Abstract:We present a composite machine learning framework to estimate posterior probability distributions of bulge-to-total light ratio, half-light radius, and flux for Active Galactic Nucleus (AGN) host galaxies within $z<1.4$ and $m<23$ in the Hyper Supreme-Cam Wide survey. We divide the data into five redshift bins: low ($0<z<0.25$), mid ($0.25<z<0.5$), high ($0.5<z<0.9$), extra ($0.9<z<1.1$) and extreme ($1.1<z<1.4$), and train our models independently in each bin. We use PSFGAN to decompose the AGN point source light from its host galaxy, and invoke the Galaxy Morphology Posterior Estimation Network (GaMPEN) to estimate morphological parameters of the recovered host galaxy. We first trained our models on simulated data, and then fine-tuned our algorithm via transfer learning using labeled real data. To create training labels for transfer learning, we used GALFIT to fit $\sim 20,000$ real HSC galaxies in each redshift bin. We comprehensively examined that the predicted values from our final models agree well with the GALFIT values for the vast majority of cases. Our PSFGAN + GaMPEN framework runs at least three orders of magnitude faster than traditional light-profile fitting methods, and can be easily retrained for other morphological parameters or on other datasets with diverse ranges of resolutions, seeing conditions, and signal-to-noise ratios, making it an ideal tool for analyzing AGN host galaxies from large surveys coming soon from the Rubin-LSST, Euclid, and Roman telescopes.




Abstract:In this paper, we take a preliminary step towards solving the problem of causal discovery in knowledge tracing, i.e., finding the underlying causal relationship among different skills from real-world student response data. This problem is important since it can potentially help us understand the causal relationship between different skills without extensive A/B testing, which can potentially help educators to design better curricula according to skill prerequisite information. Specifically, we propose a conceptual solution, a novel causal gated recurrent unit (GRU) module in a modified deep knowledge tracing model, which uses i) a learnable permutation matrix for causal ordering among skills and ii) an optionally learnable lower-triangular matrix for causal structure among skills. We also detail how to learn the model parameters in an end-to-end, differentiable way. Our solution placed among the top entries in Task 3 of the NeurIPS 2022 Challenge on Causal Insights for Learning Paths in Education. We detail preliminary experiments as evaluated on the challenge's public leaderboard since the ground truth causal structure has not been publicly released, making detailed local evaluation impossible.
Abstract:We present a machine-learning framework to accurately characterize morphologies of Active Galactic Nucleus (AGN) host galaxies within $z<1$. We first use PSFGAN to decouple host galaxy light from the central point source, then we invoke the Galaxy Morphology Network (GaMorNet) to estimate whether the host galaxy is disk-dominated, bulge-dominated, or indeterminate. Using optical images from five bands of the HSC Wide Survey, we build models independently in three redshift bins: low $(0<z<0.25)$, medium $(0.25<z<0.5)$, and high $(0.5<z<1.0)$. By first training on a large number of simulated galaxies, then fine-tuning using far fewer classified real galaxies, our framework predicts the actual morphology for $\sim$ $60\%-70\%$ host galaxies from test sets, with a classification precision of $\sim$ $80\%-95\%$, depending on redshift bin. Specifically, our models achieve disk precision of $96\%/82\%/79\%$ and bulge precision of $90\%/90\%/80\%$ (for the 3 redshift bins), at thresholds corresponding to indeterminate fractions of $30\%/43\%/42\%$. The classification precision of our models has a noticeable dependency on host galaxy radius and magnitude. No strong dependency is observed on contrast ratio. Comparing classifications of real AGNs, our models agree well with traditional 2D fitting with GALFIT. The PSFGAN+GaMorNet framework does not depend on the choice of fitting functions or galaxy-related input parameters, runs orders of magnitude faster than GALFIT, and is easily generalizable via transfer learning, making it an ideal tool for studying AGN host galaxy morphology in forthcoming large imaging survey.




Abstract:Automated scoring of open-ended student responses has the potential to significantly reduce human grader effort. Recent advances in automated scoring often leverage textual representations based on pre-trained language models such as BERT and GPT as input to scoring models. Most existing approaches train a separate model for each item/question, which is suitable for scenarios such as essay scoring where items can be quite different from one another. However, these approaches have two limitations: 1) they fail to leverage item linkage for scenarios such as reading comprehension where multiple items may share a reading passage; 2) they are not scalable since storing one model per item becomes difficult when models have a large number of parameters. In this paper, we report our (grand prize-winning) solution to the National Assessment of Education Progress (NAEP) automated scoring challenge for reading comprehension. Our approach, in-context BERT fine-tuning, produces a single shared scoring model for all items with a carefully-designed input structure to provide contextual information on each item. We demonstrate the effectiveness of our approach via local evaluations using the training dataset provided by the challenge. We also discuss the biases, common error types, and limitations of our approach.




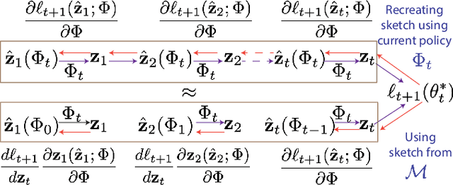
Abstract:In sequential recommender system applications, it is important to develop models that can capture users' evolving interest over time to successfully recommend future items that they are likely to interact with. For users with long histories, typical models based on recurrent neural networks tend to forget important items in the distant past. Recent works have shown that storing a small sketch of past items can improve sequential recommendation tasks. However, these works all rely on static sketching policies, i.e., heuristics to select items to keep in the sketch, which are not necessarily optimal and cannot improve over time with more training data. In this paper, we propose a differentiable policy for sketching (DiPS), a framework that learns a data-driven sketching policy in an end-to-end manner together with the recommender system model to explicitly maximize recommendation quality in the future. We also propose an approximate estimator of the gradient for optimizing the sketching algorithm parameters that is computationally efficient. We verify the effectiveness of DiPS on real-world datasets under various practical settings and show that it requires up to $50\%$ fewer sketch items to reach the same predictive quality than existing sketching policies.




Abstract:Computerized adaptive testing (CAT) refers to a form of tests that are personalized to every student/test taker. CAT methods adaptively select the next most informative question/item for each student given their responses to previous questions, effectively reducing test length. Existing CAT methods use item response theory (IRT) models to relate student ability to their responses to questions and static question selection algorithms designed to reduce the ability estimation error as quickly as possible; therefore, these algorithms cannot improve by learning from large-scale student response data. In this paper, we propose BOBCAT, a Bilevel Optimization-Based framework for CAT to directly learn a data-driven question selection algorithm from training data. BOBCAT is agnostic to the underlying student response model and is computationally efficient during the adaptive testing process. Through extensive experiments on five real-world student response datasets, we show that BOBCAT outperforms existing CAT methods (sometimes significantly) at reducing test length.




Abstract:Learning with labels noise has gained significant traction recently due to the sensitivity of deep neural networks under label noise under common loss functions. Losses that are theoretically robust to label noise, however, often makes training difficult. Consequently, several recently proposed methods, such as Meta-Weight-Net (MW-Net), use a small number of unbiased, clean samples to learn a weighting function that downweights samples that are likely to have corrupted labels under the meta-learning framework. However, obtaining such a set of clean samples is not always feasible in practice. In this paper, we analytically show that one can easily train MW-Net without access to clean samples simply by using a loss function that is robust to label noise, such as mean absolute error, as the meta objective to train the weighting network. We experimentally show that our method beats all existing methods that do not use clean samples and performs on-par with methods that use gold samples on benchmark datasets across various noise types and noise rates.



Abstract:Knowledge tracing refers to a family of methods that estimate each student's knowledge component/skill mastery level from their past responses to questions. One key limitation of most existing knowledge tracing methods is that they can only estimate an \emph{overall} knowledge level of a student per knowledge component/skill since they analyze only the (usually binary-valued) correctness of student responses. Therefore, it is hard to use them to diagnose specific student errors. In this paper, we extend existing knowledge tracing methods beyond correctness prediction to the task of predicting the exact option students select in multiple choice questions. We quantitatively evaluate the performance of our option tracing methods on two large-scale student response datasets. We also qualitatively evaluate their ability in identifying common student errors in the form of clusters of incorrect options across different questions that correspond to the same error.



Abstract:Deep neural network-based classifiers trained with the categorical cross-entropy (CCE) loss are sensitive to label noise in the training data. One common type of method that can mitigate the impact of label noise can be viewed as supervised robust methods; one can simply replace the CCE loss with a loss that is robust to label noise, or re-weight training samples and down-weight those with higher loss values. Recently, another type of method using semi-supervised learning (SSL) has been proposed, which augments these supervised robust methods to exploit (possibly) noisy samples more effectively. Although supervised robust methods perform well across different data types, they have been shown to be inferior to the SSL methods on image classification tasks under label noise. Therefore, it remains to be seen that whether these supervised robust methods can also perform well if they can utilize the unlabeled samples more effectively. In this paper, we show that by initializing supervised robust methods using representations learned through contrastive learning leads to significantly improved performance under label noise. Surprisingly, even the simplest method (training a classifier with the CCE loss) can outperform the state-of-the-art SSL method by more than 50\% under high label noise when initialized with contrastive learning. Our implementation will be publicly available at {\url{https://github.com/arghosh/noisy_label_pretrain}}.




Abstract:Knowledge tracing (KT) refers to the problem of predicting future learner performance given their past performance in educational applications. Recent developments in KT using flexible deep neural network-based models excel at this task. However, these models often offer limited interpretability, thus making them insufficient for personalized learning, which requires using interpretable feedback and actionable recommendations to help learners achieve better learning outcomes. In this paper, we propose attentive knowledge tracing (AKT), which couples flexible attention-based neural network models with a series of novel, interpretable model components inspired by cognitive and psychometric models. AKT uses a novel monotonic attention mechanism that relates a learner's future responses to assessment questions to their past responses; attention weights are computed using exponential decay and a context-aware relative distance measure, in addition to the similarity between questions. Moreover, we use the Rasch model to regularize the concept and question embeddings; these embeddings are able to capture individual differences among questions on the same concept without using an excessive number of parameters. We conduct experiments on several real-world benchmark datasets and show that AKT outperforms existing KT methods (by up to $6\%$ in AUC in some cases) on predicting future learner responses. We also conduct several case studies and show that AKT exhibits excellent interpretability and thus has potential for automated feedback and personalization in real-world educational settings.