Abstract:Smart Radio Environment (SRE) is a central paradigms in 6G and beyond, where integrating SRE components into the network planning process enables optimized performance for high-frequency Radio Access Network (RAN). This paper presents a comprehensive planning framework utilizing realistic urban scenarios and precise channel models to analyze diverse SRE components, including Reconfigurable Intelligent Surface (RIS), Network-Controlled Repeater (NCR), and advanced technologies like Simultaneous transmitting and reflecting RIS (STAR RIS) and trisectoral NCR (3SNCR). We propose two optimization methods, full coverage minimum cost (FCMC) and maximum budget-constrained coverage (MBCC), that address key cost and coverage objectives by considering both physical characteristics and scalable costs of each component, influenced by factors such as NCR amplification gain and RIS dimensions. Extensive numerical results demonstrate the significant impact of these models in enhancing network planning efficiency for high-density urban environments.




Abstract:The growing demand for high-speed, reliable wireless connectivity in 6G networks necessitates innovative approaches to overcome the limitations of traditional Radio Access Network (RAN). Reconfigurable Intelligent Surface (RIS) and Network-Controlled Repeater (NCR) have emerged as promising technologies to address coverage challenges in high-frequency millimeter wave (mmW) bands by enhancing signal reach in environments susceptible to blockage and severe propagation losses. In this paper, we propose an optimized deployment framework aimed at minimizing infrastructure costs while ensuring full area coverage using only RIS and NCR. We formulate a cost-minimization optimization problem that integrates the deployment and configuration of these devices to achieve seamless coverage, particularly in dense urban scenarios. Simulation results confirm that this framework significantly reduces the network planning costs while guaranteeing full coverage, demonstrating RIS and NCR's viability as cost-effective solutions for next-generation network infrastructure.




Abstract:Electromagnetic skins (EMSs) are recognized for enhancing communication performance, spanning from coverage to capacity. While much of the scientific literature focuses on reconfigurable intelligent surfaces that dynamically adjust phase configurations over time, this study takes a different approach by considering low-cost static passive curved EMS (CEMS)s. These are pre-configured during manufacturing to conform to the shape of irregular surfaces, e.g., car doors, effectively transforming them into anomalous mirrors. This design allows vehicles to serve as opportunistic passive relays, mitigating blockage issues in vehicular networks. This paper delves into a novel design method for the phase profile of CEMS based on coarse a-priori distributions of incident and reflection angles onto the surface, influenced by vehicular traffic patterns. A penalty-based method is employed to optimize both the average spectral efficiency (SE) and average coverage probability, and it is compared against a lower-complexity and physically intuitive modular architecture, utilizing a codebook-based discrete optimization technique. Numerical results demonstrate that properly designed CEMS lead to a remarkable improvements in average SE and coverage probability, namely when the direct path is blocked.




Abstract:Network-controlled repeaters (NCR) and reconfigurable intelligent surfaces (RIS) are being considered by the third generation partnership project (3GPP) as valid candidates for range extension in millimeter-wave (mmW, 30-300 GHz frequency) 5G and 6G networks, to counteract large path and penetration losses. Nowadays, there is no definite answer on which of the two technologies is better for coverage extension, since existing comparative studies focused either on communication-related metrics only or on very large-scale analysis, without physical layer details or environmental considerations. This paper aims at comparing NCR and RIS solutions in terms of coverage in an urban scenario. Numerical results suggest a possible usage of both technologies, showing that preferring RIS or NCR depends not only on their physical capabilities and cost (e.g., the number of antenna elements, the angular separation between panels for NCR, etc.) but also on environment geometry.




Abstract:The surging capacity demands of 5G networks and the limited coverage distance of high frequencies like millimeter wave (mmW) and sub-terahertz (THz) bands have led to consider the upper 6GHz (U6G) spectrum for radio access. However, due to the presence of the existing satellite (SAT) services in these bands, it is crucial to evaluate the impact of the interference of terrestrial U6G stations to SAT systems. A comprehensive study on the aggregated U6G-to-SAT interference is still missing in the literature. In this paper, we propose a stochastic model of interference (SMI) to evaluate the U6G-to-SAT interference, including the statistical characterization of array gain and clutter loss and considering different interference modes. Furthermore, we propose an approximate geometrical-based stochastic model of interference (GSMI) as an alternative method to SMI when the clutter-loss distribution is unavailable. Our results indicate that given the typical international mobile telecommunication (IMT) parameters, the aggregated interference power is well below the relevant protection criterion, and we prove numerically that the GSMI method overestimates the aggregated interference power with only 2dB compared to the SMI method.




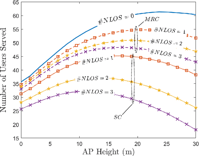
Abstract:Device density in cellular networks is expected to increase considerably in the next future. Accordingly, the access point (AP) will equip massive multiple-input multiple-output (mMIMO) antennas, using collimated millimeter-wave (mmW) and sub-THz communications, and increase the bandwidth to accommodate the growing data rate demands. In this scenario, interference plays a critical role and, if not characterized and mitigated properly, might limit the performances of the network. In this context, this paper derives the statistical properties of the aggregated interference power for a cellular network equipping a mMIMO cylindrical array. The proposed statistical model considers the link blockage and other network parameters such as antenna configuration and device density. The findings show that the characteristic function (CF) of the aggregated interference power can be regarded as a weighted mixture of two alpha-stable distributions. Furthermore, by analyzing the service probability, it is found that there is an optimal configuration of the array depending on the AP height and device density. The proposed statistical model can be part of the design of dense networks providing valuable insights for optimal network deployment




Abstract:In future 6G millimeter wave (mmWave)/sub-THz vehicle-to-everything (V2X) communication systems, vehicles are expected to be equipped with massive antenna arrays to realize beam-based links capable of compensating for the severe path loss. However, vehicle-to-vehicle (V2V) direct links are prone to be blocked by surrounding vehicles. Emerging metasurface technologies enable the control of the electromagnetic wave reflection towards the desired direction, enriching the channel scattering to boost communication performance. Reconfigurable intelligent surfaces (RIS), and mostly the pre-configured counterpart intelligent reflecting surfaces (IRS), are a promising low-cost relaying system for 6G. This paper proposes using conformal metasurfaces (either C-RIS or C-IRS) deployed on vehicles' body to mitigate the blockage impact in a highway multi-lane scenario. In particular, conformal metasurfaces create artificial reflections to mitigate blockage by compensating for the non-flat shape of the vehicle's body, such as the lateral doors, with proper phase patterns. We analytically derive the phase pattern to apply to a cylindrical C-RIS/C-IRS approximating the shape of the car body, as a function of both incidence and reflection angles, considering cylindrical RIS/IRS as a generalization of conventional planar ones. We propose a novel design for optimally pre-configured C-IRS to mimic the behavior of an EM flat surface on car doors, proving the benefits of C-RIS and C-IRS in a multi-lane V2V highway scenario. The results show a consistent reduction of blockage probability when exploiting C-RIS/C-IRS, 20% for pre-configured C-IRS, and 70% for C-RIS, as well as a remarkable improvement in terms of average signal-to-noise ratio, respectively 10-20 dB for C-IRS and 30-40 dB for C-RIS.