination with data-driven ambient noise modeling and heavy-tailed statistical signal models, can enable reliable broadband passive sonar target detection and tracking in complex acoustic environments and lower the SNR required to detect and track targets.
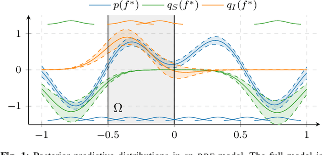
Abstract:Basis Function (BF) expansions are a cornerstone of any engineer's toolbox for computational function approximation which shares connections with both neural networks and Gaussian processes. Even though BF expansions are an intuitive and straightforward model to use, they suffer from quadratic computational complexity in the number of BFs if the predictive variance is to be computed. We develop a method to automatically select the most important BFs for prediction in a sub-domain of the model domain. This significantly reduces the computational complexity of computing predictions while maintaining predictive accuracy. The proposed method is demonstrated using two numerical examples, where reductions up to 50-75% are possible without significantly reducing the predictive accuracy.




Abstract:A method to construct an observability-constrained magnetic-field-aided inertial navigation system is proposed. The proposed method builds upon the previously proposed observability-constrained extended Kalman filter and extends it to work with a magnetic-field-based odometry-aided inertial navigation system. The proposed method is evaluated using simulation and real-world data, showing that (i) the system observability properties are preserved, (ii) the estimation accuracy increases, and (iii) the perceived uncertainty calculated by the EKF is more consistent with the true uncertainty of the filter estimates.




Abstract:A Magnetic field Aided Inertial Navigation System (MAINS) for indoor navigation is proposed in this paper. MAINS leverages an array of magnetometers to measure spatial variations in the magnetic field, which are then used to estimate the displacement and orientation changes of the system, thereby aiding the inertial navigation system (INS). Experiments show that MAINS significantly outperforms the stand-alone INS, demonstrating a remarkable two orders of magnitude reduction in position error. Furthermore, when compared to the state-of-the-art magnetic-field-aided navigation approach, the proposed method exhibits slightly improved horizontal position accuracy. On the other hand, it has noticeably larger vertical error on datasets with large magnetic field variations. However, one of the main advantages of MAINS compared to the state-of-the-art is that it enables flexible sensor configurations. The experimental results show that the position error after 2 minutes of navigation in most cases is less than 3 meters when using an array of 30 magnetometers. Thus, the proposed navigation solution has the potential to solve one of the key challenges faced with current magnetic-field simultaneous localization and mapping (SLAM) solutions: the very limited allowable length of the exploration phase during which unvisited areas are mapped.




Abstract:This paper considers the problem of detecting and tracking objects in a sequence of images. The problem is formulated in a filtering framework, using the output of object-detection algorithms as measurements. An extension to the filtering formulation is proposed that incorporates class information from the previous frame to robustify the classification, even if the object-detection algorithm outputs an incorrect prediction. Further, the properties of the object-detection algorithm are exploited to quantify the uncertainty of the bounding box detection in each frame. The complete filtering method is evaluated on camera trap images of the four large Swedish carnivores, bear, lynx, wolf, and wolverine. The experiments show that the class tracking formulation leads to a more robust classification.