Abstract:In this paper, we present NEMO, a system that translates Natural-language descriptions of decision problems into formal Executable Mathematical Optimization implementations, operating collaboratively with users or autonomously. Existing approaches typically rely on specialized large language models (LLMs) or bespoke, task-specific agents. Such methods are often brittle, complex and frequently generating syntactically invalid or non-executable code. NEMO instead centers on remote interaction with autonomous coding agents (ACAs), treated as a first-class abstraction analogous to API-based interaction with LLMs. This design enables the construction of higher-level systems around ACAs that structure, consolidate, and iteratively refine task specifications. Because ACAs execute within sandboxed environments, code produced by NEMO is executable by construction, allowing automated validation and repair. Building on this, we introduce novel coordination patterns with and across ACAs, including asymmetric validation loops between independently generated optimizer and simulator implementations (serving as a high-level validation mechanism), external memory for experience reuse, and robustness enhancements via minimum Bayes risk (MBR) decoding and self-consistency. We evaluate NEMO on nine established optimization benchmarks. As depicted in Figure 1, it achieves state-of-the-art performance on the majority of tasks, with substantial margins on several datasets, demonstrating the power of execution-aware agentic architectures for automated optimization modeling.




Abstract:Traditional time series models are task-specific and often depend on dataset-specific training and extensive feature engineering. While Transformer-based architectures have improved scalability, foundation models, commonplace in text, vision, and audio, remain under-explored for time series and are largely restricted to forecasting. We introduce $\textbf{CHARM}$, a foundation embedding model for multivariate time series that learns shared, transferable, and domain-aware representations. To address the unique difficulties of time series foundation learning, $\textbf{CHARM}$ incorporates architectural innovations that integrate channel-level textual descriptions while remaining invariant to channel order. The model is trained using a Joint Embedding Predictive Architecture (JEPA), with novel augmentation schemes and a loss function designed to improve interpretability and training stability. Our $7$M-parameter model achieves state-of-the-art performance across diverse downstream tasks, setting a new benchmark for time series representation learning.




Abstract:High-dimensional prediction is a challenging problem setting for traditional statistical models. Although regularization improves model performance in high dimensions, it does not sufficiently leverage knowledge on feature importances held by domain experts. As an alternative to standard regularization techniques, we propose Distance Metric Learning Regularization (DMLreg), an approach for eliciting prior knowledge from domain experts and integrating that knowledge into a regularized linear model. First, we learn a Mahalanobis distance metric between observations from pairwise similarity comparisons provided by an expert. Then, we use the learned distance metric to place prior distributions on coefficients in a linear model. Through experimental results on a simulated high-dimensional prediction problem, we show that DMLreg leads to improvements in model performance when the domain expert is knowledgeable.




Abstract:The paper deals with the problem of finding sparse solutions to systems of polynomial equations possibly perturbed by noise. In particular, we show how these solutions can be recovered from group-sparse solutions of a derived system of linear equations. Then, two approaches are considered to find these group-sparse solutions. The first one is based on a convex relaxation resulting in a second-order cone programming formulation which can benefit from efficient reweighting techniques for sparsity enhancement. For this approach, sufficient conditions for the exact recovery of the sparsest solution to the polynomial system are derived in the noiseless setting, while stable recovery results are obtained for the noisy case. Though lacking a similar analysis, the second approach provides a more computationally efficient algorithm based on a greedy strategy adding the groups one-by-one. With respect to previous work, the proposed methods recover the sparsest solution in a very short computing time while remaining at least as accurate in terms of the probability of success. This probability is empirically analyzed to emphasize the relationship between the ability of the methods to solve the polynomial system and the sparsity of the solution.



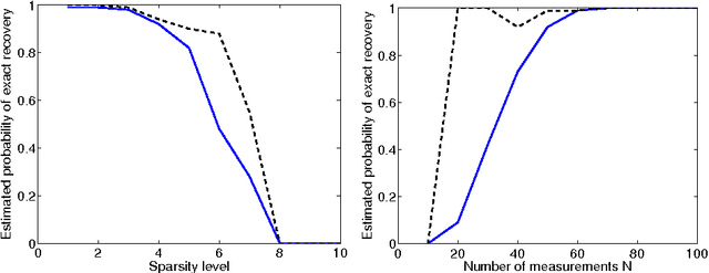
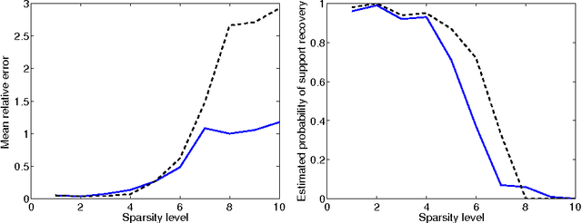
Abstract:This paper deals with sparse phase retrieval, i.e., the problem of estimating a vector from quadratic measurements under the assumption that few components are nonzero. In particular, we consider the problem of finding the sparsest vector consistent with the measurements and reformulate it as a group-sparse optimization problem with linear constraints. Then, we analyze the convex relaxation of the latter based on the minimization of a block l1-norm and show various exact recovery and stability results in the real and complex cases. Invariance to circular shifts and reflections are also discussed for real vectors measured via complex matrices.



Abstract:Subspace identification is a classical and very well studied problem in system identification. The problem was recently posed as a convex optimization problem via the nuclear norm relaxation. Inspired by robust PCA, we extend this framework to handle outliers. The proposed framework takes the form of a convex optimization problem with an objective that trades off fit, rank and sparsity. As in robust PCA, it can be problematic to find a suitable regularization parameter. We show how the space in which a suitable parameter should be sought can be limited to a bounded open set of the two dimensional parameter space. In practice, this is very useful since it restricts the parameter space that is needed to be surveyed.


Abstract:Anomaly detection in large populations is a challenging but highly relevant problem. The problem is essentially a multi-hypothesis problem, with a hypothesis for every division of the systems into normal and anomal systems. The number of hypothesis grows rapidly with the number of systems and approximate solutions become a necessity for any problems of practical interests. In the current paper we take an optimization approach to this multi-hypothesis problem. We first observe that the problem is equivalent to a non-convex combinatorial optimization problem. We then relax the problem to a convex problem that can be solved distributively on the systems and that stays computationally tractable as the number of systems increase. An interesting property of the proposed method is that it can under certain conditions be shown to give exactly the same result as the combinatorial multi-hypothesis problem and the relaxation is hence tight.




Abstract:The classical shift retrieval problem considers two signals in vector form that are related by a shift. The problem is of great importance in many applications and is typically solved by maximizing the cross-correlation between the two signals. Inspired by compressive sensing, in this paper, we seek to estimate the shift directly from compressed signals. We show that under certain conditions, the shift can be recovered using fewer samples and less computation compared to the classical setup. Of particular interest is shift estimation from Fourier coefficients. We show that under rather mild conditions only one Fourier coefficient suffices to recover the true shift.




Abstract:In many compressive sensing problems today, the relationship between the measurements and the unknowns could be nonlinear. Traditional treatment of such nonlinear relationships have been to approximate the nonlinearity via a linear model and the subsequent un-modeled dynamics as noise. The ability to more accurately characterize nonlinear models has the potential to improve the results in both existing compressive sensing applications and those where a linear approximation does not suffice, e.g., phase retrieval. In this paper, we extend the classical compressive sensing framework to a second-order Taylor expansion of the nonlinearity. Using a lifting technique and a method we call quadratic basis pursuit, we show that the sparse signal can be recovered exactly when the sampling rate is sufficiently high. We further present efficient numerical algorithms to recover sparse signals in second-order nonlinear systems, which are considerably more difficult to solve than their linear counterparts in sparse optimization.




Abstract:We present a general probabilistic perspective on Gaussian filtering and smoothing. This allows us to show that common approaches to Gaussian filtering/smoothing can be distinguished solely by their methods of computing/approximating the means and covariances of joint probabilities. This implies that novel filters and smoothers can be derived straightforwardly by providing methods for computing these moments. Based on this insight, we derive the cubature Kalman smoother and propose a novel robust filtering and smoothing algorithm based on Gibbs sampling.