Abstract:Supervised Fine-Tuning (SFT) is used to specialize model behavior by training weights to produce intended target responses for queries. In contrast, In-Context Learning (ICL) adapts models during inference with instructions or demonstrations in the prompt. ICL can offer better generalizability and more calibrated responses compared to SFT in data scarce settings, at the cost of more inference compute. In this work, we ask the question: Can ICL's internal computations be used to improve the qualities of SFT? We first show that ICL and SFT produce distinct activation patterns, indicating that the two methods achieve adaptation through different functional mechanisms. Motivated by this observation and to use ICL's rich functionality, we introduce ICL Activation Alignment (IA2), a self-distillation technique which aims to replicate ICL's activation patterns in SFT models and incentivizes ICL-like internal reasoning. Performing IA2 as a priming step before SFT significantly improves the accuracy and calibration of model outputs, as shown by our extensive empirical results on 12 popular benchmarks and 2 model families. This finding is not only practically useful, but also offers a conceptual window into the inner mechanics of model adaptation.
Abstract:Reliable and accurate estimation of the error of an ML model in unseen test domains is an important problem for safe intelligent systems. Prior work uses disagreement discrepancy (DIS^2) to derive practical error bounds under distribution shifts. It optimizes for a maximally disagreeing classifier on the target domain to bound the error of a given source classifier. Although this approach offers a reliable and competitively accurate estimate of the target error, we identify a problem in this approach which causes the disagreement discrepancy objective to compete in the overlapping region between source and target domains. With an intuitive assumption that the target disagreement should be no more than the source disagreement in the overlapping region due to high enough support, we devise Overlap-aware Disagreement Discrepancy (ODD). Maximizing ODD only requires disagreement in the non-overlapping target domain, removing the competition. Our ODD-based bound uses domain-classifiers to estimate domain-overlap and better predicts target performance than DIS^2. We conduct experiments on a wide array of benchmarks to show that our method improves the overall performance-estimation error while remaining valid and reliable. Our code and results are available on GitHub.
Abstract:Recent works have suggested that In-Context Learning (ICL) operates in dual modes, i.e. task retrieval (remember learned patterns from pre-training) and task learning (inference-time ``learning'' from demonstrations). However, disentangling these the two modes remains a challenging goal. We introduce ICL CIPHERS, a class of task reformulations based on substitution ciphers borrowed from classic cryptography. In this approach, a subset of tokens in the in-context inputs are substituted with other (irrelevant) tokens, rendering English sentences less comprehensible to human eye. However, by design, there is a latent, fixed pattern to this substitution, making it reversible. This bijective (reversible) cipher ensures that the task remains a well-defined task in some abstract sense, despite the transformations. It is a curious question if LLMs can solve ICL CIPHERS with a BIJECTIVE mapping, which requires deciphering the latent cipher. We show that LLMs are better at solving ICL CIPHERS with BIJECTIVE mappings than the NON-BIJECTIVE (irreversible) baseline, providing a novel approach to quantify ``learning'' in ICL. While this gap is small, it is consistent across the board on four datasets and six models. Finally, we examine LLMs' internal representations and identify evidence in their ability to decode the ciphered inputs.
Abstract:We present a composite machine learning framework to estimate posterior probability distributions of bulge-to-total light ratio, half-light radius, and flux for Active Galactic Nucleus (AGN) host galaxies within $z<1.4$ and $m<23$ in the Hyper Supreme-Cam Wide survey. We divide the data into five redshift bins: low ($0<z<0.25$), mid ($0.25<z<0.5$), high ($0.5<z<0.9$), extra ($0.9<z<1.1$) and extreme ($1.1<z<1.4$), and train our models independently in each bin. We use PSFGAN to decompose the AGN point source light from its host galaxy, and invoke the Galaxy Morphology Posterior Estimation Network (GaMPEN) to estimate morphological parameters of the recovered host galaxy. We first trained our models on simulated data, and then fine-tuned our algorithm via transfer learning using labeled real data. To create training labels for transfer learning, we used GALFIT to fit $\sim 20,000$ real HSC galaxies in each redshift bin. We comprehensively examined that the predicted values from our final models agree well with the GALFIT values for the vast majority of cases. Our PSFGAN + GaMPEN framework runs at least three orders of magnitude faster than traditional light-profile fitting methods, and can be easily retrained for other morphological parameters or on other datasets with diverse ranges of resolutions, seeing conditions, and signal-to-noise ratios, making it an ideal tool for analyzing AGN host galaxies from large surveys coming soon from the Rubin-LSST, Euclid, and Roman telescopes.




Abstract:We consider the problem of source-free unsupervised category-level pose estimation from only RGB images to a target domain without any access to source domain data or 3D annotations during adaptation. Collecting and annotating real-world 3D data and corresponding images is laborious, expensive, yet unavoidable process, since even 3D pose domain adaptation methods require 3D data in the target domain. We introduce 3DUDA, a method capable of adapting to a nuisance-ridden target domain without 3D or depth data. Our key insight stems from the observation that specific object subparts remain stable across out-of-domain (OOD) scenarios, enabling strategic utilization of these invariant subcomponents for effective model updates. We represent object categories as simple cuboid meshes, and harness a generative model of neural feature activations modeled at each mesh vertex learnt using differential rendering. We focus on individual locally robust mesh vertex features and iteratively update them based on their proximity to corresponding features in the target domain even when the global pose is not correct. Our model is then trained in an EM fashion, alternating between updating the vertex features and the feature extractor. We show that our method simulates fine-tuning on a global pseudo-labeled dataset under mild assumptions, which converges to the target domain asymptotically. Through extensive empirical validation, including a complex extreme UDA setup which combines real nuisances, synthetic noise, and occlusion, we demonstrate the potency of our simple approach in addressing the domain shift challenge and significantly improving pose estimation accuracy.
Abstract:Is In-Context Learning (ICL) implicitly equivalent to Gradient Descent (GD)? Several recent works draw analogies between the dynamics of GD and the emergent behavior of ICL in large language models. However, these works make assumptions far from the realistic natural language setting in which language models are trained. Such discrepancies between theory and practice, therefore, necessitate further investigation to validate their applicability. We start by highlighting the weaknesses in prior works that construct Transformer weights to simulate gradient descent. Their experiments with training Transformers on ICL objective, inconsistencies in the order sensitivity of ICL and GD, sparsity of the constructed weights, and sensitivity to parameter changes are some examples of a mismatch from the real-world setting. Furthermore, we probe and compare the ICL vs. GD hypothesis in a natural setting. We conduct comprehensive empirical analyses on language models pretrained on natural data (LLaMa-7B). Our comparisons on various performance metrics highlight the inconsistent behavior of ICL and GD as a function of various factors such as datasets, models, and number of demonstrations. We observe that ICL and GD adapt the output distribution of language models differently. These results indicate that the equivalence between ICL and GD is an open hypothesis, requires nuanced considerations and calls for further studies.
Abstract:This report examines the effectiveness of Chain-of-Thought (CoT) prompting in improving the multi-step reasoning abilities of large language models (LLMs). Inspired by previous studies \cite{Min2022RethinkingWork}, we analyze the impact of three types of CoT prompt perturbations, namely CoT order, CoT values, and CoT operators on the performance of GPT-3 on various tasks. Our findings show that incorrect CoT prompting leads to poor performance on accuracy metrics. Correct values in the CoT is crucial for predicting correct answers. Moreover, incorrect demonstrations, where the CoT operators or the CoT order are wrong, do not affect the performance as drastically when compared to the value based perturbations. This research deepens our understanding of CoT prompting and opens some new questions regarding the capability of LLMs to learn reasoning in context.




Abstract:Energy prediction in buildings plays a crucial role in effective energy management. Precise predictions are essential for achieving optimal energy consumption and distribution within the grid. This paper introduces a Long Short-Term Memory (LSTM) model designed to forecast building energy consumption using historical energy data, occupancy patterns, and weather conditions. The LSTM model provides accurate short, medium, and long-term energy predictions for residential and commercial buildings compared to existing prediction models. We compare our LSTM model with established prediction methods, including linear regression, decision trees, and random forest. Encouragingly, the proposed LSTM model emerges as the superior performer across all metrics. It demonstrates exceptional prediction accuracy, boasting the highest R2 score of 0.97 and the most favorable mean absolute error (MAE) of 0.007. An additional advantage of our developed model is its capacity to achieve efficient energy consumption forecasts even when trained on a limited dataset. We address concerns about overfitting (variance) and underfitting (bias) through rigorous training and evaluation on real-world data. In summary, our research contributes to energy prediction by offering a robust LSTM model that outperforms alternative methods and operates with remarkable efficiency, generalizability, and reliability.




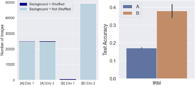
Abstract:We study the problem of invariant learning when the environment labels are unknown. We focus on the invariant representation notion when the Bayes optimal conditional label distribution is the same across different environments. Previous work conducts Environment Inference (EI) by maximizing the penalty term from Invariant Risk Minimization (IRM) framework. The EI step uses a reference model which focuses on spurious correlations to efficiently reach a good environment partition. However, it is not clear how to find such a reference model. In this work, we propose to repeat the EI process and retrain an ERM model on the \textit{majority} environment inferred by the previous EI step. Under mild assumptions, we find that this iterative process helps learn a representation capturing the spurious correlation better than the single step. This results in better Environment Inference and better Invariant Learning. We show that this method outperforms baselines on both synthetic and real-world datasets.