MARACAS
Abstract:Sionna is an open-source, GPU-accelerated library that, as of version 0.14, incorporates a ray tracer for simulating radio wave propagation. A unique feature of Sionna RT is differentiability, enabling the calculation of gradients for the channel impulse responses (CIRs), radio maps, and other related metrics with respect to system and environmental parameters, such as material properties, antenna patterns, and array geometries. The release of Sionna 1.0 provides a complete overhaul of the ray tracer, significantly improving its speed, memory efficiency, and extensibility. This document details the algorithms employed by Sionna RT to simulate radio wave propagation efficiently, while also addressing their current limitations. Given that the computation of CIRs and radio maps requires distinct algorithms, these are detailed in separate sections. For CIRs, Sionna RT integrates shooting and bouncing of rays (SBR) with the image method and uses a hashing-based mechanism to efficiently eliminate duplicate paths. Radio maps are computed using a purely SBR-based approach.
Abstract:We detail the steps required to deploy a multi-user multiple-input multiple-output (MU-MIMO) neural receiver (NRX) in an actual cellular communication system. This raises several exciting research challenges, including the need for real-time inference and compatibility with the 5G NR standard. As the network configuration in a practical setup can change dynamically within milliseconds, we propose an adaptive NRX architecture capable of supporting dynamic modulation and coding scheme (MCS) configurations without the need for any re-training and without additional inference cost. We optimize the latency of the neural network (NN) architecture to achieve inference times of less than 1ms on an NVIDIA A100 GPU using the TensorRT inference library. These latency constraints effectively limit the size of the NN and we quantify the resulting signal-to-noise ratio (SNR) degradation as less than 0.7 dB when compared to a preliminary non-real-time NRX architecture. Finally, we explore the potential for site-specific adaptation of the receiver by investigating the required size of the training dataset and the number of fine-tuning iterations to optimize the NRX for specific radio environments using a ray tracing-based channel model. The resulting NRX is ready for deployment in a real-time 5G NR system and the source code including the TensorRT experiments is available online.




Abstract:Embodying the principle of simulation intelligence, digital twin (DT) systems construct and maintain a high-fidelity virtual model of a physical system. This paper focuses on ray tracing (RT), which is widely seen as an enabling technology for DTs of the radio access network (RAN) segment of next-generation disaggregated wireless systems. RT makes it possible to simulate channel conditions, enabling data augmentation and prediction-based transmission. However, the effectiveness of RT hinges on the adaptation of the electromagnetic properties assumed by the RT to actual channel conditions, a process known as calibration. The main challenge of RT calibration is the fact that small discrepancies in the geometric model fed to the RT software hinder the accuracy of the predicted phases of the simulated propagation paths. Existing solutions to this problem either rely on the channel power profile, hence disregarding phase information, or they operate on the channel responses by assuming the simulated phases to be sufficiently accurate for calibration. This paper proposes a novel channel response-based scheme that, unlike the state of the art, estimates and compensates for the phase errors in the RT-generated channel responses. The proposed approach builds on the variational expectation maximization algorithm with a flexible choice of the prior phase-error distribution that bridges between a deterministic model with no phase errors and a stochastic model with uniform phase errors. The algorithm is computationally efficient, and is demonstrated, by leveraging the open-source differentiable RT software available within the Sionna library, to outperform existing methods in terms of the accuracy of RT predictions.




Abstract:Ray tracing (RT) is instrumental in 6G research in order to generate spatially-consistent and environment-specific channel impulse responses (CIRs). While acquiring accurate scene geometries is now relatively straightforward, determining material characteristics requires precise calibration using channel measurements. We therefore introduce a novel gradient-based calibration method, complemented by differentiable parametrizations of material properties, scattering and antenna patterns. Our method seamlessly integrates with differentiable ray tracers that enable the computation of derivatives of CIRs with respect to these parameters. Essentially, we approach field computation as a large computational graph wherein parameters are trainable akin to weights of a neural network (NN). We have validated our method using both synthetic data and real-world indoor channel measurements, employing a distributed multiple-input multiple-output (MIMO) channel sounder.




Abstract:Sionna is a GPU-accelerated open-source library for link-level simulations based on TensorFlow. Its latest release (v0.14) integrates a differentiable ray tracer (RT) for the simulation of radio wave propagation. This unique feature allows for the computation of gradients of the channel impulse response and other related quantities with respect to many system and environment parameters, such as material properties, antenna patterns, array geometries, as well as transmitter and receiver orientations and positions. In this paper, we outline the key components of Sionna RT and showcase example applications such as learning radio materials and optimizing transmitter orientations by gradient descent. While classic ray tracing is a crucial tool for 6G research topics like reconfigurable intelligent surfaces, integrated sensing and communications, as well as user localization, differentiable ray tracing is a key enabler for many novel and exciting research directions, for example, digital twins.




Abstract:Iterative detection and decoding (IDD) is known to achieve near-capacity performance in multi-antenna wireless systems. We propose deep-unfolded interleaved detection and decoding (DUIDD), a new paradigm that reduces the complexity of IDD while achieving even lower error rates. DUIDD interleaves the inner stages of the data detector and channel decoder, which expedites convergence and reduces complexity. Furthermore, DUIDD applies deep unfolding to automatically optimize algorithmic hyperparameters, soft-information exchange, message damping, and state forwarding. We demonstrate the efficacy of DUIDD using NVIDIA's Sionna link-level simulator in a 5G-near multi-user MIMO-OFDM wireless system with a novel low-complexity soft-input soft-output data detector, an optimized low-density parity-check decoder, and channel vectors from a commercial ray-tracer. Our results show that DUIDD outperforms classical IDD both in terms of block error rate and computational complexity.




Abstract:Localization services for wireless devices play an increasingly important role and a plethora of emerging services and applications already rely on precise position information. Widely used on-device positioning methods, such as the global positioning system, enable accurate outdoor positioning and provide the users with full control over what services are allowed to access location information. To provide accurate positioning indoors or in cluttered urban scenarios without line-of-sight satellite connectivity, powerful off-device positioning systems, which process channel state information (CSI) with deep neural networks, have emerged recently. Such off-device positioning systems inherently link a user's data transmission with its localization, since accurate CSI measurements are necessary for reliable wireless communication -- this not only prevents the users from controlling who can access this information but also enables virtually everyone in the device's range to estimate its location, resulting in serious privacy and security concerns. We propose on-device attacks against off-device wireless positioning systems in multi-antenna orthogonal frequency-division multiplexing systems while minimizing the impact on quality-of-service, and we demonstrate their efficacy using measured datasets for outdoor and indoor scenarios. We also investigate defenses to counter such attack mechanisms, and we discuss the limitations and implications on protecting location privacy in future wireless communication systems.




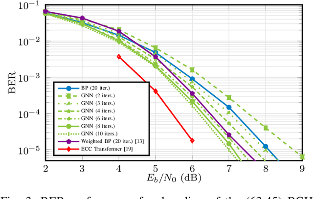
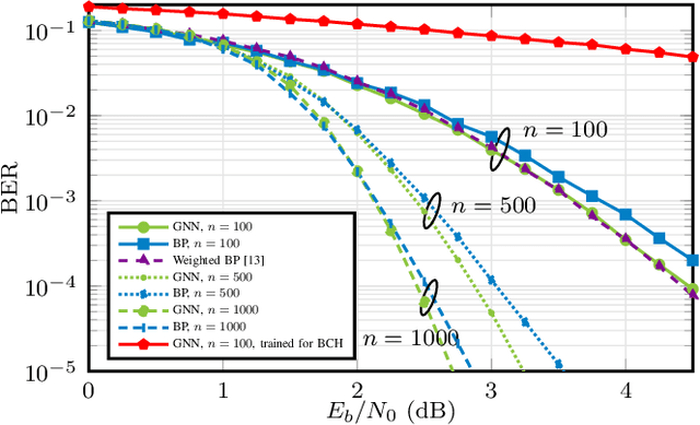
Abstract:In this work, we propose a fully differentiable graph neural network (GNN)-based architecture for channel decoding and showcase competitive decoding performance for various coding schemes, such as low-density parity-check (LDPC) and BCH codes. The idea is to let a neural network (NN) learn a generalized message passing algorithm over a given graph that represents the forward error correction (FEC) code structure by replacing node and edge message updates with trainable functions. Contrary to many other deep learning-based decoding approaches, the proposed solution enjoys scalability to arbitrary block lengths and the training is not limited by the curse of dimensionality. We benchmark our proposed decoder against state-of-the-art in conventional channel decoding as well as against recent deep learning-based results. For the (63,45) BCH code, our solution outperforms weighted belief propagation (BP) decoding by approximately 0.4 dB with significantly less decoding iterations and even for 5G NR LDPC codes, we observe a competitive performance when compared to conventional BP decoding. For the BCH codes, the resulting GNN decoder can be fully parametrized with only 9640 weights.




Abstract:In massive multiple-input multiple-output (MIMO) systems, hybrid analog-digital beamforming is an essential technique for exploiting the potential array gain without using a dedicated radio frequency chain for each antenna. However, due to the large number of antennas, the conventional channel estimation and hybrid beamforming algorithms generally require high computational complexity and signaling overhead. In this work, we propose an end-to-end deep-unfolding neural network (NN) joint channel estimation and hybrid beamforming (JCEHB) algorithm to maximize the system sum rate in time-division duplex (TDD) massive MIMO. Specifically, the recursive least-squares (RLS) algorithm and stochastic successive convex approximation (SSCA) algorithm are unfolded for channel estimation and hybrid beamforming, respectively. In order to reduce the signaling overhead, we consider a mixed-timescale hybrid beamforming scheme, where the analog beamforming matrices are optimized based on the channel state information (CSI) statistics offline, while the digital beamforming matrices are designed at each time slot based on the estimated low-dimensional equivalent CSI matrices. We jointly train the analog beamformers together with the trainable parameters of the RLS and SSCA induced deep-unfolding NNs based on the CSI statistics offline. During data transmission, we estimate the low-dimensional equivalent CSI by the RLS induced deep-unfolding NN and update the digital beamformers. In addition, we propose a mixed-timescale deep-unfolding NN where the analog beamformers are optimized online, and extend the framework to frequency-division duplex (FDD) systems where channel feedback is considered. Simulation results show that the proposed algorithm can significantly outperform conventional algorithms with reduced computational complexity and signaling overhead.



Abstract:We propose a neural network (NN)-based algorithm for device detection and time of arrival (ToA) and carrier frequency offset (CFO) estimation for the narrowband physical random-access channel (NPRACH) of narrowband internet of things (NB-IoT). The introduced NN architecture leverages residual convolutional networks as well as knowledge of the preamble structure of the 5G New Radio (5G NR) specifications. Benchmarking on a 3rd Generation Partnership Project (3GPP) urban microcell (UMi) channel model with random drops of users against a state-of-the-art baseline shows that the proposed method enables up to 8 dB gains in false negative rate (FNR) as well as significant gains in false positive rate (FPR) and ToA and CFO estimation accuracy. Moreover, our simulations indicate that the proposed algorithm enables gains over a wide range of channel conditions, CFOs, and transmission probabilities. The introduced synchronization method operates at the base station (BS) and, therefore, introduces no additional complexity on the user devices. It could lead to an extension of battery lifetime by reducing the preamble length or the transmit power.