



Abstract:A loop invariant is a property of a loop that remains true before and after each execution of the loop. The identification of loop invariants is a critical step to support automated program safety assessment. Recent advancements in Large Language Models (LLMs) have demonstrated potential in diverse software engineering (SE) and formal verification tasks. However, we are not aware of the performance of LLMs to infer loop invariants. We report an empirical study of both open-source and closed-source LLMs of varying sizes to assess their proficiency in inferring inductive loop invariants for programs and in fixing incorrect invariants. Our findings reveal that while LLMs exhibit some utility in inferring and repairing loop invariants, their performance is substantially enhanced when supplemented with auxiliary information such as domain knowledge and illustrative examples. LLMs achieve a maximum success rate of 78\% in generating, but are limited to 16\% in repairing the invariant.




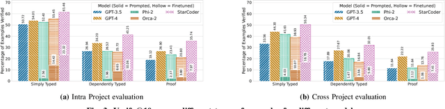
Abstract:Proof-oriented programs mix computational content with proofs of program correctness. However, the human effort involved in programming and proving is still substantial, despite the use of Satisfiability Modulo Theories (SMT) solvers to automate proofs in languages such as F*. Seeking to spur research on using AI to automate the construction of proof-oriented programs, we curate a dataset of 600K lines of open-source F* programs and proofs, including software used in production systems ranging from Windows and Linux, to Python and Firefox. Our dataset includes around 32K top-level F* definitions, each representing a type-directed program and proof synthesis problem -- producing a definition given a formal specification expressed as an F* type. We provide a program-fragment checker that queries F* to check the correctness of candidate solutions. We believe this is the largest corpus of SMT-assisted program proofs coupled with a reproducible program-fragment checker. Grounded in this dataset, we investigate the use of AI to synthesize programs and their proofs in F*, with promising results. Our main finding in that the performance of fine-tuned smaller language models (such as Phi-2 or StarCoder) compare favorably with large language models (such as GPT-4), at a much lower computational cost. We also identify various type-based retrieval augmentation techniques and find that they boost performance significantly. With detailed error analysis and case studies, we identify potential strengths and weaknesses of models and techniques and suggest directions for future improvements.




Abstract:Large Language models (LLMs) are finding wide use in software engineering practice. These models are extremely data-hungry, and are largely trained on open-source (OSS) code distributed with permissive licenses. In terms of actual use however, a great deal of software development still occurs in the for-profit/proprietary sphere, where the code under development is not, and never has been, in the public domain; thus, many developers, do their work, and use LLMs, in settings where the models may not be as familiar with the code under development. In such settings, do LLMs work as well as they do for OSS code? If not, what are the differences? When performance differs, what are the possible causes, and are there work-arounds? In this paper, we examine this issue using proprietary, closed-source software data from Microsoft, where most proprietary code is in C# and C++. We find that performance for C# changes little from OSS --> proprietary code, but does significantly reduce for C++; we find that this difference is attributable to differences in identifiers. We also find that some performance degradation, in some cases, can be ameliorated efficiently by in-context learning.
Abstract:Loop invariants are fundamental to reasoning about programs with loops. They establish properties about a given loop's behavior. When they additionally are inductive, they become useful for the task of formal verification that seeks to establish strong mathematical guarantees about program's runtime behavior. The inductiveness ensures that the invariants can be checked locally without consulting the entire program, thus are indispensable artifacts in a formal proof of correctness. Finding inductive loop invariants is an undecidable problem, and despite a long history of research towards practical solutions, it remains far from a solved problem. This paper investigates the capabilities of the Large Language Models (LLMs) in offering a new solution towards this old, yet important problem. To that end, we first curate a dataset of verification problems on programs with loops. Next, we design a prompt for exploiting LLMs, obtaining inductive loop invariants, that are checked for correctness using sound symbolic tools. Finally, we explore the effectiveness of using an efficient combination of a symbolic tool and an LLM on our dataset and compare it against a purely symbolic baseline. Our results demonstrate that LLMs can help improve the state-of-the-art in automated program verification.
Abstract:Synthesizing inductive loop invariants is fundamental to automating program verification. In this work, we observe that Large Language Models (such as gpt-3.5 or gpt-4) are capable of synthesizing loop invariants for a class of programs in a 0-shot setting, yet require several samples to generate the correct invariants. This can lead to a large number of calls to a program verifier to establish an invariant. To address this issue, we propose a {\it re-ranking} approach for the generated results of LLMs. We have designed a ranker that can distinguish between correct inductive invariants and incorrect attempts based on the problem definition. The ranker is optimized as a contrastive ranker. Experimental results demonstrate that this re-ranking mechanism significantly improves the ranking of correct invariants among the generated candidates, leading to a notable reduction in the number of calls to a verifier.




Abstract:Deep learning vulnerability detection has shown promising results in recent years. However, an important challenge that still blocks it from being very useful in practice is that the model is not robust under perturbation and it cannot generalize well over the out-of-distribution (OOD) data, e.g., applying a trained model to unseen projects in real world. We hypothesize that this is because the model learned non-robust features, e.g., variable names, that have spurious correlations with labels. When the perturbed and OOD datasets no longer have the same spurious features, the model prediction fails. To address the challenge, in this paper, we introduced causality into deep learning vulnerability detection. Our approach CausalVul consists of two phases. First, we designed novel perturbations to discover spurious features that the model may use to make predictions. Second, we applied the causal learning algorithms, specifically, do-calculus, on top of existing deep learning models to systematically remove the use of spurious features and thus promote causal based prediction. Our results show that CausalVul consistently improved the model accuracy, robustness and OOD performance for all the state-of-the-art models and datasets we experimented. To the best of our knowledge, this is the first work that introduces do calculus based causal learning to software engineering models and shows it's indeed useful for improving the model accuracy, robustness and generalization. Our replication package is located at https://figshare.com/s/0ffda320dcb96c249ef2.
Abstract:Informal natural language that describes code functionality, such as code comments or function documentation, may contain substantial information about a programs intent. However, there is typically no guarantee that a programs implementation and natural language documentation are aligned. In the case of a conflict, leveraging information in code-adjacent natural language has the potential to enhance fault localization, debugging, and code trustworthiness. In practice, however, this information is often underutilized due to the inherent ambiguity of natural language which makes natural language intent challenging to check programmatically. The "emergent abilities" of Large Language Models (LLMs) have the potential to facilitate the translation of natural language intent to programmatically checkable assertions. However, it is unclear if LLMs can correctly translate informal natural language specifications into formal specifications that match programmer intent. Additionally, it is unclear if such translation could be useful in practice. In this paper, we describe LLM4nl2post, the problem leveraging LLMs for transforming informal natural language to formal method postconditions, expressed as program assertions. We introduce and validate metrics to measure and compare different LLM4nl2post approaches, using the correctness and discriminative power of generated postconditions. We then perform qualitative and quantitative methods to assess the quality of LLM4nl2post postconditions, finding that they are generally correct and able to discriminate incorrect code. Finally, we find that LLM4nl2post via LLMs has the potential to be helpful in practice; specifications generated from natural language were able to catch 70 real-world historical bugs from Defects4J.




Abstract:Developers expend a significant amount of time in editing code for a variety of reasons such as bug fixing or adding new features. Designing effective methods to predict code edits has been an active yet challenging area of research due to the diversity of code edits and the difficulty of capturing the developer intent. In this work, we address these challenges by endowing pre-trained large language models (LLMs) of code with the knowledge of prior, relevant edits. The generative capability of the LLMs helps address the diversity in code changes and conditioning code generation on prior edits helps capture the latent developer intent. We evaluate two well-known LLMs, Codex and CodeT5, in zero-shot and fine-tuning settings respectively. In our experiments with two datasets, the knowledge of prior edits boosts the performance of the LLMs significantly and enables them to generate 29% and 54% more correctly edited code in top-1 suggestions relative to the current state-of-the-art symbolic and neural approaches, respectively.




Abstract:This paper introduces a novel code-to-code search technique that enhances the performance of Large Language Models (LLMs) by including both static and dynamic features as well as utilizing both similar and dissimilar examples during training. We present the first-ever code search method that encodes dynamic runtime information during training without the need to execute either the corpus under search or the search query at inference time and the first code search technique that trains on both positive and negative reference samples. To validate the efficacy of our approach, we perform a set of studies demonstrating the capability of enhanced LLMs to perform cross-language code-to-code search. Our evaluation demonstrates that the effectiveness of our approach is consistent across various model architectures and programming languages. We outperform the state-of-the-art cross-language search tool by up to 44.7\%. Moreover, our ablation studies reveal that even a single positive and negative reference sample in the training process results in substantial performance improvements demonstrating both similar and dissimilar references are important parts of code search. Importantly, we show that enhanced well-crafted, fine-tuned models consistently outperform enhanced larger modern LLMs without fine tuning, even when enhancing the largest available LLMs highlighting the importance for open-sourced models. To ensure the reproducibility and extensibility of our research, we present an open-sourced implementation of our tool and training procedures called Cosco.




Abstract:Large language models (LLMs), such as OpenAI's Codex, have demonstrated their potential to generate code from natural language descriptions across a wide range of programming tasks. Several benchmarks have recently emerged to evaluate the ability of LLMs to generate functionally correct code from natural language intent with respect to a set of hidden test cases. This has enabled the research community to identify significant and reproducible advancements in LLM capabilities. However, there is currently a lack of benchmark datasets for assessing the ability of LLMs to generate functionally correct code edits based on natural language descriptions of intended changes. This paper aims to address this gap by motivating the problem NL2Fix of translating natural language descriptions of code changes (namely bug fixes described in Issue reports in repositories) into correct code fixes. To this end, we introduce Defects4J-NL2Fix, a dataset of 283 Java programs from the popular Defects4J dataset augmented with high-level descriptions of bug fixes, and empirically evaluate the performance of several state-of-the-art LLMs for the this task. Results show that these LLMS together are capable of generating plausible fixes for 64.6% of the bugs, and the best LLM-based technique can achieve up to 21.20% top-1 and 35.68% top-5 accuracy on this benchmark.