



Abstract:Theano is a Python library that allows to define, optimize, and evaluate mathematical expressions involving multi-dimensional arrays efficiently. Since its introduction, it has been one of the most used CPU and GPU mathematical compilers - especially in the machine learning community - and has shown steady performance improvements. Theano is being actively and continuously developed since 2008, multiple frameworks have been built on top of it and it has been used to produce many state-of-the-art machine learning models. The present article is structured as follows. Section I provides an overview of the Theano software and its community. Section II presents the principal features of Theano and how to use them, and compares them with other similar projects. Section III focuses on recently-introduced functionalities and improvements. Section IV compares the performance of Theano against Torch7 and TensorFlow on several machine learning models. Section V discusses current limitations of Theano and potential ways of improving it.



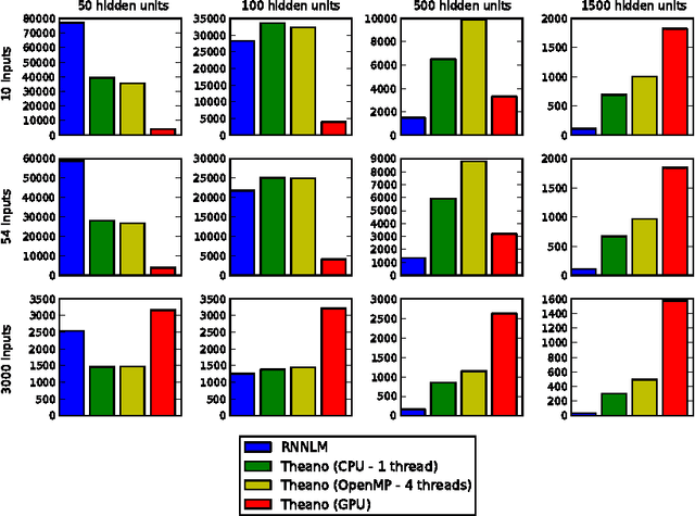
Abstract:Theano is a linear algebra compiler that optimizes a user's symbolically-specified mathematical computations to produce efficient low-level implementations. In this paper, we present new features and efficiency improvements to Theano, and benchmarks demonstrating Theano's performance relative to Torch7, a recently introduced machine learning library, and to RNNLM, a C++ library targeted at recurrent neural networks.