Abstract:Ensuring faithful interpretability in large language models is imperative for trustworthy and reliable AI. A key obstacle is self-repair, a phenomenon where networks compensate for reduced signal in one component by amplifying others, masking the true importance of the ablated component. While prior work attributes self-repair to layer normalization and back-up components that compensate for ablated components, we identify a novel form occurring within the attention mechanism, where softmax redistribution conceals the influence of important attention scores. This leads traditional ablation and gradient-based methods to underestimate the significance of all components contributing to these attention scores. We introduce Gradient Interaction Modifications (GIM), a technique that accounts for self-repair during backpropagation. Extensive experiments across multiple large language models (Gemma 2B/9B, LLAMA 1B/3B/8B, Qwen 1.5B/3B) and diverse tasks demonstrate that GIM significantly improves faithfulness over existing circuit identification and feature attribution methods. Our work is a significant step toward better understanding the inner mechanisms of LLMs, which is crucial for improving them and ensuring their safety. Our code is available at https://github.com/JoakimEdin/gim.

Abstract:There are now a multitude of AI-scribing solutions for healthcare promising the utilization of large language models for ambient documentation. However, these AI scribes still rely on one-shot, or few-shot prompts for generating notes after the consultation has ended, employing little to no reasoning. This risks long notes with an increase in hallucinations, misrepresentation of the intent of the clinician, and reliance on the proofreading of the clinician to catch errors. A dangerous combination for patient safety if vigilance is compromised by workload and fatigue. In this paper, we introduce a method for extracting salient clinical information in real-time alongside the healthcare consultation, denoted Facts, and use that information recursively to generate the final note. The FactsR method results in more accurate and concise notes by placing the clinician-in-the-loop of note generation, while opening up new use cases within real-time decision support.




Abstract:Deep neural network predictions are notoriously difficult to interpret. Feature attribution methods aim to explain these predictions by identifying the contribution of each input feature. Faithfulness, often evaluated using the area over the perturbation curve (AOPC), reflects feature attributions' accuracy in describing the internal mechanisms of deep neural networks. However, many studies rely on AOPC to compare faithfulness across different models, which we show can lead to false conclusions about models' faithfulness. Specifically, we find that AOPC is sensitive to variations in the model, resulting in unreliable cross-model comparisons. Moreover, AOPC scores are difficult to interpret in isolation without knowing the model-specific lower and upper limits. To address these issues, we propose a normalization approach, Normalized AOPC (NAOPC), enabling consistent cross-model evaluations and more meaningful interpretation of individual scores. Our experiments demonstrate that this normalization can radically change AOPC results, questioning the conclusions of earlier studies and offering a more robust framework for assessing feature attribution faithfulness.
Abstract:Electronic healthcare records are vital for patient safety as they document conditions, plans, and procedures in both free text and medical codes. Language models have significantly enhanced the processing of such records, streamlining workflows and reducing manual data entry, thereby saving healthcare providers significant resources. However, the black-box nature of these models often leaves healthcare professionals hesitant to trust them. State-of-the-art explainability methods increase model transparency but rely on human-annotated evidence spans, which are costly. In this study, we propose an approach to produce plausible and faithful explanations without needing such annotations. We demonstrate on the automated medical coding task that adversarial robustness training improves explanation plausibility and introduce AttInGrad, a new explanation method superior to previous ones. By combining both contributions in a fully unsupervised setup, we produce explanations of comparable quality, or better, to that of a supervised approach. We release our code and model weights.




Abstract:Medical coding is the task of assigning medical codes to clinical free-text documentation. Healthcare professionals manually assign such codes to track patient diagnoses and treatments. Automated medical coding can considerably alleviate this administrative burden. In this paper, we reproduce, compare, and analyze state-of-the-art automated medical coding machine learning models. We show that several models underperform due to weak configurations, poorly sampled train-test splits, and insufficient evaluation. In previous work, the macro F1 score has been calculated sub-optimally, and our correction doubles it. We contribute a revised model comparison using stratified sampling and identical experimental setups, including hyperparameters and decision boundary tuning. We analyze prediction errors to validate and falsify assumptions of previous works. The analysis confirms that all models struggle with rare codes, while long documents only have a negligible impact. Finally, we present the first comprehensive results on the newly released MIMIC-IV dataset using the reproduced models. We release our code, model parameters, and new MIMIC-III and MIMIC-IV training and evaluation pipelines to accommodate fair future comparisons.




Abstract:Although supervised deep learning has revolutionized speech and audio processing, it has necessitated the building of specialist models for individual tasks and application scenarios. It is likewise difficult to apply this to dialects and languages for which only limited labeled data is available. Self-supervised representation learning methods promise a single universal model that would benefit a wide variety of tasks and domains. Such methods have shown success in natural language processing and computer vision domains, achieving new levels of performance while reducing the number of labels required for many downstream scenarios. Speech representation learning is experiencing similar progress in three main categories: generative, contrastive, and predictive methods. Other approaches rely on multi-modal data for pre-training, mixing text or visual data streams with speech. Although self-supervised speech representation is still a nascent research area, it is closely related to acoustic word embedding and learning with zero lexical resources, both of which have seen active research for many years. This review presents approaches for self-supervised speech representation learning and their connection to other research areas. Since many current methods focus solely on automatic speech recognition as a downstream task, we review recent efforts on benchmarking learned representations to extend the application beyond speech recognition.




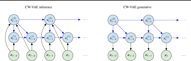
Abstract:Stochastic latent variable models (LVMs) achieve state-of-the-art performance on natural image generation but are still inferior to deterministic models on speech. In this paper, we develop a speech benchmark of popular temporal LVMs and compare them against state-of-the-art deterministic models. We report the likelihood, which is a much used metric in the image domain, but rarely, or incomparably, reported for speech models. To assess the quality of the learned representations, we also compare their usefulness for phoneme recognition. Finally, we adapt the Clockwork VAE, a state-of-the-art temporal LVM for video generation, to the speech domain. Despite being autoregressive only in latent space, we find that the Clockwork VAE can outperform previous LVMs and reduce the gap to deterministic models by using a hierarchy of latent variables.




Abstract:We present simple methods for out-of-distribution detection using a trained generative model. These techniques, based on classical statistical tests, are model-agnostic in the sense that they can be applied to any differentiable generative model. The idea is to combine a classical parametric test (Rao's score test) with the recently introduced typicality test. These two test statistics are both theoretically well-founded and exploit different sources of information based on the likelihood for the typicality test and its gradient for the score test. We show that combining them using Fisher's method overall leads to a more accurate out-of-distribution test. We also discuss the benefits of casting out-of-distribution detection as a statistical testing problem, noting in particular that false positive rate control can be valuable for practical out-of-distribution detection. Despite their simplicity and generality, these methods can be competitive with model-specific out-of-distribution detection algorithms without any assumptions on the out-distribution.




Abstract:Unsupervised representation learning for speech processing has matured greatly in the last few years. Work in computer vision and natural language processing has paved the way, but speech data offers unique challenges. As a result, methods from other domains rarely translate directly. We review the development of unsupervised representation learning for speech over the last decade. We identify two primary model categories: self-supervised methods and probabilistic latent variable models. We describe the models and develop a comprehensive taxonomy. Finally, we discuss and compare models from the two categories.




Abstract:Spoken language understanding (SLU) tasks are usually solved by first transcribing an utterance with automatic speech recognition (ASR) and then feeding the output to a text-based model. Recent advances in self-supervised representation learning for speech data have focused on improving the ASR component. We investigate whether representation learning for speech has matured enough to replace ASR in SLU. We compare learned speech features from wav2vec 2.0, state-of-the-art ASR transcripts, and the ground truth text as input for a novel speech-based named entity recognition task, a cardiac arrest detection task on real-world emergency calls and two existing SLU benchmarks. We show that learned speech features are superior to ASR transcripts on three classification tasks. For machine translation, ASR transcripts are still the better choice. We highlight the intrinsic robustness of wav2vec 2.0 representations to out-of-vocabulary words as key to better performance.