Oggi
Abstract:Controlling emergent behavioral personas (e.g., sycophancy, hallucination) in Large Language Models (LLMs) is critical for AI safety, yet remains a persistent challenge. Existing solutions face a dilemma: manual prompt engineering is intuitive but unscalable and imprecise, while automatic optimization methods are effective but operate as "black boxes" with no interpretable connection to model internals. We propose a novel framework that adapts gradient ascent to LLMs, enabling targeted prompt discovery. In specific, we propose two methods, RESGA and SAEGA, that both optimize randomly initialized prompts to achieve better aligned representation with an identified persona direction. We introduce fluent gradient ascent to control the fluency of discovered persona steering prompts. We demonstrate RESGA and SAEGA's effectiveness across Llama 3.1, Qwen 2.5, and Gemma 3 for steering three different personas,sycophancy, hallucination, and myopic reward. Crucially, on sycophancy, our automatically discovered prompts achieve significant improvement (49.90% compared with 79.24%). By grounding prompt discovery in mechanistically meaningful features, our method offers a new paradigm for controllable and interpretable behavior modification.




Abstract:Although recent generative models are remarkably capable of producing instruction-following and realistic outputs, they remain prone to notable physical plausibility failures. Though critical in applications, these physical plausibility errors often escape detection by existing evaluation methods. Furthermore, no framework exists for automatically identifying and interpreting specific physical error patterns in natural language, preventing targeted model improvements. We introduce Matryoshka Transcoders, a novel framework for the automatic discovery and interpretation of physical plausibility features in generative models. Our approach extends the Matryoshka representation learning paradigm to transcoder architectures, enabling hierarchical sparse feature learning at multiple granularity levels. By training on intermediate representations from a physical plausibility classifier and leveraging large multimodal models for interpretation, our method identifies diverse physics-related failure modes without manual feature engineering, achieving superior feature relevance and feature accuracy compared to existing approaches. We utilize the discovered visual patterns to establish a benchmark for evaluating physical plausibility in generative models. Our analysis of eight state-of-the-art generative models provides valuable insights into how these models fail to follow physical constraints, paving the way for further model improvements.




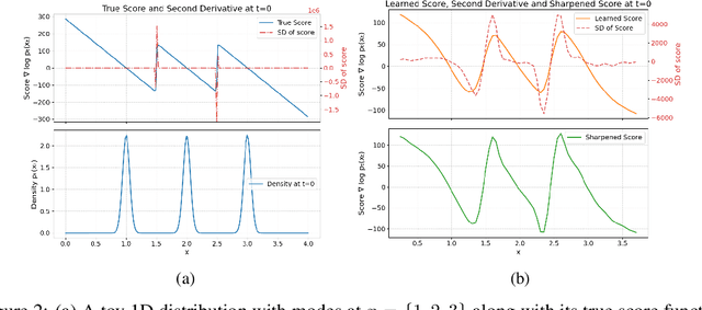
Abstract:Diffusion models, though successful, are known to suffer from hallucinations that create incoherent or unrealistic samples. Recent works have attributed this to the phenomenon of mode interpolation and score smoothening, but they lack a method to prevent their generation during sampling. In this paper, we propose a post-hoc adjustment to the score function during inference that leverages the Laplacian (or sharpness) of the score to reduce mode interpolation hallucination in unconditional diffusion models across 1D, 2D, and high-dimensional image data. We derive an efficient Laplacian approximation for higher dimensions using a finite-difference variant of the Hutchinson trace estimator. We show that this correction significantly reduces the rate of hallucinated samples across toy 1D/2D distributions and a high-dimensional image dataset. Furthermore, our analysis explores the relationship between the Laplacian and uncertainty in the score.
Abstract:Deep learning models have achieved remarkable accuracy in chest X-ray diagnosis, yet their widespread clinical adoption remains limited by the black-box nature of their predictions. Clinicians require transparent, verifiable explanations to trust automated diagnoses and identify potential failure modes. We introduce CXR-LanIC (Language-Grounded Interpretable Classifier for Chest X-rays), a novel framework that addresses this interpretability challenge through task-aligned pattern discovery. Our approach trains transcoder-based sparse autoencoders on a BiomedCLIP diagnostic classifier to decompose medical image representations into interpretable visual patterns. By training an ensemble of 100 transcoders on multimodal embeddings from the MIMIC-CXR dataset, we discover approximately 5,000 monosemantic patterns spanning cardiac, pulmonary, pleural, structural, device, and artifact categories. Each pattern exhibits consistent activation behavior across images sharing specific radiological features, enabling transparent attribution where predictions decompose into 20-50 interpretable patterns with verifiable activation galleries. CXR-LanIC achieves competitive diagnostic accuracy on five key findings while providing the foundation for natural language explanations through planned large multimodal model annotation. Our key innovation lies in extracting interpretable features from a classifier trained on specific diagnostic objectives rather than general-purpose embeddings, ensuring discovered patterns are directly relevant to clinical decision-making, demonstrating that medical AI systems can be both accurate and interpretable, supporting safer clinical deployment through transparent, clinically grounded explanations.
Abstract:Attention mechanisms have become integral in AI, significantly enhancing model performance and scalability by drawing inspiration from human cognition. Concurrently, the Attention Schema Theory (AST) in cognitive science posits that individuals manage their attention by creating a model of the attention itself, effectively allocating cognitive resources. Inspired by AST, we introduce ASAC (Attention Schema-based Attention Control), which integrates the attention schema concept into artificial neural networks. Our initial experiments focused on embedding the ASAC module within transformer architectures. This module employs a Vector-Quantized Variational AutoEncoder (VQVAE) as both an attention abstractor and controller, facilitating precise attention management. By explicitly modeling attention allocation, our approach aims to enhance system efficiency. We demonstrate ASAC's effectiveness in both the vision and NLP domains, highlighting its ability to improve classification accuracy and expedite the learning process. Our experiments with vision transformers across various datasets illustrate that the attention controller not only boosts classification accuracy but also accelerates learning. Furthermore, we have demonstrated the model's robustness and generalization capabilities across noisy and out-of-distribution datasets. In addition, we have showcased improved performance in multi-task settings. Quick experiments reveal that the attention schema-based module enhances resilience to adversarial attacks, optimizes attention to improve learning efficiency, and facilitates effective transfer learning and learning from fewer examples. These promising results establish a connection between cognitive science and machine learning, shedding light on the efficient utilization of attention mechanisms in AI systems.
Abstract:Recent advances in model-based reinforcement learning (MBRL) have achieved super-human level performance on the Atari100k benchmark, driven by reinforcement learning agents trained on powerful diffusion world models. However, we identify that the current aggregates mask a major performance asymmetry: MBRL agents dramatically outperform humans in some tasks despite drastically underperforming in others, with the former inflating the aggregate metrics. This is especially pronounced in pixel-based agents trained with diffusion world models. In this work, we address the pronounced asymmetry observed in pixel-based agents as an initial attempt to reverse the worrying upward trend observed in them. We address the problematic aggregates by delineating all tasks as Agent-Optimal or Human-Optimal and advocate for equal importance on metrics from both sets. Next, we hypothesize this pronounced asymmetry is due to the lack of temporally-structured latent space trained with the World Model objective in pixel-based methods. Lastly, to address this issue, we propose Joint Embedding DIffusion (JEDI), a novel latent diffusion world model trained end-to-end with the self-consistency objective. JEDI outperforms SOTA models in human-optimal tasks while staying competitive across the Atari100k benchmark, and runs 3 times faster with 43% lower memory than the latest pixel-based diffusion baseline. Overall, our work rethinks what it truly means to cross human-level performance in Atari100k.
Abstract:Artificial intelligence (AI) shows remarkable potential in medical imaging diagnostics, but current models typically require retraining when deployed across different clinical centers, limiting their widespread adoption. We introduce GlobeReady, a clinician-friendly AI platform that enables ocular disease diagnosis without retraining/fine-tuning or technical expertise. GlobeReady achieves high accuracy across imaging modalities: 93.9-98.5% for an 11-category fundus photo dataset and 87.2-92.7% for a 15-category OCT dataset. Through training-free local feature augmentation, it addresses domain shifts across centers and populations, reaching an average accuracy of 88.9% across five centers in China, 86.3% in Vietnam, and 90.2% in the UK. The built-in confidence-quantifiable diagnostic approach further boosted accuracy to 94.9-99.4% (fundus) and 88.2-96.2% (OCT), while identifying out-of-distribution cases at 86.3% (49 CFP categories) and 90.6% (13 OCT categories). Clinicians from multiple countries rated GlobeReady highly (average 4.6 out of 5) for its usability and clinical relevance. These results demonstrate GlobeReady's robust, scalable diagnostic capability and potential to support ophthalmic care without technical barriers.




Abstract:Recent advances in reasoning-focused large language models (LLMs) mark a shift from general LLMs toward models designed for complex decision-making, a crucial aspect in medicine. However, their performance in specialized domains like ophthalmology remains underexplored. This study comprehensively evaluated and compared the accuracy and reasoning capabilities of four newly developed reasoning-focused LLMs, namely DeepSeek-R1, OpenAI o1, o3-mini, and Gemini 2.0 Flash-Thinking. Each model was assessed using 5,888 multiple-choice ophthalmology exam questions from the MedMCQA dataset in zero-shot setting. Quantitative evaluation included accuracy, Macro-F1, and five text-generation metrics (ROUGE-L, METEOR, BERTScore, BARTScore, and AlignScore), computed against ground-truth reasonings. Average inference time was recorded for a subset of 100 randomly selected questions. Additionally, two board-certified ophthalmologists qualitatively assessed clarity, completeness, and reasoning structure of responses to differential diagnosis questions.O1 (0.902) and DeepSeek-R1 (0.888) achieved the highest accuracy, with o1 also leading in Macro-F1 (0.900). The performance of models across the text-generation metrics varied: O3-mini excelled in ROUGE-L (0.151), o1 in METEOR (0.232), DeepSeek-R1 and o3-mini tied for BERTScore (0.673), DeepSeek-R1 (-4.105) and Gemini 2.0 Flash-Thinking (-4.127) performed best in BARTScore, while o3-mini (0.181) and o1 (0.176) led AlignScore. Inference time across the models varied, with DeepSeek-R1 being slowest (40.4 seconds) and Gemini 2.0 Flash-Thinking fastest (6.7 seconds). Qualitative evaluation revealed that DeepSeek-R1 and Gemini 2.0 Flash-Thinking tended to provide detailed and comprehensive intermediate reasoning, whereas o1 and o3-mini displayed concise and summarized justifications.
Abstract:Given the remarkable performance of Large Language Models (LLMs), an important question arises: Can LLMs conduct human-like scientific research and discover new knowledge, and act as an AI scientist? Scientific discovery is an iterative process that demands efficient knowledge updating and encoding. It involves understanding the environment, identifying new hypotheses, and reasoning about actions; however, no standardized benchmark specifically designed for scientific discovery exists for LLM agents. In response to these limitations, we introduce a novel benchmark, \textit{Auto-Bench}, that encompasses necessary aspects to evaluate LLMs for scientific discovery in both natural and social sciences. Our benchmark is based on the principles of causal graph discovery. It challenges models to uncover hidden structures and make optimal decisions, which includes generating valid justifications. By engaging interactively with an oracle, the models iteratively refine their understanding of underlying interactions, the chemistry and social interactions, through strategic interventions. We evaluate state-of-the-art LLMs, including GPT-4, Gemini, Qwen, Claude, and Llama, and observe a significant performance drop as the problem complexity increases, which suggests an important gap between machine and human intelligence that future development of LLMs need to take into consideration.




Abstract:Large Language Models (LLMs) demonstrate remarkable proficiency in generating accurate and fluent text. However, they often struggle with diversity and novelty, leading to repetitive or overly deterministic responses. These limitations stem from constraints in training data, including gaps in specific knowledge domains, outdated information, and an over-reliance on textual sources. Such shortcomings reduce their effectiveness in tasks requiring creativity, multi-perspective reasoning, and exploratory thinking, such as LLM based AI scientist agents and creative artist agents . To address this challenge, we introduce inference-time multi-view brainstorming method, a novel approach that enriches input prompts with diverse perspectives derived from both textual and visual sources, which we refere to as "Multi-Novelty". By incorporating additional contextual information as diverse starting point for chain of thoughts, this method enhances the variety and creativity of generated outputs. Importantly, our approach is model-agnostic, requiring no architectural modifications and being compatible with both open-source and proprietary LLMs.