Abstract:The use of discriminators to train or fine-tune generative models has proven to be a rather successful framework. A notable example is Generative Adversarial Networks (GANs) that minimize a loss incurred by training discriminators along with other paradigms that boost generative models via discriminators that satisfy weak learner constraints. More recently, even diffusion models have shown advantages with some kind of discriminator guidance. In this work, we extend a strong-duality result related to $f$-divergences which gives rise to a discriminator-guided recipe that allows us to \textit{refine} any generative model. We then show that the refined generative models provably improve generalization, compared to its non-refined counterpart. In particular, our analysis reveals that the gap in generalization is improved based on the Rademacher complexity of the discriminator set used for refinement. Our recipe subsumes a recently introduced score-based diffusion approach (Kim et al., 2022) that has shown great empirical success, however allows us to shed light on the generalization guarantees of this method by virtue of our analysis. Thus, our work provides a theoretical validation for existing work, suggests avenues for new algorithms, and contributes to our understanding of generalization in generative models at large.




Abstract:Classifier-free guidance (CFG) is a widely used technique for improving the perceptual quality of samples from conditional diffusion models. It operates by linearly combining conditional and unconditional score estimates using a guidance weight $\omega$. While a large, static weight can markedly improve visual results, this often comes at the cost of poorer distributional alignment. In order to better approximate the target conditional distribution, we instead learn guidance weights $\omega_{c,(s,t)}$, which are continuous functions of the conditioning $c$, the time $t$ from which we denoise, and the time $s$ towards which we denoise. We achieve this by minimizing the distributional mismatch between noised samples from the true conditional distribution and samples from the guided diffusion process. We extend our framework to reward guided sampling, enabling the model to target distributions tilted by a reward function $R(x_0,c)$, defined on clean data and a conditioning $c$. We demonstrate the effectiveness of our methodology on low-dimensional toy examples and high-dimensional image settings, where we observe improvements in Fr\'echet inception distance (FID) for image generation. In text-to-image applications, we observe that employing a reward function given by the CLIP score leads to guidance weights that improve image-prompt alignment.
Abstract:When do diffusion models reproduce their training data, and when are they able to generate samples beyond it? A practically relevant theoretical understanding of this interplay between memorization and generalization may significantly impact real-world deployments of diffusion models with respect to issues such as copyright infringement and data privacy. In this work, to disentangle the different factors that influence memorization and generalization in practical diffusion models, we introduce a scientific and mathematical "laboratory" for investigating these phenomena in diffusion models trained on fully synthetic or natural image-like structured data. Within this setting, we hypothesize that the memorization or generalization behavior of an underparameterized trained model is determined by the difference in training loss between an associated memorizing model and a generalizing model. To probe this hypothesis, we theoretically characterize a crossover point wherein the weighted training loss of a fully generalizing model becomes greater than that of an underparameterized memorizing model at a critical value of model (under)parameterization. We then demonstrate via carefully-designed experiments that the location of this crossover predicts a phase transition in diffusion models trained via gradient descent, validating our hypothesis. Ultimately, our theory enables us to analytically predict the model size at which memorization becomes predominant. Our work provides an analytically tractable and practically meaningful setting for future theoretical and empirical investigations. Code for our experiments is available at https://github.com/DruvPai/diffusion_mem_gen.
Abstract:We consider the problem of sampling distributions stemming from non-convex potentials with Unadjusted Langevin Algorithm (ULA). We prove the stability of the discrete-time ULA to drift approximations under the assumption that the potential is strongly convex at infinity. In many context, e.g. imaging inverse problems, potentials are non-convex and non-smooth. Proximal Stochastic Gradient Langevin Algorithm (PSGLA) is a popular algorithm to handle such potentials. It combines the forward-backward optimization algorithm with a ULA step. Our main stability result combined with properties of the Moreau envelope allows us to derive the first proof of convergence of the PSGLA for non-convex potentials. We empirically validate our methodology on synthetic data and in the context of imaging inverse problems. In particular, we observe that PSGLA exhibits faster convergence rates than Stochastic Gradient Langevin Algorithm for posterior sampling while preserving its restoration properties.
Abstract:Diffusion models generate high-quality synthetic data. They operate by defining a continuous-time forward process which gradually adds Gaussian noise to data until fully corrupted. The corresponding reverse process progressively "denoises" a Gaussian sample into a sample from the data distribution. However, generating high-quality outputs requires many discretization steps to obtain a faithful approximation of the reverse process. This is expensive and has motivated the development of many acceleration methods. We propose to accomplish sample generation by learning the posterior {\em distribution} of clean data samples given their noisy versions, instead of only the mean of this distribution. This allows us to sample from the probability transitions of the reverse process on a coarse time scale, significantly accelerating inference with minimal degradation of the quality of the output. This is accomplished by replacing the standard regression loss used to estimate conditional means with a scoring rule. We validate our method on image and robot trajectory generation, where we consistently outperform standard diffusion models at few discretization steps.




Abstract:Speculative sampling is a popular technique for accelerating inference in Large Language Models by generating candidate tokens using a fast draft model and accepting or rejecting them based on the target model's distribution. While speculative sampling was previously limited to discrete sequences, we extend it to diffusion models, which generate samples via continuous, vector-valued Markov chains. In this context, the target model is a high-quality but computationally expensive diffusion model. We propose various drafting strategies, including a simple and effective approach that does not require training a draft model and is applicable out of the box to any diffusion model. Our experiments demonstrate significant generation speedup on various diffusion models, halving the number of function evaluations, while generating exact samples from the target model.
Abstract:Wavelet-based segmentation approaches are widely used for texture segmentation purposes because of their ability to characterize different textures. In this paper, we assess the influence of the chosen wavelet and propose to use the recently introduced empirical wavelets. We show that the adaptability of the empirical wavelet permits to reach better results than classic wavelets. In order to focus only on the textural information, we also propose to perform a cartoon + texture decomposition step before applying the segmentation algorithm. The proposed method is tested on six classic benchmarks, based on several popular texture images.
Abstract:Mass transport problems arise in many areas of machine learning whereby one wants to compute a map transporting one distribution to another. Generative modeling techniques like Generative Adversarial Networks (GANs) and Denoising Diffusion Models (DDMs) have been successfully adapted to solve such transport problems, resulting in CycleGAN and Bridge Matching respectively. However, these methods do not approximate Optimal Transport (OT) maps, which are known to have desirable properties. Existing techniques approximating OT maps for high-dimensional data-rich problems, such as DDM-based Rectified Flow and Schr\"odinger Bridge procedures, require fully training a DDM-type model at each iteration, or use mini-batch techniques which can introduce significant errors. We propose a novel algorithm to compute the Schr\"odinger Bridge, a dynamic entropy-regularised version of OT, that eliminates the need to train multiple DDM-like models. This algorithm corresponds to a discretisation of a flow of path measures, which we call the Schr\"odinger Bridge Flow, whose only stationary point is the Schr\"odinger Bridge. We demonstrate the performance of our algorithm on a variety of unpaired data translation tasks.




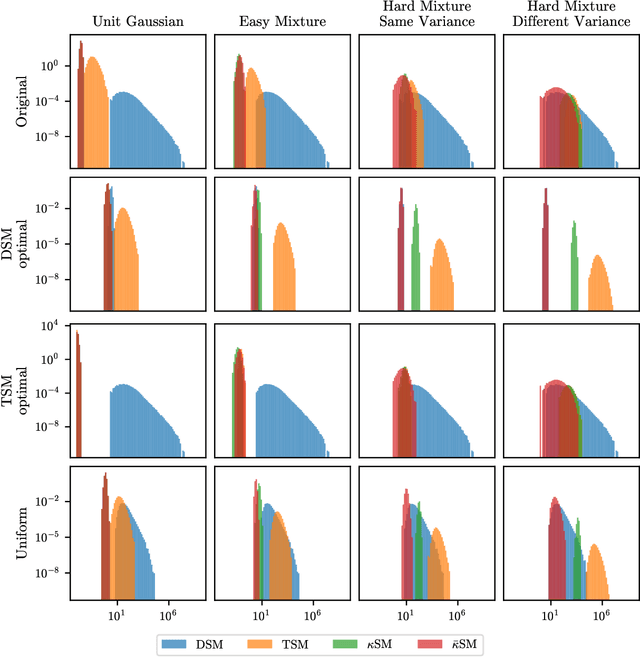
Abstract:Denoising Score Matching estimates the score of a noised version of a target distribution by minimizing a regression loss and is widely used to train the popular class of Denoising Diffusion Models. A well known limitation of Denoising Score Matching, however, is that it yields poor estimates of the score at low noise levels. This issue is particularly unfavourable for problems in the physical sciences and for Monte Carlo sampling tasks for which the score of the clean original target is known. Intuitively, estimating the score of a slightly noised version of the target should be a simple task in such cases. In this paper, we address this shortcoming and show that it is indeed possible to leverage knowledge of the target score. We present a Target Score Identity and corresponding Target Score Matching regression loss which allows us to obtain score estimates admitting favourable properties at low noise levels.




Abstract:Denoising diffusion models have become ubiquitous for generative modeling. The core idea is to transport the data distribution to a Gaussian by using a diffusion. Approximate samples from the data distribution are then obtained by estimating the time-reversal of this diffusion using score matching ideas. We follow here a similar strategy to sample from unnormalized probability densities and compute their normalizing constants. However, the time-reversed diffusion is here simulated by using an original iterative particle scheme relying on a novel score matching loss. Contrary to standard denoising diffusion models, the resulting Particle Denoising Diffusion Sampler (PDDS) provides asymptotically consistent estimates under mild assumptions. We demonstrate PDDS on multimodal and high dimensional sampling tasks.