Abstract:Continual learning aims to learn multiple tasks sequentially while preserving prior knowledge, but faces the challenge of catastrophic forgetting when acquiring new knowledge. Recently, approaches leveraging pre-trained models have gained increasing popularity to mitigate this issue, due to the strong generalization ability of foundation models. To adjust pre-trained models for new tasks, existing methods usually employ low-rank adaptation, which restricts parameter updates to a fixed low-rank subspace. However, constraining the optimization space inherently compromises the model's learning capacity, resulting in inferior performance. To address the limitation, we propose Continuous Subspace Optimization for Continual Learning (CoSO) to fine-tune the model in a series of subspaces rather than a single one. These sequential subspaces are dynamically determined through the singular value decomposition of gradients. CoSO updates the model by projecting gradients into these subspaces, ensuring memory-efficient optimization. To mitigate forgetting, the optimization subspaces of each task are set to be orthogonal to the historical task subspace. During task learning, CoSO maintains a task-specific component that captures the critical update directions associated with the current task. Upon completing a task, this component is used to update the historical task subspace, laying the groundwork for subsequent learning. Extensive experiments on multiple datasets demonstrate that CoSO significantly outperforms state-of-the-art methods, especially in challenging scenarios with long task sequences.
Abstract:In many open environment applications, data are collected in the form of a stream, which exhibits an evolving distribution over time. How to design algorithms to track these evolving data distributions with provable guarantees, particularly in terms of the generalization ability, remains a formidable challenge. To handle this crucial but rarely studied problem and take a further step toward robust artificial intelligence, we propose a novel framework called Distribution Adaptable Learning (DAL). It enables the model to effectively track the evolving data distributions. By Encoding Feature Marginal Distribution Information (EFMDI), we broke the limitations of optimal transport to characterize the environmental changes and enable model reuse across diverse data distributions. It can enhance the reusable and evolvable properties of DAL in accommodating evolving distributions. Furthermore, to obtain the model interpretability, we not only analyze the generalization error bound of the local step in the evolution process, but also investigate the generalization error bound associated with the entire classifier trajectory of the evolution based on the Fisher-Rao distance. For demonstration, we also present two special cases within the framework, together with their optimizations and convergence analyses. Experimental results over both synthetic and real-world data distribution evolving tasks validate the effectiveness and practical utility of the proposed framework.




Abstract:As a prominent challenge in addressing real-world issues within a dynamic environment, label shift, which refers to the learning setting where the source (training) and target (testing) label distributions do not match, has recently received increasing attention. Existing label shift methods solely use unlabeled target samples to estimate the target label distribution, and do not involve them during the classifier training, resulting in suboptimal utilization of available information. One common solution is to directly blend the source and target distributions during the training of the target classifier. However, we illustrate the theoretical deviation and limitations of the direct distribution mixture in the label shift setting. To tackle this crucial yet unexplored issue, we introduce the concept of aligned distribution mixture, showcasing its theoretical optimality and generalization error bounds. By incorporating insights from generalization theory, we propose an innovative label shift framework named as Aligned Distribution Mixture (ADM). Within this framework, we enhance four typical label shift methods by introducing modifications to the classifier training process. Furthermore, we also propose a one-step approach that incorporates a pioneering coupling weight estimation strategy. Considering the distinctiveness of the proposed one-step approach, we develop an efficient bi-level optimization strategy. Experimental results demonstrate the effectiveness of our approaches, together with their effectiveness in COVID-19 diagnosis applications.




Abstract:Physics-Informed Neural Networks (PINNs) have become a kind of attractive machine learning method for obtaining solutions of partial differential equations (PDEs). Training PINNs can be seen as a semi-supervised learning task, in which only exact values of initial and boundary points can be obtained in solving forward problems, and in the whole spatio-temporal domain collocation points are sampled without exact labels, which brings training difficulties. Thus the selection of collocation points and sampling methods are quite crucial in training PINNs. Existing sampling methods include fixed and dynamic types, and in the more popular latter one, sampling is usually controlled by PDE residual loss. We point out that it is not sufficient to only consider the residual loss in adaptive sampling and sampling should obey temporal causality. We further introduce temporal causality into adaptive sampling and propose a novel adaptive causal sampling method to improve the performance and efficiency of PINNs. Numerical experiments of several PDEs with high-order derivatives and strong nonlinearity, including Cahn Hilliard and KdV equations, show that the proposed sampling method can improve the performance of PINNs with few collocation points. We demonstrate that by utilizing such a relatively simple sampling method, prediction performance can be improved up to two orders of magnitude compared with state-of-the-art results with almost no extra computation cost, especially when points are limited.




Abstract:Visual speech, referring to the visual domain of speech, has attracted increasing attention due to its wide applications, such as public security, medical treatment, military defense, and film entertainment. As a powerful AI strategy, deep learning techniques have extensively promoted the development of visual speech learning. Over the past five years, numerous deep learning based methods have been proposed to address various problems in this area, especially automatic visual speech recognition and generation. To push forward future research on visual speech, this paper aims to present a comprehensive review of recent progress in deep learning methods on visual speech analysis. We cover different aspects of visual speech, including fundamental problems, challenges, benchmark datasets, a taxonomy of existing methods, and state-of-the-art performance. Besides, we also identify gaps in current research and discuss inspiring future research directions.




Abstract:Multi-view subspace clustering has been applied to applications such as image processing and video surveillance, and has attracted increasing attention. Most existing methods learn view-specific self-representation matrices, and construct a combined affinity matrix from multiple views. The affinity construction process is time-consuming, and the combined affinity matrix is not guaranteed to reflect the whole true subspace structure. To overcome these issues, the Latent Complete Row Space Recovery (LCRSR) method is proposed. Concretely, LCRSR is based on the assumption that the multi-view observations are generated from an underlying latent representation, which is further assumed to collect the authentic samples drawn exactly from multiple subspaces. LCRSR is able to recover the row space of the latent representation, which not only carries complete information from multiple views but also determines the subspace membership under certain conditions. LCRSR does not involve the graph construction procedure and is solved with an efficient and convergent algorithm, thereby being more scalable to large-scale datasets. The effectiveness and efficiency of LCRSR are validated by clustering various kinds of multi-view data and illustrated in the background subtraction task.




Abstract:In real-world applications, not all instances in multi-view data are fully represented. To deal with incomplete multi-view data, traditional multi-view algorithms usually throw away the incomplete instances, resulting in loss of available information. To overcome this loss, Incomplete Multi-view Learning (IML) has become a hot research topic. In this paper, we propose a general IML framework for unifying existing IML methods and gaining insight into IML. The proposed framework jointly performs embedding learning and low-rank approximation. Concretely, it approximates the incomplete data by a set of low-rank matrices and learns a full and common embedding by linear transformation. Several existing IML methods can be unified as special cases of the framework. More interestingly, some linear transformation based full-view methods can be adapted to IML directly with the guidance of the framework. This bridges the gap between full multi-view learning and IML. Moreover, the framework can provide guidance for developing new algorithms. For illustration, within the framework, we propose a specific method, termed as Incomplete Multi-view Learning with Block Diagonal Representation (IML-BDR). Based on the assumption that the sampled examples have approximate linear subspace structure, IML-BDR uses the block diagonal structure prior to learn the full embedding, which would lead to more correct clustering. A convergent alternating iterative algorithm with the Successive Over-Relaxation (SOR) optimization technique is devised for optimization. Experimental results on various datasets demonstrate the effectiveness of IML-BDR.




Abstract:With the evolution of data collection ways, it is possible to produce abundant data described by multiple feature sets. Previous studies show that including more features does not necessarily bring positive effect. How to prevent the augmented features worsening classification performance is crucial but rarely studied. In this paper, we study this challenging problem by proposing a secure classification approach, whose accuracy is never degenerated when exploiting augmented features. We propose two ways to achieve the security of our method named as SEcure Classification (SEC). Firstly, to leverage augmented features, we learn various types of classifiers and adapt them by employing a specially designed robust loss. It provides various candidate classifiers to meet the following assumption of security operation. Secondly, we integrate all candidate classifiers by approximately maximizing the performance improvement. Under a mild assumption, the integrated classifier has theoretical security guarantee. Several new optimization methods have been developed to accommodate the problems with proved convergence. Besides evaluating SEC on 16 data sets, we also apply SEC in the application of diagnostic classification of schizophrenia since it has vast application potentiality. Experimental results demonstrate the effectiveness of SEC in both tackling security problem and discriminating schizophrenic patients from healthy controls.




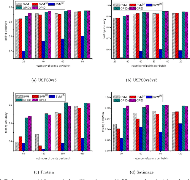
Abstract:In many real tasks the features are evolving, with some features being vanished and some other features augmented. For example, in environment monitoring some sensors expired whereas some new ones deployed; in mobile game recommendation some games dropped whereas some new ones added. Learning with such incremental and decremental features is crucial but rarely studied, particularly when the data coming like a stream and thus it is infeasible to keep the whole data for optimization. In this paper, we study this challenging problem and present the OPID approach. Our approach attempts to compress important information of vanished features into functions of survived features, and then expand to include the augmented features. It is the one-pass learning approach, which only needs to scan each instance once and does not need to store the whole data, and thus satisfy the evolving streaming data nature. The effectiveness of our approach is validated theoretically and empirically.




Abstract:Feature selection and feature transformation, the two main ways to reduce dimensionality, are often presented separately. In this paper, a feature selection method is proposed by combining the popular transformation based dimensionality reduction method Linear Discriminant Analysis (LDA) and sparsity regularization. We impose row sparsity on the transformation matrix of LDA through ${\ell}_{2,1}$-norm regularization to achieve feature selection, and the resultant formulation optimizes for selecting the most discriminative features and removing the redundant ones simultaneously. The formulation is extended to the ${\ell}_{2,p}$-norm regularized case: which is more likely to offer better sparsity when $0<p<1$. Thus the formulation is a better approximation to the feature selection problem. An efficient algorithm is developed to solve the ${\ell}_{2,p}$-norm based optimization problem and it is proved that the algorithm converges when $0<p\le 2$. Systematical experiments are conducted to understand the work of the proposed method. Promising experimental results on various types of real-world data sets demonstrate the effectiveness of our algorithm.