Seoul National University
Abstract:In this study, we introduce a novel bandit framework for stochastic matching based on the Multi-nomial Logit (MNL) choice model. In our setting, $N$ agents on one side are assigned to $K$ arms on the other side, where each arm stochastically selects an agent from its assigned pool according to an unknown preference and yields a corresponding reward. The objective is to minimize regret by maximizing the cumulative revenue from successful matches across all agents. This task requires solving a combinatorial optimization problem based on estimated preferences, which is NP-hard and leads a naive approach to incur a computational cost of $O(K^N)$ per round. To address this challenge, we propose batched algorithms that limit the frequency of matching updates, thereby reducing the amortized computational cost (i.e., the average cost per round) to $O(1)$ while still achieving a regret bound of $\tilde{O}(\sqrt{T})$.
Abstract:Current AI advances largely rely on scaling neural models and expanding training datasets to achieve generalization and robustness. Despite notable successes, this paradigm incurs significant environmental, economic, and ethical costs, limiting sustainability and equitable access. Inspired by biological sensory systems, where adaptation occurs dynamically at the input (e.g., adjusting pupil size, refocusing vision)--we advocate for adaptive sensing as a necessary and foundational shift. Adaptive sensing proactively modulates sensor parameters (e.g., exposure, sensitivity, multimodal configurations) at the input level, significantly mitigating covariate shifts and improving efficiency. Empirical evidence from recent studies demonstrates that adaptive sensing enables small models (e.g., EfficientNet-B0) to surpass substantially larger models (e.g., OpenCLIP-H) trained with significantly more data and compute. We (i) outline a roadmap for broadly integrating adaptive sensing into real-world applications spanning humanoid, healthcare, autonomous systems, agriculture, and environmental monitoring, (ii) critically assess technical and ethical integration challenges, and (iii) propose targeted research directions, such as standardized benchmarks, real-time adaptive algorithms, multimodal integration, and privacy-preserving methods. Collectively, these efforts aim to transition the AI community toward sustainable, robust, and equitable artificial intelligence systems.
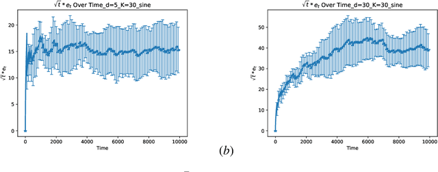
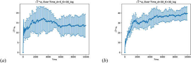
Abstract:We study finite-armed semiparametric bandits, where each arm's reward combines a linear component with an unknown, potentially adversarial shift. This model strictly generalizes classical linear bandits and reflects complexities common in practice. We propose the first experimental-design approach that simultaneously offers a sharp regret bound, a PAC bound, and a best-arm identification guarantee. Our method attains the minimax regret $\tilde{O}(\sqrt{dT})$, matching the known lower bound for finite-armed linear bandits, and further achieves logarithmic regret under a positive suboptimality gap condition. These guarantees follow from our refined non-asymptotic analysis of orthogonalized regression that attains the optimal $\sqrt{d}$ rate, paving the way for robust and efficient learning across a broad class of semiparametric bandit problems.



Abstract:In this study, we investigate the problem of dynamic multi-product selection and pricing by introducing a novel framework based on a \textit{censored multinomial logit} (C-MNL) choice model. In this model, sellers present a set of products with prices, and buyers filter out products priced above their valuation, purchasing at most one product from the remaining options based on their preferences. The goal is to maximize seller revenue by dynamically adjusting product offerings and prices, while learning both product valuations and buyer preferences through purchase feedback. To achieve this, we propose a Lower Confidence Bound (LCB) pricing strategy. By combining this pricing strategy with either an Upper Confidence Bound (UCB) or Thompson Sampling (TS) product selection approach, our algorithms achieve regret bounds of $\tilde{O}(d^{\frac{3}{2}}\sqrt{T/\kappa})$ and $\tilde{O}(d^{2}\sqrt{T/\kappa})$, respectively. Finally, we validate the performance of our methods through simulations, demonstrating their effectiveness.




Abstract:In this paper, we study offline preference-based reinforcement learning (PbRL), where learning is based on pre-collected preference feedback over pairs of trajectories. While offline PbRL has demonstrated remarkable empirical success, existing theoretical approaches face challenges in ensuring conservatism under uncertainty, requiring computationally intractable confidence set constructions. We address this limitation by proposing Adversarial Preference-based Policy Optimization (APPO), a computationally efficient algorithm for offline PbRL that guarantees sample complexity bounds without relying on explicit confidence sets. By framing PbRL as a two-player game between a policy and a model, our approach enforces conservatism in a tractable manner. Using standard assumptions on function approximation and bounded trajectory concentrability, we derive a sample complexity bound. To our knowledge, APPO is the first offline PbRL algorithm to offer both statistical efficiency and practical applicability. Experimental results on continuous control tasks demonstrate that APPO effectively learns from complex datasets, showing comparable performance with existing state-of-the-art methods.
Abstract:We introduce a novel linear bandit problem with partially observable features, resulting in partial reward information and spurious estimates. Without proper address for latent part, regret possibly grows linearly in decision horizon $T$, as their influence on rewards are unknown. To tackle this, we propose a novel analysis to handle the latent features and an algorithm that achieves sublinear regret. The core of our algorithm involves (i) augmenting basis vectors orthogonal to the observed feature space, and (ii) introducing an efficient doubly robust estimator. Our approach achieves a regret bound of $\tilde{O}(\sqrt{(d + d_h)T})$, where $d$ is the dimension of observed features, and $d_h$ is the unknown dimension of the subspace of the unobserved features. Notably, our algorithm requires no prior knowledge of the unobserved feature space, which may expand as more features become hidden. Numerical experiments confirm that our algorithm outperforms both non-contextual multi-armed bandits and linear bandit algorithms depending solely on observed features.




Abstract:We study the performance guarantees of exploration-free greedy algorithms for the linear contextual bandit problem. We introduce a novel condition, named the \textit{Local Anti-Concentration} (LAC) condition, which enables a greedy bandit algorithm to achieve provable efficiency. We show that the LAC condition is satisfied by a broad class of distributions, including Gaussian, exponential, uniform, Cauchy, and Student's~$t$ distributions, along with other exponential family distributions and their truncated variants. This significantly expands the class of distributions under which greedy algorithms can perform efficiently. Under our proposed LAC condition, we prove that the cumulative expected regret of the greedy algorithm for the linear contextual bandit is bounded by $O(\operatorname{poly} \log T)$. Our results establish the widest range of distributions known to date that allow a sublinear regret bound for greedy algorithms, further achieving a sharp poly-logarithmic regret.
Abstract:In this work, we close the fundamental gap of theory and practice by providing an improved regret bound for linear ensemble sampling. We prove that with an ensemble size logarithmic in $T$, linear ensemble sampling can achieve a frequentist regret bound of $\tilde{\mathcal{O}}(d^{3/2}\sqrt{T})$, matching state-of-the-art results for randomized linear bandit algorithms, where $d$ and $T$ are the dimension of the parameter and the time horizon respectively. Our approach introduces a general regret analysis framework for linear bandit algorithms. Additionally, we reveal a significant relationship between linear ensemble sampling and Linear Perturbed-History Exploration (LinPHE), showing that LinPHE is a special case of linear ensemble sampling when the ensemble size equals $T$. This insight allows us to derive a new regret bound of $\tilde{\mathcal{O}}(d^{3/2}\sqrt{T})$ for LinPHE, independent of the number of arms. Our contributions advance the theoretical foundation of ensemble sampling, bringing its regret bounds in line with the best known bounds for other randomized exploration algorithms.




Abstract:In this work, we prove that, in linear MDPs, the feature dimension $d$ is lower bounded by $S/U$ in order to aptly represent transition probabilities, where $S$ is the size of the state space and $U$ is the maximum size of directly reachable states. Hence, $d$ can still scale with $S$ depending on the direct reachability of the environment. To address this limitation of linear MDPs, we propose a novel structural aggregation framework based on dynamics, named as the "dynamics aggregation". For this newly proposed framework, we design a provably efficient hierarchical reinforcement learning algorithm in linear function approximation that leverages aggregated sub-structures. Our proposed algorithm exhibits statistical efficiency, achieving a regret of $ \tilde{O} ( d_{\psi}^{3/2} H^{3/2}\sqrt{ N T} )$, where $d_{\psi}$ represents the feature dimension of aggregated subMDPs and $N$ signifies the number of aggregated subMDPs. We establish that the condition $d_{\psi}^3 N \ll d^{3}$ is readily met in most real-world environments with hierarchical structures, enabling a substantial improvement in the regret bound compared to LSVI-UCB, which enjoys a regret of $ \tilde{O} (d^{3/2} H^{3/2} \sqrt{ T})$. To the best of our knowledge, this work presents the first HRL algorithm with linear function approximation that offers provable guarantees.




Abstract:In this study, we consider multi-class multi-server asymmetric queueing systems consisting of $N$ queues on one side and $K$ servers on the other side, where jobs randomly arrive in queues at each time. The service rate of each job-server assignment is unknown and modeled by a feature-based Multi-nomial Logit (MNL) function. At each time, a scheduler assigns jobs to servers, and each server stochastically serves at most one job based on its preferences over the assigned jobs. The primary goal of the algorithm is to stabilize the queues in the system while learning the service rates of servers. To achieve this goal, we propose algorithms based on UCB and Thompson Sampling, which achieve system stability with an average queue length bound of $O(\min\{N,K\}/\epsilon)$ for a large time horizon $T$, where $\epsilon$ is a traffic slackness of the system. Furthermore, the algorithms achieve sublinear regret bounds of $\tilde{O}(\min\{\sqrt{T} Q_{\max},T^{3/4}\})$, where $Q_{\max}$ represents the maximum queue length over agents and times. Lastly, we provide experimental results to demonstrate the performance of our algorithms.