



LLM-based agentic applications have shown increasingly remarkable capabilities in complex workflows but incur substantial costs due to extensive planning and reasoning requirements. Existing LLM caching techniques (like context caching and semantic caching), primarily designed for serving chatbots, are insufficient for agentic applications where outputs depend on external data or environmental contexts. We propose agentic plan caching, a novel approach that extracts, stores, adapts, and reuses structured plan templates from planning stages of agentic applications across semantically similar tasks to reduce the cost of serving. Unlike traditional semantic caching, our system extracts plan templates from completed agent executions at test-time, employs keyword extraction to match new requests against cached plans, and utilizes lightweight models to adapt these templates to task-specific plans with contexts. Evaluation across multiple real-world agentic applications shows that our system can reduce costs by 46.62% on average while maintaining performance, offering a more efficient solution for serving LLM-based agents that complements existing LLM serving infrastructures.




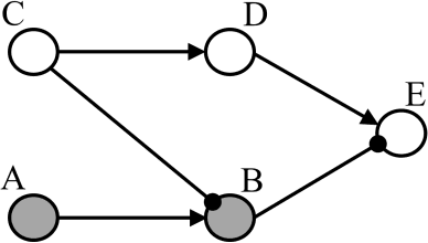
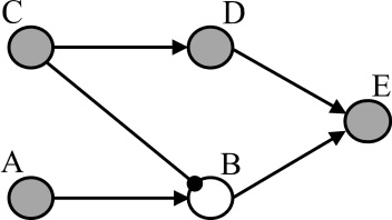
We propose a test for abstract causal reasoning in AI, based on scholarship in the philosophy of causation, in particular on the neuron diagrams popularized by D. Lewis. We illustrate the test on advanced Large Language Models (ChatGPT, DeepSeek and Gemini). Remarkably, these chatbots are already capable of correctly identifying causes in cases that are hotly debated in the literature. In order to assess the results of these LLMs and future dedicated AI, we propose a definition of cause in neuron diagrams with a wider validity than published hitherto, which challenges the widespread view that such a definition is elusive. We submit that these results are an illustration of how future philosophical research might evolve: as an interplay between human and artificial expertise.
Due to advances in Large Language Models (LLMs) such as ChatGPT, the boundary between human-written text and AI-generated text has become blurred. Nevertheless, recent work has demonstrated that it is possible to reliably detect GPT-generated text. In this paper, we adopt a novel strategy to adversarially transform GPT-generated text using sequence-to-sequence (Seq2Seq) models, with the goal of making the text more human-like. We experiment with the Seq2Seq models T5-small and BART which serve to modify GPT-generated sentences to include linguistic, structural, and semantic components that may be more typical of human-authored text. Experiments show that classification models trained to distinguish GPT-generated text are significantly less accurate when tested on text that has been modified by these Seq2Seq models. However, after retraining classification models on data generated by our Seq2Seq technique, the models are able to distinguish the transformed GPT-generated text from human-generated text with high accuracy. This work adds to the accumulating knowledge of text transformation as a tool for both attack -- in the sense of defeating classification models -- and defense -- in the sense of improved classifiers -- thereby advancing our understanding of AI-generated text.

Current advances in AI and its applicability have highlighted the need to ensure its trustworthiness for legal, ethical, and even commercial reasons. Sub-symbolic machine learning algorithms, such as the LLMs, simulate reasoning but hallucinate and their decisions cannot be explained or audited (crucial aspects for trustworthiness). On the other hand, rule-based reasoners, such as Cyc, are able to provide the chain of reasoning steps but are complex and use a large number of reasoners. We propose a middle ground using s(CASP), a goal-directed constraint-based answer set programming reasoner that employs a small number of mechanisms to emulate reliable and explainable human-style commonsense reasoning. In this paper, we explain how s(CASP) supports the 16 desiderata for trustworthy AI introduced by Doug Lenat and Gary Marcus (2023), and two additional ones: inconsistency detection and the assumption of alternative worlds. To illustrate the feasibility and synergies of s(CASP), we present a range of diverse applications, including a conversational chatbot and a virtually embodied reasoner.
As AI tools proliferate across domains, from chatbots and copilots to emerging agents, they increasingly support professional knowledge work. Yet despite their growing capabilities, these systems remain fragmented: they assist with isolated tasks but lack the architectural scaffolding for sustained, adaptive collaboration. We propose a layered framework for human-agent systems that integrates three interdependent dimensions: interaction, process, and infrastructure. Crucially, our architecture elevates process to a primary focus by making it explicit, inspectable, and adaptable, enabling humans and agents to align with evolving goals and coordinate over time. This model clarifies limitations of current tools, unifies emerging system design approaches, and reveals new opportunities for researchers and AI system builders. By grounding intelligent behavior in structured collaboration, we reimagine human-agent collaboration not as task-specific augmentation, but as a form of coherent and aligned system for real-world work.
Multimodal chatbots have become one of the major topics for dialogue systems in both research community and industry. Recently, researchers have shed light on the multimodality of responses as well as dialogue contexts. This work explores how a dialogue system can output responses in various modalities such as text and image. To this end, we first formulate a multimodal dialogue response retrieval task for retrieval-based systems as the combination of three subtasks. We then propose three integration methods based on a two-step approach and an end-to-end approach, and compare the merits and demerits of each method. Experimental results on two datasets demonstrate that the end-to-end approach achieves comparable performance without an intermediate step in the two-step approach. In addition, a parameter sharing strategy not only reduces the number of parameters but also boosts performance by transferring knowledge across the subtasks and the modalities.




As AI chatbots become increasingly integrated in education, students are turning to these systems for guidance, feedback, and information. However, the anthropomorphic characteristics of these chatbots create ambiguity regarding whether students develop trust toward them as they would a human peer or instructor, based in interpersonal trust, or as they would any other piece of technology, based in technology trust. This ambiguity presents theoretical challenges, as interpersonal trust models may inappropriately ascribe human intentionality and morality to AI, while technology trust models were developed for non-social technologies, leaving their applicability to anthropomorphic systems unclear. To address this gap, we investigate how human-like and system-like trusting beliefs comparatively influence students' perceived enjoyment, trusting intention, behavioral intention to use, and perceived usefulness of an AI chatbot - factors associated with students' engagement and learning outcomes. Through partial least squares structural equation modeling, we found that human-like and system-like trust significantly influenced student perceptions, with varied effects. Human-like trust more strongly predicted trusting intention, while system-like trust better predicted behavioral intention and perceived usefulness. Both had similar effects on perceived enjoyment. Given the partial explanatory power of each type of trust, we propose that students develop a distinct form of trust with AI chatbots (human-AI trust) that differs from human-human and human-technology models of trust. Our findings highlight the need for new theoretical frameworks specific to human-AI trust and offer practical insights for fostering appropriately calibrated trust, which is critical for the effective adoption and pedagogical impact of AI in education.




Low-latency decoding for large language models (LLMs) is crucial for applications like chatbots and code assistants, yet generating long outputs remains slow in single-query settings. Prior work on speculative decoding (which combines a small draft model with a larger target model) and tensor parallelism has each accelerated decoding. However, conventional approaches fail to apply both simultaneously due to imbalanced compute requirements (between draft and target models), KV-cache inconsistencies, and communication overheads under small-batch tensor-parallelism. This paper introduces SwiftSpec, a system that targets ultra-low latency for LLM decoding. SwiftSpec redesigns the speculative decoding pipeline in an asynchronous and disaggregated manner, so that each component can be scaled flexibly and remove draft overhead from the critical path. To realize this design, SwiftSpec proposes parallel tree generation, tree-aware KV cache management, and fused, latency-optimized kernels to overcome the challenges listed above. Across 5 model families and 6 datasets, SwiftSpec achieves an average of 1.75x speedup over state-of-the-art speculative decoding systems and, as a highlight, serves Llama3-70B at 348 tokens/s on 8 Nvidia Hopper GPUs, making it the fastest known system for low-latency LLM serving at this scale.
Human-like AI agents such as robots and chatbots are becoming increasingly popular, but they present a variety of ethical concerns. The first concern is in how we define humanness, and how our definition impacts communities historically dehumanized by scientific research. Autistic people in particular have been dehumanized by being compared to robots, making it even more important to ensure this marginalization is not reproduced by AI that may promote neuronormative social behaviors. Second, the ubiquitous use of these agents raises concerns surrounding model biases and accessibility. In our work, we investigate the experiences of the people who build and design these technologies to gain insights into their understanding and acceptance of neurodivergence, and the challenges in making their work more accessible to users with diverse needs. Even though neurodivergent individuals are often marginalized for their unique communication styles, nearly all participants overlooked the conclusions their end-users and other AI system makers may draw about communication norms from the implementation and interpretation of humanness applied in participants' work. This highlights a major gap in their broader ethical considerations, compounded by some participants' neuronormative assumptions about the behaviors and traits that distinguish "humans" from "bots" and the replication of these assumptions in their work. We examine the impact this may have on autism inclusion in society and provide recommendations for additional systemic changes towards more ethical research directions.
This paper introduces ChatbotManip, a novel dataset for studying manipulation in Chatbots. It contains simulated generated conversations between a chatbot and a (simulated) user, where the chatbot is explicitly asked to showcase manipulation tactics, persuade the user towards some goal, or simply be helpful. We consider a diverse set of chatbot manipulation contexts, from consumer and personal advice to citizen advice and controversial proposition argumentation. Each conversation is annotated by human annotators for both general manipulation and specific manipulation tactics. Our research reveals three key findings. First, Large Language Models (LLMs) can be manipulative when explicitly instructed, with annotators identifying manipulation in approximately 84\% of such conversations. Second, even when only instructed to be ``persuasive'' without explicit manipulation prompts, LLMs frequently default to controversial manipulative strategies, particularly gaslighting and fear enhancement. Third, small fine-tuned open source models, such as BERT+BiLSTM have a performance comparable to zero-shot classification with larger models like Gemini 2.5 pro in detecting manipulation, but are not yet reliable for real-world oversight. Our work provides important insights for AI safety research and highlights the need of addressing manipulation risks as LLMs are increasingly deployed in consumer-facing applications.