Amazon Alexa AI




Abstract:We present CALICO, a method to fine-tune Large Language Models (LLMs) to localize conversational agent training data from one language to another. For slots (named entities), CALICO supports three operations: verbatim copy, literal translation, and localization, i.e. generating slot values more appropriate in the target language, such as city and airport names located in countries where the language is spoken. Furthermore, we design an iterative filtering mechanism to discard noisy generated samples, which we show boosts the performance of the downstream conversational agent. To prove the effectiveness of CALICO, we build and release a new human-localized (HL) version of the MultiATIS++ travel information test set in 8 languages. Compared to the original human-translated (HT) version of the test set, we show that our new HL version is more challenging. We also show that CALICO out-performs state-of-the-art LINGUIST (which relies on literal slot translation out of context) both on the HT case, where CALICO generates more accurate slot translations, and on the HL case, where CALICO generates localized slots which are closer to the HL test set.




Abstract:In the realm of spoken language understanding (SLU), numerous natural language understanding (NLU) methodologies have been adapted by supplying large language models (LLMs) with transcribed speech instead of conventional written text. In real-world scenarios, prior to input into an LLM, an automated speech recognition (ASR) system generates an output transcript hypothesis, where inherent errors can degrade subsequent SLU tasks. Here we introduce a method that utilizes the ASR system's lattice output instead of relying solely on the top hypothesis, aiming to encapsulate speech ambiguities and enhance SLU outcomes. Our in-context learning experiments, covering spoken question answering and intent classification, underline the LLM's resilience to noisy speech transcripts with the help of word confusion networks from lattices, bridging the SLU performance gap between using the top ASR hypothesis and an oracle upper bound. Additionally, we delve into the LLM's robustness to varying ASR performance conditions and scrutinize the aspects of in-context learning which prove the most influential.




Abstract:Pre-trained encoder-only and sequence-to-sequence (seq2seq) models each have advantages, however training both model types from scratch is computationally expensive. We explore recipes to improve pre-training efficiency by initializing one model from the other. (1) Extracting the encoder from a seq2seq model, we show it under-performs a Masked Language Modeling (MLM) encoder, particularly on sequence labeling tasks. Variations of masking during seq2seq training, reducing the decoder size, and continuing with a small amount of MLM training do not close the gap. (2) Conversely, using an encoder to warm-start seq2seq training, we show that by unfreezing the encoder partway through training, we can match task performance of a from-scratch seq2seq model. Overall, this two-stage approach is an efficient recipe to obtain both a multilingual encoder and a seq2seq model, matching the performance of training each model from scratch while reducing the total compute cost by 27%.




Abstract:Scaling up weakly-supervised datasets has shown to be highly effective in the image-text domain and has contributed to most of the recent state-of-the-art computer vision and multimodal neural networks. However, existing large-scale video-text datasets and mining techniques suffer from several limitations, such as the scarcity of aligned data, the lack of diversity in the data, and the difficulty of collecting aligned data. Currently popular video-text data mining approach via automatic speech recognition (ASR) used in HowTo100M provides low-quality captions that often do not refer to the video content. Other mining approaches do not provide proper language descriptions (video tags) and are biased toward short clips (alt text). In this work, we show how recent advances in image captioning allow us to pre-train high-quality video models without any parallel video-text data. We pre-train several video captioning models that are based on an OPT language model and a TimeSformer visual backbone. We fine-tune these networks on several video captioning datasets. First, we demonstrate that image captioning pseudolabels work better for pre-training than the existing HowTo100M ASR captions. Second, we show that pre-training on both images and videos produces a significantly better network (+4 CIDER on MSR-VTT) than pre-training on a single modality. Our methods are complementary to the existing pre-training or data mining approaches and can be used in a variety of settings. Given the efficacy of the pseudolabeling method, we are planning to publicly release the generated captions.
Abstract:Semantic parsing plays a key role in digital voice assistants such as Alexa, Siri, and Google Assistant by mapping natural language to structured meaning representations. When we want to improve the capabilities of a voice assistant by adding a new domain, the underlying semantic parsing model needs to be retrained using thousands of annotated examples from the new domain, which is time-consuming and expensive. In this work, we present an architecture to perform such domain adaptation automatically, with only a small amount of metadata about the new domain and without any new training data (zero-shot) or with very few examples (few-shot). We use a base seq2seq (sequence-to-sequence) architecture and augment it with a concept encoder that encodes intent and slot tags from the new domain. We also introduce a novel decoder-focused approach to pretrain seq2seq models to be concept aware using Wikidata and use it to help our model learn important concepts and perform well in low-resource settings. We report few-shot and zero-shot results for compositional semantic parsing on the TOPv2 dataset and show that our model outperforms prior approaches in few-shot settings for the TOPv2 and SNIPS datasets.




Abstract:A bottleneck to developing Semantic Parsing (SP) models is the need for a large volume of human-labeled training data. Given the complexity and cost of human annotation for SP, labeled data is often scarce, particularly in multilingual settings. Large Language Models (LLMs) excel at SP given only a few examples, however LLMs are unsuitable for runtime systems which require low latency. In this work, we propose CLASP, a simple method to improve low-resource SP for moderate-sized models: we generate synthetic data from AlexaTM 20B to augment the training set for a model 40x smaller (500M parameters). We evaluate on two datasets in low-resource settings: English PIZZA, containing either 348 or 16 real examples, and mTOP cross-lingual zero-shot, where training data is available only in English, and the model must generalize to four new languages. On both datasets, we show significant improvements over strong baseline methods.




Abstract:We present LINGUIST, a method for generating annotated data for Intent Classification and Slot Tagging (IC+ST), via fine-tuning AlexaTM 5B, a 5-billion-parameter multilingual sequence-to-sequence (seq2seq) model, on a flexible instruction prompt. In a 10-shot novel intent setting for the SNIPS dataset, LINGUIST surpasses state-of-the-art approaches (Back-Translation and Example Extrapolation) by a wide margin, showing absolute improvement for the target intents of +1.9 points on IC Recall and +2.5 points on ST F1 Score. In the zero-shot cross-lingual setting of the mATIS++ dataset, LINGUIST out-performs a strong baseline of Machine Translation with Slot Alignment by +4.14 points absolute on ST F1 Score across 6 languages, while matching performance on IC. Finally, we verify our results on an internal large-scale multilingual dataset for conversational agent IC+ST and show significant improvements over a baseline which uses Back-Translation, Paraphrasing and Slot Catalog Resampling. To our knowledge, we are the first to demonstrate instruction fine-tuning of a large-scale seq2seq model to control the outputs of multilingual intent- and slot-labeled data generation.




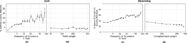
Abstract:In this work, we demonstrate that multilingual large-scale sequence-to-sequence (seq2seq) models, pre-trained on a mixture of denoising and Causal Language Modeling (CLM) tasks, are more efficient few-shot learners than decoder-only models on various tasks. In particular, we train a 20 billion parameter multilingual seq2seq model called Alexa Teacher Model (AlexaTM 20B) and show that it achieves state-of-the-art (SOTA) performance on 1-shot summarization tasks, outperforming a much larger 540B PaLM decoder model. AlexaTM 20B also achieves SOTA in 1-shot machine translation, especially for low-resource languages, across almost all language pairs supported by the model (Arabic, English, French, German, Hindi, Italian, Japanese, Marathi, Portuguese, Spanish, Tamil, and Telugu) on Flores-101 dataset. We also show in zero-shot setting, AlexaTM 20B outperforms GPT3 (175B) on SuperGLUE and SQuADv2 datasets and provides SOTA performance on multilingual tasks such as XNLI, XCOPA, Paws-X, and XWinograd. Overall, our results present a compelling case for seq2seq models as a powerful alternative to decoder-only models for Large-scale Language Model (LLM) training.




Abstract:We present results from a large-scale experiment on pretraining encoders with non-embedding parameter counts ranging from 700M to 9.3B, their subsequent distillation into smaller models ranging from 17M-170M parameters, and their application to the Natural Language Understanding (NLU) component of a virtual assistant system. Though we train using 70% spoken-form data, our teacher models perform comparably to XLM-R and mT5 when evaluated on the written-form Cross-lingual Natural Language Inference (XNLI) corpus. We perform a second stage of pretraining on our teacher models using in-domain data from our system, improving error rates by 3.86% relative for intent classification and 7.01% relative for slot filling. We find that even a 170M-parameter model distilled from our Stage 2 teacher model has 2.88% better intent classification and 7.69% better slot filling error rates when compared to the 2.3B-parameter teacher trained only on public data (Stage 1), emphasizing the importance of in-domain data for pretraining. When evaluated offline using labeled NLU data, our 17M-parameter Stage 2 distilled model outperforms both XLM-R Base (85M params) and DistillBERT (42M params) by 4.23% to 6.14%, respectively. Finally, we present results from a full virtual assistant experimentation platform, where we find that models trained using our pretraining and distillation pipeline outperform models distilled from 85M-parameter teachers by 3.74%-4.91% on an automatic measurement of full-system user dissatisfaction.




Abstract:Semantic parsing is an important NLP problem, particularly for voice assistants such as Alexa and Google Assistant. State-of-the-art (SOTA) semantic parsers are seq2seq architectures based on large language models that have been pretrained on vast amounts of text. To better leverage that pretraining, recent work has explored a reformulation of semantic parsing whereby the output sequences are themselves natural language sentences, but in a controlled fragment of natural language. This approach delivers strong results, particularly for few-shot semantic parsing, which is of key importance in practice and the focus of our paper. We push this line of work forward by introducing an automated methodology that delivers very significant additional improvements by utilizing modest amounts of unannotated data, which is typically easy to obtain. Our method is based on a novel synthesis of four techniques: joint training with auxiliary unsupervised tasks; constrained decoding; self-training; and paraphrasing. We show that this method delivers new SOTA few-shot performance on the Overnight dataset, particularly in very low-resource settings, and very compelling few-shot results on a new semantic parsing dataset.