Abstract:Open-vocabulary object detection (OVOD) enables models to detect any object category, including unseen ones. Benefiting from large-scale pre-training, existing OVOD methods achieve strong detection performance on general scenarios (e.g., OV-COCO) but suffer severe performance drops when transferred to downstream tasks with substantial domain shifts. This degradation stems from the scarcity and weak semantics of category labels in domain-specific task, as well as the inability of existing models to capture auxiliary semantics beyond coarse-grained category label. To address these issues, we propose HSA-DINO, a parameter-efficient semantic augmentation framework for enhancing open-vocabulary object detection. Specifically, we propose a multi-scale prompt bank that leverages image feature pyramids to capture hierarchical semantics and select domain-specific local semantic prompts, progressively enriching textual representations from coarse to fine-grained levels. Furthermore, we introduce a semantic-aware router that dynamically selects the appropriate semantic augmentation strategy during inference, thereby preventing parameter updates from degrading the generalization ability of the pre-trained OVOD model. We evaluate HSA-DINO on OV-COCO, several vertical domain datasets, and modified benchmark settings. The results show that HSA-DINO performs favorably against previous state-of-the-art methods, achieving a superior trade-off between domain adaptability and open-vocabulary generalization.
Abstract:This research focuses on developing a real-time posture monitoring and risk assessment system for manual lifting tasks using advanced AI and computer vision technologies. Musculoskeletal disorders (MSDs) are a significant concern for workers involved in manual lifting, and traditional methods for posture correction are often inadequate due to delayed feedback and lack of personalized assessment. Our proposed solution integrates AI-driven posture detection, detailed keypoint analysis, risk level determination, and real-time feedback delivered through a user-friendly web interface. The system aims to improve posture, reduce the risk of MSDs, and enhance user engagement. The research involves comprehensive data collection, model training, and iterative development to ensure high accuracy and user satisfaction. The solution's effectiveness is evaluated against existing methodologies, demonstrating significant improvements in real-time feedback and risk assessment. This study contributes to the field by offering a novel approach to posture correction that addresses existing gaps and provides practical, immediate benefits to users.




Abstract:In this paper, we propose a frequency-time division network (FreqTimeNet) to improve the performance of deep learning (DL) based OFDM channel estimation. This FreqTimeNet is designed based on the orthogonality between the frequency domain and the time domain. In FreqTimeNet, the input is processed by parallel frequency blocks and parallel time blocks in sequential. Introducing the attention mechanism to use the SNR information, an attention based FreqTimeNet (AttenFreqTimeNet) is proposed. Using 3rd Generation Partnership Project (3GPP) channel models, the mean square error (MSE) performance of FreqTimeNet and AttenFreqTimeNet under different scenarios is evaluated. A method for constructing mixed training data is proposed, which could address the generalization problem in DL. It is observed that AttenFreqTimeNet outperforms FreqTimeNet, and FreqTimeNet outperforms other DL networks, with acceptable complexity.




Abstract:Massive multiple-input multiple-output can obtain more performance gain by exploiting the downlink channel state information (CSI) at the base station (BS). Therefore, studying CSI feedback with limited communication resources in frequency-division duplexing systems is of great importance. Recently, deep learning (DL)-based CSI feedback has shown considerable potential. However, the existing DL-based explicit feedback schemes are difficult to deploy because current fifth-generation mobile communication protocols and systems are designed based on an implicit feedback mechanism. In this paper, we propose a DL-based implicit feedback architecture to inherit the low-overhead characteristic, which uses neural networks (NNs) to replace the precoding matrix indicator (PMI) encoding and decoding modules. By using environment information, the NNs can achieve a more refined mapping between the precoding matrix and the PMI compared with codebooks. The correlation between subbands is also used to further improve the feedback performance. Simulation results show that, for a single resource block (RB), the proposed architecture can save 25.0% and 40.0% of overhead compared with Type I codebook under two antenna configurations, respectively. For a wideband system with 52 RBs, overhead can be saved by 30.7% and 48.0% compared with Type II codebook when ignoring and considering extracting subband correlation, respectively.




Abstract:This thesis focuses on Bayesian optimization with the improvements coming from two aspects:(i) the use of derivative information to accelerate the optimization convergence; and (ii) the consideration of scalable GPs for handling massive data.




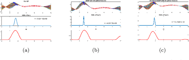
Abstract:We propose a novel sparse spectrum approximation of Gaussian process (GP) tailored for Bayesian optimisation. Whilst the current sparse spectrum methods provide good approximations for regression problems, it is observed that this particular form of sparse approximations generates an overconfident GP, i.e. it predicts less variance than the original GP. Since the balance between predictive mean and the predictive variance is a key determinant in the success of Bayesian optimisation, the current sparse spectrum methods are less suitable. We derive a regularised marginal likelihood for finding the optimal frequencies in optimisation problems. The regulariser trades the accuracy in the model fitting with the targeted increase in the variance of the resultant GP. We first consider the entropy of the distribution over the maxima as the regulariser that needs to be maximised. Later we show that the Expected Improvement acquisition function can also be used as a proxy for that, thus making the optimisation less computationally expensive. Experiments show an increase in the Bayesian optimisation convergence rate over the vanilla sparse spectrum method.