Jack
Abstract:Large-scale training systems typically use synchronous training, requiring all GPUs to be healthy simultaneously. In our experience training on O(100K) GPUs, synchronous training results in a low efficiency due to frequent failures and long recovery time. To address this problem, we propose a novel training paradigm, Fault Tolerant Hybrid-Shared Data Parallelism (FT-HSDP). FT-HSDP uses data parallel replicas as units of fault tolerance. When failures occur, only a single data-parallel replica containing the failed GPU or server is taken offline and restarted, while the other replicas continue training. To realize this idea at scale, FT-HSDP incorporates several techniques: 1) We introduce a Fault Tolerant All Reduce (FTAR) protocol for gradient exchange across data parallel replicas. FTAR relies on the CPU to drive the complex control logic for tasks like adding or removing participants dynamically, and relies on GPU to perform data transfer for best performance. 2) We introduce a non-blocking catch-up protocol, allowing a recovering replica to join training with minimal stall. Compared with fully synchronous training at O(100K) GPUs, FT-HSDP can reduce the stall time due to failure recovery from 10 minutes to 3 minutes, increasing effective training time from 44\% to 80\%. We further demonstrate that FT-HSDP's asynchronous recovery does not bring any meaning degradation to the accuracy of the result model.
Abstract:This document consolidates publicly reported technical details about Metas Llama 4 model family. It summarizes (i) released variants (Scout and Maverick) and the broader herd context including the previewed Behemoth teacher model, (ii) architectural characteristics beyond a high-level MoE description covering routed/shared-expert structure, early-fusion multimodality, and long-context design elements reported for Scout (iRoPE and length generalization strategies), (iii) training disclosures spanning pre-training, mid-training for long-context extension, and post-training methodology (lightweight SFT, online RL, and lightweight DPO) as described in release materials, (iv) developer-reported benchmark results for both base and instruction-tuned checkpoints, and (v) practical deployment constraints observed across major serving environments, including provider-specific context limits and quantization packaging. The manuscript also summarizes licensing obligations relevant to redistribution and derivative naming, and reviews publicly described safeguards and evaluation practices. The goal is to provide a compact technical reference for researchers and practitioners who need precise, source-backed facts about Llama 4.




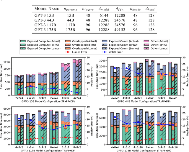
Abstract:Training LLMs in distributed environments presents significant challenges due to the complexity of model execution, deployment systems, and the vast space of configurable strategies. Although various optimization techniques exist, achieving high efficiency in practice remains difficult. Accurate performance models that effectively characterize and predict a model's behavior are essential for guiding optimization efforts and system-level studies. We propose Lumos, a trace-driven performance modeling and estimation toolkit for large-scale LLM training, designed to accurately capture and predict the execution behaviors of modern LLMs. We evaluate Lumos on a production ML cluster with up to 512 NVIDIA H100 GPUs using various GPT-3 variants, demonstrating that it can replay execution time with an average error of just 3.3%, along with other runtime details, across different models and configurations. Additionally, we validate its ability to estimate performance for new setups from existing traces, facilitating efficient exploration of model and deployment configurations.
Abstract:Modern artificial intelligence (AI) systems are powered by foundation models. This paper presents a new set of foundation models, called Llama 3. It is a herd of language models that natively support multilinguality, coding, reasoning, and tool usage. Our largest model is a dense Transformer with 405B parameters and a context window of up to 128K tokens. This paper presents an extensive empirical evaluation of Llama 3. We find that Llama 3 delivers comparable quality to leading language models such as GPT-4 on a plethora of tasks. We publicly release Llama 3, including pre-trained and post-trained versions of the 405B parameter language model and our Llama Guard 3 model for input and output safety. The paper also presents the results of experiments in which we integrate image, video, and speech capabilities into Llama 3 via a compositional approach. We observe this approach performs competitively with the state-of-the-art on image, video, and speech recognition tasks. The resulting models are not yet being broadly released as they are still under development.




Abstract:In this work, we develop and release Llama 2, a collection of pretrained and fine-tuned large language models (LLMs) ranging in scale from 7 billion to 70 billion parameters. Our fine-tuned LLMs, called Llama 2-Chat, are optimized for dialogue use cases. Our models outperform open-source chat models on most benchmarks we tested, and based on our human evaluations for helpfulness and safety, may be a suitable substitute for closed-source models. We provide a detailed description of our approach to fine-tuning and safety improvements of Llama 2-Chat in order to enable the community to build on our work and contribute to the responsible development of LLMs.




Abstract:Benchmarking and co-design are essential for driving optimizations and innovation around ML models, ML software, and next-generation hardware. Full workload benchmarks, e.g. MLPerf, play an essential role in enabling fair comparison across different software and hardware stacks especially once systems are fully designed and deployed. However, the pace of AI innovation demands a more agile methodology to benchmark creation and usage by simulators and emulators for future system co-design. We propose Chakra, an open graph schema for standardizing workload specification capturing key operations and dependencies, also known as Execution Trace (ET). In addition, we propose a complementary set of tools/capabilities to enable collection, generation, and adoption of Chakra ETs by a wide range of simulators, emulators, and benchmarks. For instance, we use generative AI models to learn latent statistical properties across thousands of Chakra ETs and use these models to synthesize Chakra ETs. These synthetic ETs can obfuscate key proprietary information and also target future what-if scenarios. As an example, we demonstrate an end-to-end proof-of-concept that converts PyTorch ETs to Chakra ETs and uses this to drive an open-source training system simulator (ASTRA-sim). Our end-goal is to build a vibrant industry-wide ecosystem of agile benchmarks and tools to drive future AI system co-design.




Abstract:Building and maintaining large AI fleets to efficiently support the fast-growing DL workloads is an active research topic for modern cloud infrastructure providers. Generating accurate benchmarks plays an essential role in the design and evaluation of rapidly evoloving software and hardware solutions in this area. Two fundamental challenges to make this process scalable are (i) workload representativeness and (ii) the ability to quickly incorporate changes to the fleet into the benchmarks. To overcome these issues, we propose Mystique, an accurate and scalable framework for production AI benchmark generation. It leverages the PyTorch execution graph (EG), a new feature that captures the runtime information of AI models at the granularity of operators, in a graph format, together with their metadata. By sourcing EG traces from the fleet, we can build AI benchmarks that are portable and representative. Mystique is scalable, with its lightweight data collection, in terms of runtime overhead and user instrumentation efforts. It is also adaptive, as the expressiveness and composability of EG format allows flexible user control over benchmark creation. We evaluate our methodology on several production AI workloads, and show that benchmarks generated with Mystique closely resemble original AI models, both in execution time and system-level metrics. We also showcase the portability of the generated benchmarks across platforms, and demonstrate several use cases enabled by the fine-grained composability of the execution graph.