



Abstract:Recurrent neural networks have gained widespread use in modeling sequence data across various domains. While many successful recurrent architectures employ a notion of gating, the exact mechanism that enables such remarkable performance is not well understood. We develop a theory for signal propagation in recurrent networks after random initialization using a combination of mean field theory and random matrix theory. To simplify our discussion, we introduce a new RNN cell with a simple gating mechanism that we call the minimalRNN and compare it with vanilla RNNs. Our theory allows us to define a maximum timescale over which RNNs can remember an input. We show that this theory predicts trainability for both recurrent architectures. We show that gated recurrent networks feature a much broader, more robust, trainable region than vanilla RNNs, which corroborates recent experimental findings. Finally, we develop a closed-form critical initialization scheme that achieves dynamical isometry in both vanilla RNNs and minimalRNNs. We show that this results in significantly improvement in training dynamics. Finally, we demonstrate that the minimalRNN achieves comparable performance to its more complex counterparts, such as LSTMs or GRUs, on a language modeling task.




Abstract:In recent years, state-of-the-art methods in computer vision have utilized increasingly deep convolutional neural network architectures (CNNs), with some of the most successful models employing hundreds or even thousands of layers. A variety of pathologies such as vanishing/exploding gradients make training such deep networks challenging. While residual connections and batch normalization do enable training at these depths, it has remained unclear whether such specialized architecture designs are truly necessary to train deep CNNs. In this work, we demonstrate that it is possible to train vanilla CNNs with ten thousand layers or more simply by using an appropriate initialization scheme. We derive this initialization scheme theoretically by developing a mean field theory for signal propagation and by characterizing the conditions for dynamical isometry, the equilibration of singular values of the input-output Jacobian matrix. These conditions require that the convolution operator be an orthogonal transformation in the sense that it is norm-preserving. We present an algorithm for generating such random initial orthogonal convolution kernels and demonstrate empirically that they enable efficient training of extremely deep architectures.




Abstract:In practice it is often found that large over-parameterized neural networks generalize better than their smaller counterparts, an observation that appears to conflict with classical notions of function complexity, which typically favor smaller models. In this work, we investigate this tension between complexity and generalization through an extensive empirical exploration of two natural metrics of complexity related to sensitivity to input perturbations. Our experiments survey thousands of models with various fully-connected architectures, optimizers, and other hyper-parameters, as well as four different image classification datasets. We find that trained neural networks are more robust to input perturbations in the vicinity of the training data manifold, as measured by the norm of the input-output Jacobian of the network, and that it correlates well with generalization. We further establish that factors associated with poor generalization $-$ such as full-batch training or using random labels $-$ correspond to lower robustness, while factors associated with good generalization $-$ such as data augmentation and ReLU non-linearities $-$ give rise to more robust functions. Finally, we demonstrate how the input-output Jacobian norm can be predictive of generalization at the level of individual test points.




Abstract:It has long been known that a single-layer fully-connected neural network with an i.i.d. prior over its parameters is equivalent to a Gaussian process (GP), in the limit of infinite network width. This correspondence enables exact Bayesian inference for infinite width neural networks on regression tasks by means of evaluating the corresponding GP. Recently, kernel functions which mimic multi-layer random neural networks have been developed, but only outside of a Bayesian framework. As such, previous work has not identified that these kernels can be used as covariance functions for GPs and allow fully Bayesian prediction with a deep neural network. In this work, we derive the exact equivalence between infinitely wide deep networks and GPs. We further develop a computationally efficient pipeline to compute the covariance function for these GPs. We then use the resulting GPs to perform Bayesian inference for wide deep neural networks on MNIST and CIFAR-10. We observe that trained neural network accuracy approaches that of the corresponding GP with increasing layer width, and that the GP uncertainty is strongly correlated with trained network prediction error. We further find that test performance increases as finite-width trained networks are made wider and more similar to a GP, and thus that GP predictions typically outperform those of finite-width networks. Finally we connect the performance of these GPs to the recent theory of signal propagation in random neural networks.




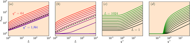
Abstract:Recent work has shown that tight concentration of the entire spectrum of singular values of a deep network's input-output Jacobian around one at initialization can speed up learning by orders of magnitude. Therefore, to guide important design choices, it is important to build a full theoretical understanding of the spectra of Jacobians at initialization. To this end, we leverage powerful tools from free probability theory to provide a detailed analytic understanding of how a deep network's Jacobian spectrum depends on various hyperparameters including the nonlinearity, the weight and bias distributions, and the depth. For a variety of nonlinearities, our work reveals the emergence of new universal limiting spectral distributions that remain concentrated around one even as the depth goes to infinity.




Abstract:Many important problems are characterized by the eigenvalues of a large matrix. For example, the difficulty of many optimization problems, such as those arising from the fitting of large models in statistics and machine learning, can be investigated via the spectrum of the Hessian of the empirical loss function. Network data can be understood via the eigenstructure of a graph Laplacian matrix using spectral graph theory. Quantum simulations and other many-body problems are often characterized via the eigenvalues of the solution space, as are various dynamic systems. However, naive eigenvalue estimation is computationally expensive even when the matrix can be represented; in many of these situations the matrix is so large as to only be available implicitly via products with vectors. Even worse, one may only have noisy estimates of such matrix vector products. In this work, we combine several different techniques for randomized estimation and show that it is possible to construct unbiased estimators to answer a broad class of questions about the spectra of such implicit matrices, even in the presence of noise. We validate these methods on large-scale problems in which graph theory and random matrix theory provide ground truth.




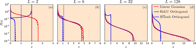
Abstract:It is well known that the initialization of weights in deep neural networks can have a dramatic impact on learning speed. For example, ensuring the mean squared singular value of a network's input-output Jacobian is $O(1)$ is essential for avoiding the exponential vanishing or explosion of gradients. The stronger condition that all singular values of the Jacobian concentrate near $1$ is a property known as dynamical isometry. For deep linear networks, dynamical isometry can be achieved through orthogonal weight initialization and has been shown to dramatically speed up learning; however, it has remained unclear how to extend these results to the nonlinear setting. We address this question by employing powerful tools from free probability theory to compute analytically the entire singular value distribution of a deep network's input-output Jacobian. We explore the dependence of the singular value distribution on the depth of the network, the weight initialization, and the choice of nonlinearity. Intriguingly, we find that ReLU networks are incapable of dynamical isometry. On the other hand, sigmoidal networks can achieve isometry, but only with orthogonal weight initialization. Moreover, we demonstrate empirically that deep nonlinear networks achieving dynamical isometry learn orders of magnitude faster than networks that do not. Indeed, we show that properly-initialized deep sigmoidal networks consistently outperform deep ReLU networks. Overall, our analysis reveals that controlling the entire distribution of Jacobian singular values is an important design consideration in deep learning.




Abstract:A number of recent papers have provided evidence that practical design questions about neural networks may be tackled theoretically by studying the behavior of random networks. However, until now the tools available for analyzing random neural networks have been relatively ad-hoc. In this work, we show that the distribution of pre-activations in random neural networks can be exactly mapped onto lattice models in statistical physics. We argue that several previous investigations of stochastic networks actually studied a particular factorial approximation to the full lattice model. For random linear networks and random rectified linear networks we show that the corresponding lattice models in the wide network limit may be systematically approximated by a Gaussian distribution with covariance between the layers of the network. In each case, the approximate distribution can be diagonalized by Fourier transformation. We show that this approximation accurately describes the results of numerical simulations of wide random neural networks. Finally, we demonstrate that in each case the large scale behavior of the random networks can be approximated by an effective field theory.