Abstract:Given the prospects of the low-altitude economy (LAE) and the popularity of unmanned aerial vehicles (UAVs), there are increasing demands on monitoring flying objects at low altitude in wide urban areas. In this work, the widely deployed long-term evolution (LTE) base station (BS) is exploited to illuminate UAVs in bistatic trajectory tracking. Specifically, a passive sensing receiver with two digital antenna arrays is proposed and developed to capture both the line-of-sight (LoS) signal and the scattered signal off a target UAV. From their cross ambiguity function, the bistatic range, Doppler shift and angle-of-arrival (AoA) of the target UAV can be detected in a sequence of time slots. In order to address missed detections and false alarms of passive sensing, a multi-target tracking framework is adopted to track the trajectory of the target UAV. It is demonstrated by experiments that the proposed UAV tracking system can achieve a meter-level accuracy.




Abstract:In the future 6G integrated sensing and communication (ISAC) cellular systems, networked sensing is a promising technique that can leverage the cooperation among the base stations (BSs) to perform high-resolution localization. However, a dense deployment of BSs to fully reap the networked sensing gain is not a cost-efficient solution in practice. Motivated by the advance in the intelligent reflecting surface (IRS) technology for 6G communication, this paper examines the feasibility of deploying the low-cost IRSs to enhance the anchor density for networked sensing. Specifically, we propose a novel heterogeneous networked sensing architecture, which consists of both the active anchors, i.e., the BSs, and the passive anchors, i.e., the IRSs. Under this framework, the BSs emit the orthogonal frequency division multiplexing (OFDM) communication signals in the downlink for localizing the targets based on their echoes reflected via/not via the IRSs. However, there are two challenges for using passive anchors in localization. First, it is impossible to utilize the round-trip signal between a passive IRS and a passive target for estimating their distance. Second, before localizing a target, we do not know which IRS is closest to it and serves as its anchor. In this paper, we show that the distance between a target and its associated IRS can be indirectly estimated based on the length of the BS-target-BS path and the BS-target-IRS-BS path. Moreover, we propose an efficient data association method to match each target to its associated IRS. Numerical results are given to validate the feasibility and effectiveness of our proposed heterogeneous networked sensing architecture with both active and passive anchors.




Abstract:Ride-hailing is a sustainable transportation paradigm where riders access door-to-door traveling services through a mobile phone application, which has attracted a colossal amount of usage. There are two major planning tasks in a ride-hailing system: (1) matching, i.e., assigning available vehicles to pick up the riders, and (2) repositioning, i.e., proactively relocating vehicles to certain locations to balance the supply and demand of ride-hailing services. Recently, many studies of ride-hailing planning that leverage machine learning techniques have emerged. In this article, we present a comprehensive overview on latest developments of machine learning-based ride-hailing planning. To offer a clear and structured review, we introduce a taxonomy into which we carefully fit the different categories of related works according to the types of their planning tasks and solution schemes, which include collective matching, distributed matching, collective repositioning, distributed repositioning, and joint matching and repositioning. We further shed light on many real-world datasets and simulators that are indispensable for empirical studies on machine learning-based ride-hailing planning strategies. At last, we propose several promising research directions for this rapidly growing research and practical field.




Abstract:Target-specific stance detection on social media, which aims at classifying a textual data instance such as a post or a comment into a stance class of a target issue, has become an emerging opinion mining paradigm of importance. An example application would be to overcome vaccine hesitancy in combating the coronavirus pandemic. However, existing stance detection strategies rely merely on the individual instances which cannot always capture the expressed stance of a given target. In response, we address a new task called conversational stance detection which is to infer the stance towards a given target (e.g., COVID-19 vaccination) when given a data instance and its corresponding conversation thread. To tackle the task, we first propose a benchmarking conversational stance detection (CSD) dataset with annotations of stances and the structures of conversation threads among the instances based on six major social media platforms in Hong Kong. To infer the desired stances from both data instances and conversation threads, we propose a model called Branch-BERT that incorporates contextual information in conversation threads. Extensive experiments on our CSD dataset show that our proposed model outperforms all the baseline models that do not make use of contextual information. Specifically, it improves the F1 score by 10.3% compared with the state-of-the-art method in the SemEval-2016 Task 6 competition. This shows the potential of incorporating rich contextual information on detecting target-specific stances on social media platforms and implies a more practical way to construct future stance detection tasks.


Abstract:The classic trilateration technique can localize each target based on its distances to three anchors with known coordinates. Usually, this technique requires all the anchors and targets, e.g., the satellites and the mobile phones in Global Navigation Satellite System (GNSS), to actively transmit/receive radio signals such that the delay of the one-way radio signal propagated between each anchor and each target can be measured. Excitingly, this paper will show that the trilateration technique can be generalized to the scenario where one of the three anchors and all the targets merely reflect the radio signals passively as in radar networks, even if the propagation delay between the passive IRS and the passive targets is difficult to be measured directly, and the data association issue for multi-sensor multi-target tracking arises. Specifically, we consider device-free sensing in a cellular network consisting of two base stations (BSs), one passive intelligent reflecting surface (IRS), and multiple passive targets, to realize integrated sensing and communication (ISAC). The two BSs transmit the orthogonal frequency division multiplexing (OFDM) signals in the downlink and estimate the locations of the targets based on their reflected signals via/not via the IRS. We propose an efficient trilateration-based strategy that can first estimate the distances of each target to the two BSs and the IRS and then localize the targets. Numerical results show that the considered networked sensing architecture with heterogenous anchors can outperform its counterpart with three BSs.




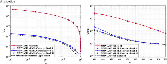
Abstract:This paper considers the joint device activity detection and channel estimation problem in a massive Internet of Things (IoT) connectivity system, where a large number of IoT devices exist but merely a random subset of them become active for short-packet transmission in each coherence block. In particular, we propose to leverage the temporal correlation in device activity, e.g., a device active in the previous coherence block is more likely to be still active in the current coherence block, to improve the detection and estimation performance. However, it is challenging to utilize this temporal correlation as side information (SI), which relies on the knowledge about the exact statistical relation between the estimated activity pattern for the previous coherence block (which may be imperfect with unknown error) and the true activity pattern in the current coherence block. To tackle this challenge, we establish a novel SI-aided multiple measurement vector approximate message passing (MMV-AMP) framework. Specifically, thanks to the state evolution of the MMV-AMP algorithm, the correlation between the activity pattern estimated by the MMV-AMP algorithm in the previous coherence block and the real activity pattern in the current coherence block is quantified explicitly. Based on the well-defined temporal correlation, we further manage to embed this useful SI into the denoiser design under the MMV-AMP framework. Specifically, the SI-based soft-thresholding denoisers with binary thresholds and the SI-based minimum mean-squared error (MMSE) denoisers are characterized for the cases without and with the knowledge of the channel distribution, respectively. Numerical results are given to show the significant gain in device activity detection and channel estimation performance brought by our proposed SI-aided MMV-AMP framework.




Abstract:Recent studies have revealed that neural combinatorial optimization (NCO) has advantages over conventional algorithms in many combinatorial optimization problems such as routing, but it is less efficient for more complicated optimization tasks such as packing which involves mutually conditioned action spaces. In this paper, we propose a Recurrent Conditional Query Learning (RCQL) method to solve both 2D and 3D packing problems. We first embed states by a recurrent encoder, and then adopt attention with conditional queries from previous actions. The conditional query mechanism fills the information gap between learning steps, which shapes the problem as a Markov decision process. Benefiting from the recurrence, a single RCQL model is capable of handling different sizes of packing problems. Experiment results show that RCQL can effectively learn strong heuristics for offline and online strip packing problems (SPPs), outperforming a wide range of baselines in space utilization ratio. RCQL reduces the average bin gap ratio by 1.83% in offline 2D 40-box cases and 7.84% in 3D cases compared with state-of-the-art methods. Meanwhile, our method also achieves 5.64% higher space utilization ratio for SPPs with 1000 items than the state of the art.




Abstract:In this work, we develop a pair of rate-diverse encoder and decoder for a two-user Gaussian multiple access channel (GMAC). The proposed scheme enables the users to transmit with the same codeword length but different coding rates under diverse user channel conditions. First, we propose the row-combining (RC) method and row-extending (RE) method to design practical low-density parity-check (LDPC) channel codes for rate-diverse GMAC. Second, we develop an iterative rate-diverse joint user messages decoding (RDJD) algorithm for GMAC, where all user messages are decoded with a single parity-check matrix. In contrast to the conventional network-coded multiple access (NCMA) and compute-forward multiple access (CFMA) schemes that first recover a linear combination of the transmitted codewords and then decode both user messages, this work can decode both the user messages simultaneously. Extrinsic information transfer (EXIT) chart analysis and simulation results indicate that RDJD can achieve gains up to 1.0 dB over NCMA and CFMA in the two-user GMAC. In particular, we show that there exists an optimal rate allocation for the two users to achieve the best decoding performance given the channel conditions and sum rate.



Abstract:This paper considers joint device activity detection and channel estimation in Internet of Things (IoT) networks, where a large number of IoT devices exist but merely a random subset of them become active for short-packet transmission at each time slot. In particular, we propose to leverage the temporal correlation in user activity, i.e., a device active at the previous time slot is more likely to be still active at the current moment, to improve the detection performance. Despite the temporally-correlated user activity in consecutive time slots, it is challenging to unveil the connection between the activity pattern estimated previously, which is imperfect but the only available side information (SI), and the true activity pattern at the current moment due to the unknown estimation error. In this work, we manage to tackle this challenge under the framework of approximate message passing (AMP). Specifically, thanks to the state evolution, the correlation between the activity pattern estimated by AMP at the previous time slot and the real activity pattern at the previous and current moment is quantified explicitly. Based on the well-defined temporal correlation, we further manage to embed this useful SI into the design of the minimum mean-squared error (MMSE) denoisers and log-likelihood ratio (LLR) test based activity detectors under the AMP framework. Theoretical comparison between the SI-aided AMP algorithm and its counterpart without utilizing temporal correlation is provided. Moreover, numerical results are given to show the significant gain in activity detection accuracy brought by the SI-aided algorithm.




Abstract:Social networks have been popular platforms for information propagation. An important use case is viral marketing: given a promotion budget, an advertiser can choose some influential users as the seed set and provide them free or discounted sample products; in this way, the advertiser hopes to increase the popularity of the product in the users' friend circles by the world-of-mouth effect, and thus maximizes the number of users that information of the production can reach. There has been a body of literature studying the influence maximization problem. Nevertheless, the existing studies mostly investigate the problem on a one-off basis, assuming fixed known influence probabilities among users, or the knowledge of the exact social network topology. In practice, the social network topology and the influence probabilities are typically unknown to the advertiser, which can be varying over time, i.e., in cases of newly established, strengthened or weakened social ties. In this paper, we focus on a dynamic non-stationary social network and design a randomized algorithm, RSB, based on multi-armed bandit optimization, to maximize influence propagation over time. The algorithm produces a sequence of online decisions and calibrates its explore-exploit strategy utilizing outcomes of previous decisions. It is rigorously proven to achieve an upper-bounded regret in reward and applicable to large-scale social networks. Practical effectiveness of the algorithm is evaluated using both synthetic and real-world datasets, which demonstrates that our algorithm outperforms previous stationary methods under non-stationary conditions.