



Abstract:Large-scale distributed training of deep acoustic models plays an important role in today's high-performance automatic speech recognition (ASR). In this paper we investigate a variety of asynchronous decentralized distributed training strategies based on data parallel stochastic gradient descent (SGD) to show their superior performance over the commonly-used synchronous distributed training via allreduce, especially when dealing with large batch sizes. Specifically, we study three variants of asynchronous decentralized parallel SGD (ADPSGD), namely, fixed and randomized communication patterns on a ring as well as a delay-by-one scheme. We introduce a mathematical model of ADPSGD, give its theoretical convergence rate, and compare the empirical convergence behavior and straggler resilience properties of the three variants. Experiments are carried out on an IBM supercomputer for training deep long short-term memory (LSTM) acoustic models on the 2000-hour Switchboard dataset. Recognition and speedup performance of the proposed strategies are evaluated under various training configurations. We show that ADPSGD with fixed and randomized communication patterns cope well with slow learners. When learners are equally fast, ADPSGD with the delay-by-one strategy has the fastest convergence with large batches. In particular, using the delay-by-one strategy, we can train the acoustic model in less than 2 hours using 128 V100 GPUs with competitive word error rates.




Abstract:Neural Architecture Search (NAS) is a powerful tool to automatically design deep neural networks for many tasks, including image classification. Due to the significant computational burden of the search phase, most NAS methods have focused so far on small, balanced datasets. All attempts at conducting NAS at large scale have employed small proxy sets, and then transferred the learned architectures to larger datasets by replicating or stacking the searched cells. We propose a NAS method based on polyharmonic splines that can perform search directly on large scale, imbalanced target datasets. We demonstrate the effectiveness of our method on the ImageNet22K benchmark[16], which contains 14 million images distributed in a highly imbalanced manner over 21,841 categories. By exploring the search space of the ResNet [23] and Big-Little Net ResNext [11] architectures directly on ImageNet22K, our polyharmonic splines NAS method designed a model which achieved a top-1 accuracy of 40.03% on ImageNet22K, an absolute improvement of 3.13% over the state of the art with similar global batch size [15].




Abstract:Neural Architecture Search (NAS) is an open and challenging problem in machine learning. While NAS offers great promise, the prohibitive computational demand of most of the existing NAS methods makes it difficult to directly search the architectures on large-scale tasks. The typical way of conducting large scale NAS is to search for an architectural building block on a small dataset (either using a proxy set from the large dataset or a completely different small scale dataset) and then transfer the block to a larger dataset. Despite a number of recent results that show the promise of transfer from proxy datasets, a comprehensive evaluation of different NAS methods studying the impact of different source datasets and training protocols has not yet been addressed. In this work, we propose to analyze the architecture transferability of different NAS methods by performing a series of experiments on large scale benchmarks such as ImageNet1K and ImageNet22K. We find that: (i) On average, transfer performance of architectures searched using completely different small datasets perform similarly to the architectures searched directly on proxy target datasets. However, design of proxy sets has considerable impact on rankings of different NAS methods. (ii) While the different NAS methods show similar performance on a source dataset (e.g., CIFAR10), they significantly differ on the transfer performance to a large dataset (e.g., ImageNet1K). (iii) Even on large datasets, the randomly sampled architecture baseline is very competitive and significantly outperforms many representative NAS methods. (iv) The training protocol has a larger impact on small datasets, but it fails to provide consistent improvements on large datasets. We believe that our NASTransfer benchmark will be key to designing future NAS strategies that consistently show superior transfer performance on large scale datasets.




Abstract:Accurately and globally mapping human infrastructure is an important and challenging task with applications in routing, regulation compliance monitoring, and natural disaster response management etc.. In this paper we present progress in developing an algorithmic pipeline and distributed compute system that automates the process of map creation using high resolution aerial images. Unlike previous studies, most of which use datasets that are available only in a few cities across the world, we utilizes publicly available imagery and map data, both of which cover the contiguous United States (CONUS). We approach the technical challenge of inaccurate and incomplete training data adopting state-of-the-art convolutional neural network architectures such as the U-Net and the CycleGAN to incrementally generate maps with increasingly more accurate and more complete labels of man-made infrastructure such as roads and houses. Since scaling the mapping task to CONUS calls for parallelization, we then adopted an asynchronous distributed stochastic parallel gradient descent training scheme to distribute the computational workload onto a cluster of GPUs with nearly linear speed-up.




Abstract:The past decade has witnessed great progress in Automatic Speech Recognition (ASR) due to advances in deep learning. The improvements in performance can be attributed to both improved models and large-scale training data. Key to training such models is the employment of efficient distributed learning techniques. In this article, we provide an overview of distributed training techniques for deep neural network acoustic models for ASR. Starting with the fundamentals of data parallel stochastic gradient descent (SGD) and ASR acoustic modeling, we will investigate various distributed training strategies and their realizations in high performance computing (HPC) environments with an emphasis on striking the balance between communication and computation. Experiments are carried out on a popular public benchmark to study the convergence, speedup and recognition performance of the investigated strategies.




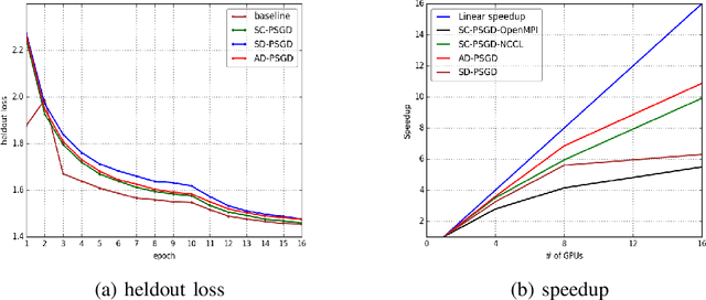
Abstract:Decentralized Parallel SGD (D-PSGD) and its asynchronous variant Asynchronous Parallel SGD (AD-PSGD) is a family of distributed learning algorithms that have been demonstrated to perform well for large-scale deep learning tasks. One drawback of (A)D-PSGD is that the spectral gap of the mixing matrix decreases when the number of learners in the system increases, which hampers convergence. In this paper, we investigate techniques to accelerate (A)D-PSGD based training by improving the spectral gap while minimizing the communication cost. We demonstrate the effectiveness of our proposed techniques by running experiments on the 2000-hour Switchboard speech recognition task and the ImageNet computer vision task. On an IBM P9 supercomputer, our system is able to train an LSTM acoustic model in 2.28 hours with 7.5% WER on the Hub5-2000 Switchboard (SWB) test set and 13.3% WER on the CallHome (CH) test set using 64 V100 GPUs and in 1.98 hours with 7.7% WER on SWB and 13.3% WER on CH using 128 V100 GPUs, the fastest training time reported to date.




Abstract:Modern Automatic Speech Recognition (ASR) systems rely on distributed deep learning to for quick training completion. To enable efficient distributed training, it is imperative that the training algorithms can converge with a large mini-batch size. In this work, we discovered that Asynchronous Decentralized Parallel Stochastic Gradient Descent (ADPSGD) can work with much larger batch size than commonly used Synchronous SGD (SSGD) algorithm. On commonly used public SWB-300 and SWB-2000 ASR datasets, ADPSGD can converge with a batch size 3X as large as the one used in SSGD, thus enable training at a much larger scale. Further, we proposed a Hierarchical-ADPSGD (H-ADPSGD) system in which learners on the same computing node construct a super learner via a fast allreduce implementation, and super learners deploy ADPSGD algorithm among themselves. On a 64 Nvidia V100 GPU cluster connected via a 100Gb/s Ethernet network, our system is able to train SWB-2000 to reach a 7.6% WER on the Hub5-2000 Switchboard (SWB) test-set and a 13.2% WER on the Call-home (CH) test-set in 5.2 hours. To the best of our knowledge, this is the fastest ASR training system that attains this level of model accuracy for SWB-2000 task to be ever reported in the literature.




Abstract:In this paper, we propose and investigate a variety of distributed deep learning strategies for automatic speech recognition (ASR) and evaluate them with a state-of-the-art Long short-term memory (LSTM) acoustic model on the 2000-hour Switchboard (SWB2000), which is one of the most widely used datasets for ASR performance benchmark. We first investigate what are the proper hyper-parameters (e.g., learning rate) to enable the training with sufficiently large batch size without impairing the model accuracy. We then implement various distributed strategies, including Synchronous (SYNC), Asynchronous Decentralized Parallel SGD (ADPSGD) and the hybrid of the two HYBRID, to study their runtime/accuracy trade-off. We show that we can train the LSTM model using ADPSGD in 14 hours with 16 NVIDIA P100 GPUs to reach a 7.6% WER on the Hub5- 2000 Switchboard (SWB) test set and a 13.1% WER on the CallHome (CH) test set. Furthermore, we can train the model using HYBRID in 11.5 hours with 32 NVIDIA V100 GPUs without loss in accuracy.




Abstract:As deep neural networks become more complex and input datasets grow larger, it can take days or even weeks to train a deep neural network to the desired accuracy. Therefore, distributed Deep Learning at a massive scale is a critical capability, since it offers the potential to reduce the training time from weeks to hours. In this paper, we present a software-hardware co-optimized distributed Deep Learning system that can achieve near-linear scaling up to hundreds of GPUs. The core algorithm is a multi-ring communication pattern that provides a good tradeoff between latency and bandwidth and adapts to a variety of system configurations. The communication algorithm is implemented as a library for easy use. This library has been integrated into Tensorflow, Caffe, and Torch. We train Resnet-101 on Imagenet 22K with 64 IBM Power8 S822LC servers (256 GPUs) in about 7 hours to an accuracy of 33.8 % validation accuracy. Microsoft's ADAM and Google's DistBelief results did not reach 30 % validation accuracy for Imagenet 22K. Compared to Facebook AI Research's recent paper on 256 GPU training, we use a different communication algorithm, and our combined software and hardware system offers better communication overhead for Resnet-50. A PowerAI DDL enabled version of Torch completed 90 epochs of training on Resnet 50 for 1K classes in 50 minutes using 64 IBM Power8 S822LC servers (256 GPUs).


Abstract:The paper [1] shows that simple linear classifier can compete with complex deep learning algorithms in text classification applications. Combining bag of words (BoW) and linear classification techniques, fastText [1] attains same or only slightly lower accuracy than deep learning algorithms [2-9] that are orders of magnitude slower. We proved formally that fastText can be transformed into a simpler equivalent classifier, which unlike fastText does not have any hidden layer. We also proved that the necessary and sufficient dimensionality of the word vector embedding space is exactly the number of document classes. These results help constructing more optimal linear text classifiers with guaranteed maximum classification capabilities. The results are proven exactly by pure formal algebraic methods without attracting any empirical data.