



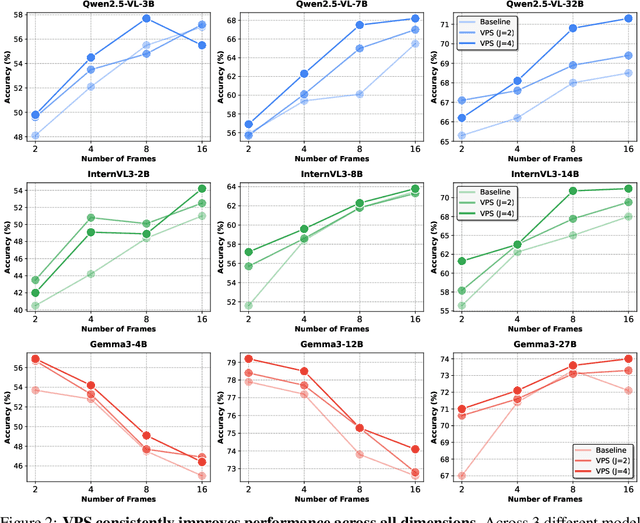
Abstract:Video Large Language Models (VideoLLMs) face a critical bottleneck: increasing the number of input frames to capture fine-grained temporal detail leads to prohibitive computational costs and performance degradation from long context lengths. We introduce Video Parallel Scaling (VPS), an inference-time method that expands a model's perceptual bandwidth without increasing its context window. VPS operates by running multiple parallel inference streams, each processing a unique, disjoint subset of the video's frames. By aggregating the output probabilities from these complementary streams, VPS integrates a richer set of visual information than is possible with a single pass. We theoretically show that this approach effectively contracts the Chinchilla scaling law by leveraging uncorrelated visual evidence, thereby improving performance without additional training. Extensive experiments across various model architectures and scales (2B-32B) on benchmarks such as Video-MME and EventHallusion demonstrate that VPS consistently and significantly improves performance. It scales more favorably than other parallel alternatives (e.g. Self-consistency) and is complementary to other decoding strategies, offering a memory-efficient and robust framework for enhancing the temporal reasoning capabilities of VideoLLMs.
Abstract:We propose VideoRFSplat, a direct text-to-3D model leveraging a video generation model to generate realistic 3D Gaussian Splatting (3DGS) for unbounded real-world scenes. To generate diverse camera poses and unbounded spatial extent of real-world scenes, while ensuring generalization to arbitrary text prompts, previous methods fine-tune 2D generative models to jointly model camera poses and multi-view images. However, these methods suffer from instability when extending 2D generative models to joint modeling due to the modality gap, which necessitates additional models to stabilize training and inference. In this work, we propose an architecture and a sampling strategy to jointly model multi-view images and camera poses when fine-tuning a video generation model. Our core idea is a dual-stream architecture that attaches a dedicated pose generation model alongside a pre-trained video generation model via communication blocks, generating multi-view images and camera poses through separate streams. This design reduces interference between the pose and image modalities. Additionally, we propose an asynchronous sampling strategy that denoises camera poses faster than multi-view images, allowing rapidly denoised poses to condition multi-view generation, reducing mutual ambiguity and enhancing cross-modal consistency. Trained on multiple large-scale real-world datasets (RealEstate10K, MVImgNet, DL3DV-10K, ACID), VideoRFSplat outperforms existing text-to-3D direct generation methods that heavily depend on post-hoc refinement via score distillation sampling, achieving superior results without such refinement.




Abstract:Recent progress in 3D/4D scene generation emphasizes the importance of physical alignment throughout video generation and scene reconstruction. However, existing methods improve the alignment separately at each stage, making it difficult to manage subtle misalignments arising from another stage. Here, we present SteerX, a zero-shot inference-time steering method that unifies scene reconstruction into the generation process, tilting data distributions toward better geometric alignment. To this end, we introduce two geometric reward functions for 3D/4D scene generation by using pose-free feed-forward scene reconstruction models. Through extensive experiments, we demonstrate the effectiveness of SteerX in improving 3D/4D scene generation.




Abstract:We present a novel study on enhancing the capability of preserving the content in world models, focusing on a property we term World Stability. Recent diffusion-based generative models have advanced the synthesis of immersive and realistic environments that are pivotal for applications such as reinforcement learning and interactive game engines. However, while these models excel in quality and diversity, they often neglect the preservation of previously generated scenes over time--a shortfall that can introduce noise into agent learning and compromise performance in safety-critical settings. In this work, we introduce an evaluation framework that measures world stability by having world models perform a sequence of actions followed by their inverses to return to their initial viewpoint, thereby quantifying the consistency between the starting and ending observations. Our comprehensive assessment of state-of-the-art diffusion-based world models reveals significant challenges in achieving high world stability. Moreover, we investigate several improvement strategies to enhance world stability. Our results underscore the importance of world stability in world modeling and provide actionable insights for future research in this domain.




Abstract:Text-based generation and editing of 3D scenes hold significant potential for streamlining content creation through intuitive user interactions. While recent advances leverage 3D Gaussian Splatting (3DGS) for high-fidelity and real-time rendering, existing methods are often specialized and task-focused, lacking a unified framework for both generation and editing. In this paper, we introduce SplatFlow, a comprehensive framework that addresses this gap by enabling direct 3DGS generation and editing. SplatFlow comprises two main components: a multi-view rectified flow (RF) model and a Gaussian Splatting Decoder (GSDecoder). The multi-view RF model operates in latent space, generating multi-view images, depths, and camera poses simultaneously, conditioned on text prompts, thus addressing challenges like diverse scene scales and complex camera trajectories in real-world settings. Then, the GSDecoder efficiently translates these latent outputs into 3DGS representations through a feed-forward 3DGS method. Leveraging training-free inversion and inpainting techniques, SplatFlow enables seamless 3DGS editing and supports a broad range of 3D tasks-including object editing, novel view synthesis, and camera pose estimation-within a unified framework without requiring additional complex pipelines. We validate SplatFlow's capabilities on the MVImgNet and DL3DV-7K datasets, demonstrating its versatility and effectiveness in various 3D generation, editing, and inpainting-based tasks.
Abstract:In this work, we discuss evaluating video foundation models in a fair and robust manner. Unlike language or image foundation models, many video foundation models are evaluated with differing parameters (such as sampling rate, number of frames, pretraining steps, etc.), making fair and robust comparisons challenging. Therefore, we present a carefully designed evaluation framework for measuring two core capabilities of video comprehension: appearance and motion understanding. Our findings reveal that existing video foundation models, whether text-supervised like UMT or InternVideo2, or self-supervised like V-JEPA, exhibit limitations in at least one of these capabilities. As an alternative, we introduce TWLV-I, a new video foundation model that constructs robust visual representations for both motion- and appearance-based videos. Based on the average top-1 accuracy of linear probing on five action recognition benchmarks, pretrained only on publicly accessible datasets, our model shows a 4.6%p improvement compared to V-JEPA (ViT-L) and a 7.7%p improvement compared to UMT (ViT-L). Even when compared to much larger models, our model demonstrates a 7.2%p improvement compared to DFN (ViT-H), a 2.7%p improvement compared to V-JEPA~(ViT-H) and a 2.8%p improvement compared to InternVideo2 (ViT-g). We provide embedding vectors obtained by TWLV-I from videos of several commonly used video benchmarks, along with evaluation source code that can directly utilize these embeddings. The code is available on "https://github.com/twelvelabs-io/video-embeddings-evaluation-framework".




Abstract:We present Diffusion Model Patching (DMP), a simple method to boost the performance of pre-trained diffusion models that have already reached convergence, with a negligible increase in parameters. DMP inserts a small, learnable set of prompts into the model's input space while keeping the original model frozen. The effectiveness of DMP is not merely due to the addition of parameters but stems from its dynamic gating mechanism, which selects and combines a subset of learnable prompts at every step of the generative process (e.g., reverse denoising steps). This strategy, which we term "mixture-of-prompts", enables the model to draw on the distinct expertise of each prompt, essentially "patching" the model's functionality at every step with minimal yet specialized parameters. Uniquely, DMP enhances the model by further training on the same dataset on which it was originally trained, even in a scenario where significant improvements are typically not expected due to model convergence. Experiments show that DMP significantly enhances the converged FID of DiT-L/2 on FFHQ 256x256 by 10.38%, achieved with only a 1.43% parameter increase and 50K additional training iterations.




Abstract:This technical report introduces Pegasus-1, a multimodal language model specialized in video content understanding and interaction through natural language. Pegasus-1 is designed to address the unique challenges posed by video data, such as interpreting spatiotemporal information, to offer nuanced video content comprehension across various lengths. This technical report overviews Pegasus-1's architecture, training strategies, and its performance in benchmarks on video conversation, zero-shot video question answering, and video summarization. We also explore qualitative characteristics of Pegasus-1 , demonstrating its capabilities as well as its limitations, in order to provide readers a balanced view of its current state and its future direction.




Abstract:Diffusion-based generative models have emerged as powerful tools in the realm of generative modeling. Despite extensive research on denoising across various timesteps and noise levels, a conflict persists regarding the relative difficulties of the denoising tasks. While various studies argue that lower timesteps present more challenging tasks, others contend that higher timesteps are more difficult. To address this conflict, our study undertakes a comprehensive examination of task difficulties, focusing on convergence behavior and changes in relative entropy between consecutive probability distributions across timesteps. Our observational study reveals that denoising at earlier timesteps poses challenges characterized by slower convergence and higher relative entropy, indicating increased task difficulty at these lower timesteps. Building on these observations, we introduce an easy-to-hard learning scheme, drawing from curriculum learning, to enhance the training process of diffusion models. By organizing timesteps or noise levels into clusters and training models with descending orders of difficulty, we facilitate an order-aware training regime, progressing from easier to harder denoising tasks, thereby deviating from the conventional approach of training diffusion models simultaneously across all timesteps. Our approach leads to improved performance and faster convergence by leveraging the benefits of curriculum learning, while maintaining orthogonality with existing improvements in diffusion training techniques. We validate these advantages through comprehensive experiments in image generation tasks, including unconditional, class-conditional, and text-to-image generation.




Abstract:Diffusion models have achieved remarkable success across a range of generative tasks. Recent efforts to enhance diffusion model architectures have reimagined them as a form of multi-task learning, where each task corresponds to a denoising task at a specific noise level. While these efforts have focused on parameter isolation and task routing, they fall short of capturing detailed inter-task relationships and risk losing semantic information, respectively. In response, we introduce Switch Diffusion Transformer (Switch-DiT), which establishes inter-task relationships between conflicting tasks without compromising semantic information. To achieve this, we employ a sparse mixture-of-experts within each transformer block to utilize semantic information and facilitate handling conflicts in tasks through parameter isolation. Additionally, we propose a diffusion prior loss, encouraging similar tasks to share their denoising paths while isolating conflicting ones. Through these, each transformer block contains a shared expert across all tasks, where the common and task-specific denoising paths enable the diffusion model to construct its beneficial way of synergizing denoising tasks. Extensive experiments validate the effectiveness of our approach in improving both image quality and convergence rate, and further analysis demonstrates that Switch-DiT constructs tailored denoising paths across various generation scenarios.