



Abstract:We propose a low-complexity localization framework for uplink distributed MIMO (D-MIMO) systems, targeting the challenge of minimizing the highly spiky maximum-likelihood (ML) cost function that arises in sparsely deployed phasecoherent access points (APs) with narrowband transmission. In such systems, ML-based localization typically relies on dense grid search, incurring prohibitive computational complexity. To address this, we introduce phase-only localization (POLO), an approach that leverages differential carrier-phase measurements from selected APs to generate a compact set of candidate user positions. The ML cost function is then evaluated only at these candidates, reducing complexity significantly. A key challenge is to devise an AP selection mechanism that reduces the number of candidate points while maintaining reliable coverage. We propose two variants: POLO-I, which selects three APs to provide closed-form candidate positions with low computational cost, and POLO-II, which selects four APs using an alternative strategy that enhances coverage at marginally higher runtime. Comprehensive analytical and simulation results show that POLO achieves a favorable coverage-complexity trade-off, reducing cost by orders of magnitude relative to exhaustive grid search with only marginal loss in coverage. By characterizing this tradeoff under diverse AP configurations, we also provide practical guidelines for selecting between POLO-I and POLO-II depending on latency and coverage requirements.




Abstract:Sensing in non-line-of-sight (NLOS) is one of the major challenges for integrated sensing and communication systems. Existing countermeasures for NLOS either use prior knowledge on the environment to characterize all the multiple bounces or deploy anomalous reflectors in the environment to enable communication infrastructure to ''\textit{see behind the corner}''. This work addresses the integration of monostatic NLOS imaging functionalities into the initial access (IA) procedure of a next generation base station (BS), by means of a non-reconfigurable modular reflector. During standard-compliant IA, the BS sweeps a narrow beam using a pre-defined dedicated codebook to achieve the beam alignment with users. We introduce the imaging functionality by enhancing such codebook with imaging-specific entries that are jointly designed with the angular configuration of the modular reflector to enable high-resolution imaging of a region in NLOS by \textit{coherently} processing all the echoes at the BS. We derive closed-form expressions for the near-field (NF) spatial resolution, as well as for the \textit{effective aperture} (i.e., the portion of the reflector that actively contributes to improve image resolution). The problem of imaging of moving targets in NLOS is also addressed, and we propose a maximum-likelihood estimation for target's velocity in NF and related theoretical bound. Further, we discuss and quantify the inherent communication-imaging performance trade-offs and related system design challenges through numerical simulations. Finally, the proposed imaging method employing modular reflectors is validated both numerically and experimentally, showing the effectiveness of our concept.




Abstract:This paper addresses the challenge of integrating multistatic coherent imaging functionalities in the downlink (DL) of a phase-coherent distributed multiple input multiple output (D-MIMO) communication network. During DL, the D-MIMO access points (APs) jointly precode the transmitted signals to maximize the spectral efficiency (SE) at the users (UEs) locations. However, imaging requires that \textit{(i)} a fraction of the APs work as receivers for sensing and \textit{(ii)} the transmitting APs emit AP-specific and orthogonal signals to illuminate the area to be imaged and allow multistatic operation. In these settings, our contribution is twofold. We propose a novel distributed integrated sensing and communication (D-ISAC) system that superposes a purposely designed AP-specific signal for imaging to the legacy UE-specific communication one, with a tunable trade-off factor. We detail both the imaging waveform design according to the \textit{extended orthogonality condition} and the space-frequency precoder design. Then, we propose an optimized selection strategy for the receiving APs, in order to maximize imaging performance under half-duplex constraints. Extensive numerical results prove the feasibility and benefits of our proposal, materializing the potential of joint multistatic imaging and communications in practical D-MIMO deployments.
Abstract:We investigate data-aided iterative sensing in bistatic OFDM ISAC systems, focusing on scenarios with co-located sensing and communication receivers. To enhance target detection beyond pilot-only sensing methods, we propose a multi-stage bistatic OFDM receiver, performing iterative sensing and data demodulation to progressively refine ISAC channel and data estimates. Simulation results demonstrate that the proposed data-aided scheme significantly outperforms pilot-only benchmarks, particularly in multi-target scenarios, substantially narrowing the performance gap compared to a genie-aided system with perfect data knowledge. Moreover, the proposed approach considerably expands the bistatic ISAC trade-off region, closely approaching the probability of detection-achievable rate boundary established by its genie-aided counterpart.




Abstract:We investigate joint localization and synchronization in the downlink of a distributed multiple-input-multiple-output (D-MIMO) system, aiming to estimate the position and phase offset of a single-antenna user equipment (UE) using downlink transmissions of multiple phase-synchronized, multi-antenna access points (APs). We propose two transmission protocols: sequential (P1) and simultaneous (P2) AP transmissions, together with the ML estimators that either leverage (coherent estimator) or disregard phase information (non-coherent estimator). Simulation results reveal that downlink D-MIMO holds significant potential for high-accuracy localization while showing that P2 provides superior localization performance and reduced transmission latency.




Abstract:Distributed integrated sensing and communication (ISAC) devices can overcome the traditional resolution limitations imposed by the signal bandwidth, cooperating to produce high-resolution images of the environment. However, existing phase-coherent imaging approaches are not suited to imaging multiple moving targets, since the Doppler effect causes a phase rotation that degrades the image focus and biases the targets' locations. In this paper, we propose MovISAC, the first coherent imaging method for moving targets using distributed asynchronous ISAC devices. Our approach obtains a set of high-resolution images of the environment, in which each image represents only targets moving with a selected velocity. To achieve this, MovISAC performs over-the-air (OTA) synchronization to compensate for timing, frequency, and phase offsets among distributed ISAC devices. Then, to solve the prohibitive complexity of an exhaustive search over the targets' velocities, we introduce a new association algorithm to match the Doppler shifts observed by each ISAC device pair to the corresponding spatial peaks obtained by standard imaging methods. This gives MovISAC the unique capability of pre-compensating the Doppler shift for each target before forming the images, thus recasting it from an undesired impairment to image formation to an additional means for resolving the targets. We perform extensive numerical simulations showing that our approach achieves extremely high resolution, superior robustness to clutter thanks to the additional target separation in the Doppler domain, and obtains cm- and cm/s-level target localization and velocity estimation errors. MovISAC significantly outperforms existing imaging methods that do not compensate for the Doppler shift, demonstrating up to 18 times lower localization error and enabling velocity estimation.
Abstract:Smart Radio Environment (SRE) is a central paradigms in 6G and beyond, where integrating SRE components into the network planning process enables optimized performance for high-frequency Radio Access Network (RAN). This paper presents a comprehensive planning framework utilizing realistic urban scenarios and precise channel models to analyze diverse SRE components, including Reconfigurable Intelligent Surface (RIS), Network-Controlled Repeater (NCR), and advanced technologies like Simultaneous transmitting and reflecting RIS (STAR RIS) and trisectoral NCR (3SNCR). We propose two optimization methods, full coverage minimum cost (FCMC) and maximum budget-constrained coverage (MBCC), that address key cost and coverage objectives by considering both physical characteristics and scalable costs of each component, influenced by factors such as NCR amplification gain and RIS dimensions. Extensive numerical results demonstrate the significant impact of these models in enhancing network planning efficiency for high-density urban environments.




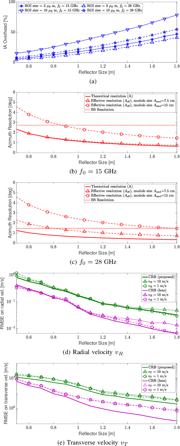
Abstract:Non-line-of-sight (NLOS) operation is one of the open issues to be solved for integrated sensing and communication (ISAC) systems to become a pillar of the future wireless infrastructure above 10 GHz. Existing NLOS countermeasures use either metallic mirrors, that are limited in coverage, or reconfigurable metasurfaces, that are limited in size due to cost. This paper focuses on integrated imaging and communication (IIAC) systems for NLOS exploration, where a base station (BS) serves the users while gathering a high-resolution image of the area. We exploit a large reflection plane, that is phase-configured in space and time jointly with a proper BS beam sweeping to provide a multi-view observation of the area and maximizing the image resolution. Remarkably, we achieve a near-field imaging through successive far-field acquisitions, limiting the design complexity and cost. Numerical results prove the benefits of our proposal.




Abstract:Sensing in non-line-of-sight (NLOS) is a well-known issue that limits the effective range of radar-like sensors. Existing approaches for NLOS sensing consider the usage of either metallic mirrors, that only work under specular reflection, or dynamically-reconfigurable metasurfaces that steer the signal to cover a desired area in NLOS, with the drawback of cost and control signaling. This paper proposes a novel sensing system, that allows a source to image a desired region of interest (ROI) in NLOS, using the combination of a proper beam sweeping (by the source) as well as a passive reflection plane configured as a periodic angular deflecting function (that allows illuminating the ROI). \textit{Stroboscopic sensing} is obtained by sweeping over a sufficiently large portion of the reflection plane, the source covers the ROI \textit{and} enhance the spatial resolution of the image, thanks to multiple diverse observation angles of ROI. Remarkably, the proposed system achieves a near-field imaging with a sequence of far-field acquisitions, thus limiting the implementation complexity. We detail the system design criteria and trade-offs, demonstrating the remarkable benefits of such a stroboscopic sensing system, where a possibly moving source can observe a ROI through multiple points of view as if it were static.




Abstract:The sixth generation (6G) of wireless networks introduces integrated sensing and communication (ISAC), a technology in which communication and sensing functionalities are inextricably linked, sharing resources across time, frequency, space, and energy. Despite its popularity in communication, the orthogonal frequency division multiplexing (OFDM) waveform, while advantageous for communication, has limitations in sensing performance within an ISAC network. This paper delves into OFDM waveform design through optimal resource allocation over time, frequency, and energy, maximizing sensing performance while preserving communication quality. During quasi-normal operation, the Base Station (BS) does not utilize all available time-frequency resources, resulting in high sidelobes in the OFDM waveform's ambiguity function, as well as decreased sensing accuracy. To address these latter issues, the paper proposes a novel interpolation technique using matrix completion through the Schatten p quasi-normal approximation, which requires fewer samples than the traditional nuclear norm for effective matrix completion and interpolation. This approach effectively suppresses the sidelobes, enhancing the sensing performance. Numerical simulations confirm that the proposed method outperforms state-of-the-art frameworks, such as standard complaint resource scheduling and interpolation, particularly in scenarios with limited resource occupancy.