Abstract:One particularly promising use case of Large Language Models (LLMs) for recommendation is the automatic generation of Natural Language (NL) user taste profiles from consumption data. These profiles offer interpretable and editable alternatives to opaque collaborative filtering representations, enabling greater transparency and user control. However, it remains unclear whether users consider these profiles to be an accurate representation of their taste, which is crucial for trust and usability. Moreover, because LLMs inherit societal and data-driven biases, profile quality may systematically vary across user and item characteristics. In this paper, we study this issue in the context of music streaming, where personalization is challenged by a large and culturally diverse catalog. We conduct a user study in which participants rate NL profiles generated from their own listening histories. We analyze whether identification with the profiles is biased by user attributes (e.g., mainstreamness, taste diversity) and item features (e.g., genre, country of origin). We also compare these patterns to those observed when using the profiles in a downstream recommendation task. Our findings highlight both the potential and limitations of scrutable, LLM-based profiling in personalized systems.

Abstract:Human annotations of mood in music are essential for music generation and recommender systems. However, existing datasets predominantly focus on Western songs with mood terms derived from English, which may limit generalizability across diverse linguistic and cultural backgrounds. To address this, we introduce `GlobalMood', a novel cross-cultural benchmark dataset comprising 1,180 songs sampled from 59 countries, with large-scale annotations collected from 2,519 individuals across five culturally and linguistically distinct locations: U.S., France, Mexico, S. Korea, and Egypt. Rather than imposing predefined mood categories, we implement a bottom-up, participant-driven approach to organically elicit culturally specific music-related mood terms. We then recruit another pool of human participants to collect 988,925 ratings for these culture-specific descriptors. Our analysis confirms the presence of a valence-arousal structure shared across cultures, yet also reveals significant divergences in how certain mood terms, despite being dictionary equivalents, are perceived cross-culturally. State-of-the-art multimodal models benefit substantially from fine-tuning on our cross-culturally balanced dataset, as evidenced by improved alignment with human evaluations - particularly in non-English contexts. More broadly, our findings inform the ongoing debate on the universality versus cultural specificity of emotional descriptors, and our methodology can contribute to other multimodal and cross-lingual research.

Abstract:Music evokes profound emotions, yet the universality of emotional descriptors across languages remains debated. A key challenge in cross-cultural research on music emotion is biased stimulus selection and manual curation of taxonomies, predominantly relying on Western music and languages. To address this, we propose a balanced experimental design with nine online experiments in Brazil, the US, and South Korea, involving N=672 participants. First, we sample a balanced set of popular music from these countries. Using an open-ended tagging pipeline, we then gather emotion terms to create culture-specific taxonomies. Finally, using these bottom-up taxonomies, participants rate emotions of each song. This allows us to map emotional similarities within and across cultures. Results show consistency in high arousal, high valence emotions but greater variability in others. Notably, machine translations were often inadequate to capture music-specific meanings. These findings together highlight the need for a domain-sensitive, open-ended, bottom-up emotion elicitation approach to reduce cultural biases in emotion research.

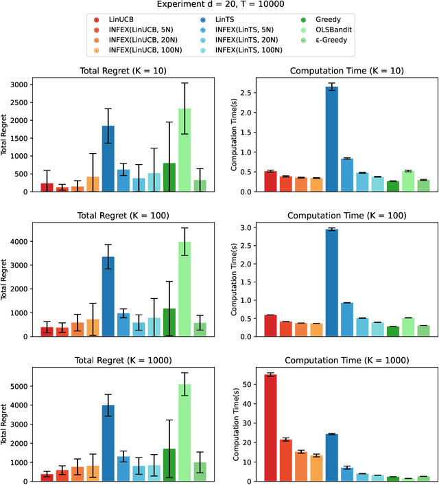
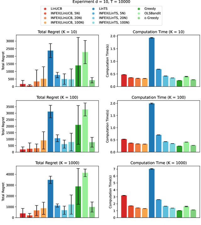
Abstract:In this work, we close the fundamental gap of theory and practice by providing an improved regret bound for linear ensemble sampling. We prove that with an ensemble size logarithmic in $T$, linear ensemble sampling can achieve a frequentist regret bound of $\tilde{\mathcal{O}}(d^{3/2}\sqrt{T})$, matching state-of-the-art results for randomized linear bandit algorithms, where $d$ and $T$ are the dimension of the parameter and the time horizon respectively. Our approach introduces a general regret analysis framework for linear bandit algorithms. Additionally, we reveal a significant relationship between linear ensemble sampling and Linear Perturbed-History Exploration (LinPHE), showing that LinPHE is a special case of linear ensemble sampling when the ensemble size equals $T$. This insight allows us to derive a new regret bound of $\tilde{\mathcal{O}}(d^{3/2}\sqrt{T})$ for LinPHE, independent of the number of arms. Our contributions advance the theoretical foundation of ensemble sampling, bringing its regret bounds in line with the best known bounds for other randomized exploration algorithms.

Abstract:We consider a stochastic sparse linear bandit problem where only a sparse subset of context features affects the expected reward function, i.e., the unknown reward parameter has sparse structure. In the existing Lasso bandit literature, the compatibility conditions together with additional diversity conditions on the context features are imposed to achieve regret bounds that only depend logarithmically on the ambient dimension $d$. In this paper, we demonstrate that even without the additional diversity assumptions, the compatibility condition only on the optimal arm is sufficient to derive a regret bound that depends logarithmically on $d$, and our assumption is strictly weaker than those used in the lasso bandit literature under the single parameter setting. We propose an algorithm that adapts the forced-sampling technique and prove that the proposed algorithm achieves $O(\text{poly}\log dT)$ regret under the margin condition. To our knowledge, the proposed algorithm requires the weakest assumptions among Lasso bandit algorithms under a single parameter setting that achieve $O(\text{poly}\log dT)$ regret. Through the numerical experiments, we confirm the superior performance of our proposed algorithm.

Abstract:The speech-to-song illusion is a robust psychological phenomenon whereby a spoken sentence sounds increasingly more musical as it is repeated. Despite decades of research, a complete formal account of this transformation is still lacking, and some of its nuanced characteristics, namely, that certain phrases appear to transform while others do not, is not well understood. Here we provide a formal account of this phenomenon, by recasting it as a statistical inference whereby a rational agent attempts to decide whether a sequence of utterances is more likely to have been produced in a song or speech. Using this approach and analyzing song and speech corpora, we further introduce a novel prose-to-lyrics illusion that is purely text-based. In this illusion, simply duplicating written sentences makes them appear more like song lyrics. We provide robust evidence for this new illusion in both human participants and large language models.

Abstract:Conducting experiments with diverse participants in their native languages can uncover insights into culture, cognition, and language that may not be revealed otherwise. However, conducting these experiments online makes it difficult to validate self-reported language proficiency. Furthermore, existing proficiency tests are small and cover only a few languages. We present an automated pipeline to generate vocabulary tests using text from Wikipedia. Our pipeline samples rare nouns and creates pseudowords with the same low-level statistics. Six behavioral experiments (N=236) in six countries and eight languages show that (a) our test can distinguish between native speakers of closely related languages, (b) the test is reliable ($r=0.82$), and (c) performance strongly correlates with existing tests (LexTale) and self-reports. We further show that test accuracy is negatively correlated with the linguistic distance between the tested and the native language. Our test, available in eight languages, can easily be extended to other languages.





Abstract:Recent advances in multimodal training use textual descriptions to significantly enhance machine understanding of images and videos. Yet, it remains unclear to what extent language can fully capture sensory experiences across different modalities. A well-established approach for characterizing sensory experiences relies on similarity judgments, namely, the degree to which people perceive two distinct stimuli as similar. We explore the relation between human similarity judgments and language in a series of large-scale behavioral studies ($N=1,823$ participants) across three modalities (images, audio, and video) and two types of text descriptors: simple word tags and free-text captions. In doing so, we introduce a novel adaptive pipeline for tag mining that is both efficient and domain-general. We show that our prediction pipeline based on text descriptors exhibits excellent performance, and we compare it against a comprehensive array of 611 baseline models based on vision-, audio-, and video-processing architectures. We further show that the degree to which textual descriptors and models predict human similarity varies across and within modalities. Taken together, these studies illustrate the value of integrating machine learning and cognitive science approaches to better understand the similarities and differences between human and machine representations. We present an interactive visualization at https://words-are-all-you-need.s3.amazonaws.com/index.html for exploring the similarity between stimuli as experienced by humans and different methods reported in the paper.




Abstract:The human voice effectively communicates a range of emotions with nuanced variations in acoustics. Existing emotional speech corpora are limited in that they are either (a) highly curated to induce specific emotions with predefined categories that may not capture the full extent of emotional experiences, or (b) entangled in their semantic and prosodic cues, limiting the ability to study these cues separately. To overcome this challenge, we propose a new approach called 'Genetic Algorithm with People' (GAP), which integrates human decision and production into a genetic algorithm. In our design, we allow creators and raters to jointly optimize the emotional prosody over generations. We demonstrate that GAP can efficiently sample from the emotional speech space and capture a broad range of emotions, and show comparable results to state-of-the-art emotional speech corpora. GAP is language-independent and supports large crowd-sourcing, thus can support future large-scale cross-cultural research.





Abstract:Do people from different cultural backgrounds perceive the mood in music the same way? How closely do human ratings across different cultures approximate automatic mood detection algorithms that are often trained on corpora of predominantly Western popular music? Analyzing 166 participants responses from Brazil, South Korea, and the US, we examined the similarity between the ratings of nine categories of perceived moods in music and estimated their alignment with four popular mood detection algorithms. We created a dataset of 360 recent pop songs drawn from major music charts of the countries and constructed semantically identical mood descriptors across English, Korean, and Portuguese languages. Multiple participants from the three countries rated their familiarity, preference, and perceived moods for a given song. Ratings were highly similar within and across cultures for basic mood attributes such as sad, cheerful, and energetic. However, we found significant cross-cultural differences for more complex characteristics such as dreamy and love. To our surprise, the results of mood detection algorithms were uniformly correlated across human ratings from all three countries and did not show a detectable bias towards any particular culture. Our study thus suggests that the mood detection algorithms can be considered as an objective measure at least within the popular music context.
