Sentiment analysis is the process of determining the sentiment of a piece of text, such as a tweet or a review.
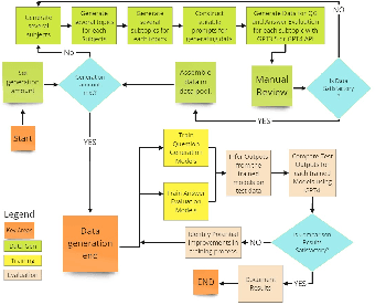
We present Algerian Dialect, a large-scale sentiment-annotated dataset consisting of 45,000 YouTube comments written in Algerian Arabic dialect. The comments were collected from more than 30 Algerian press and media channels using the YouTube Data API. Each comment is manually annotated into one of five sentiment categories: very negative, negative, neutral, positive, and very positive. In addition to sentiment labels, the dataset includes rich metadata such as collection timestamps, like counts, video URLs, and annotation dates. This dataset addresses the scarcity of publicly available resources for Algerian dialect and aims to support research in sentiment analysis, dialectal Arabic NLP, and social media analytics. The dataset is publicly available on Mendeley Data under a CC BY 4.0 license at https://doi.org/10.17632/zzwg3nnhsz.2.




Aspect-Category Sentiment Analysis (ACSA) provides granular insights by identifying specific themes within reviews and their associated sentiment. While supervised learning approaches dominate this field, the scarcity and high cost of annotated data for new domains present significant barriers. We argue that leveraging large language models (LLMs) in a zero-shot setting is a practical alternative where resources for data annotation are limited. In this work, we propose a novel Chain-of-Thought (CoT) prompting technique that utilises an intermediate Unified Meaning Representation (UMR) to structure the reasoning process for the ACSA task. We evaluate this UMR-based approach against a standard CoT baseline across three models (Qwen3-4B, Qwen3-8B, and Gemini-2.5-Pro) and four diverse datasets. Our findings suggest that UMR effectiveness may be model-dependent. Whilst preliminary results indicate comparable performance for mid-sized models such as Qwen3-8B, these observations warrant further investigation, particularly regarding the potential applicability to smaller model architectures. Further research is required to establish the generalisability of these findings across different model scales.
Sentiment analysis using Electroencephalography (EEG) sensor signals provides a deeper behavioral understanding of a person's emotional state, offering insights into real-time mood fluctuations. This approach takes advantage of brain electrical activity, making it a promising tool for various applications, including mental health monitoring, affective computing, and personalised user experiences. An encoder-based model for EEG-to-sentiment analysis, utilizing the ZUCO 2.0 dataset and incorporating a Feature Pyramid Network (FPN), is proposed to enhance this process. FPNs are adapted here for EEG sensor data, enabling multiscale feature extraction to capture local and global sentiment-related patterns. The raw EEG sensor data from the ZUCO 2.0 dataset is pre-processed and passed through the FPN, which extracts hierarchical features. In addition, extracted features are passed to a Gated Recurrent Unit (GRU) to model temporal dependencies, thereby enhancing the accuracy of sentiment classification. The ZUCO 2.0 dataset is utilized for its clear and detailed representation in 128 channels, offering rich spatial and temporal resolution. The experimental metric results show that the proposed architecture achieves a 6.88\% performance gain compared to the existing methods. Furthermore, the proposed framework demonstrated its efficacy on the validation datasets DEAP and SEED.




With the rapid growth of unstructured data from social media, reviews, and forums, text mining has become essential in Information Systems (IS) for extracting actionable insights. Summarization can condense fragmented, emotion-rich posts, but existing methods-optimized for structured news-struggle with noisy, informal content. Emotional cues are critical for IS tasks such as brand monitoring and market analysis, yet few studies integrate sentiment modeling into summarization of short user-generated texts. We propose a sentiment-aware framework extending extractive (TextRank) and abstractive (UniLM) approaches by embedding sentiment signals into ranking and generation processes. This dual design improves the capture of emotional nuances and thematic relevance, producing concise, sentiment-enriched summaries that enhance timely interventions and strategic decision-making in dynamic online environments.




Natural Language Processing (NLP) is one of the most revolutionary technologies today. It uses artificial intelligence to understand human text and spoken words. It is used for text summarization, grammar checking, sentiment analysis, and advanced chatbots and has many more potential use cases. Furthermore, it has also made its mark on the education sector. Much research and advancements have already been conducted on objective question generation; however, automated subjective question generation and answer evaluation are still in progress. An automated system to generate subjective questions and evaluate the answers can help teachers assess student work and enhance the student's learning experience by allowing them to self-assess their understanding after reading an article or a chapter of a book. This research aims to improve current NLP models or make a novel one for automated subjective question generation and answer evaluation from text input.
Sentiment analysis, an emerging research area within natural language processing (NLP), has primarily been explored in contexts like elections and social media trends, but there remains a significant gap in understanding emotional dynamics during civil unrest, particularly in the Bangla language. Our study pioneers sentiment analysis in Bangla during a national crisis by examining public emotions amid Bangladesh's 2024 mass uprising. We curated a unique dataset of 2,028 annotated news headlines from major Facebook news portals, classifying them into Outrage, Hope, and Despair. Through Latent Dirichlet Allocation (LDA), we identified prevalent themes like political corruption and public protests, and analyzed how events such as internet blackouts shaped sentiment patterns. It outperformed multilingual transformers (mBERT: 67%, XLM-RoBERTa: 71%) and traditional machine learning methods (SVM and Logistic Regression: both 70%). These results highlight the effectiveness of language-specific models and offer valuable insights into public sentiment during political turmoil.




Blockchain technology, lauded for its transparent and immutable nature, introduces a novel trust model. However, its decentralized structure raises concerns about potential inclusion of malicious or illegal content. This study focuses on Ethereum, presenting a data identification and restoration algorithm. Successfully recovering 175 common files, 296 images, and 91,206 texts, we employed the FastText algorithm for sentiment analysis, achieving a 0.9 accuracy after parameter tuning. Classification revealed 70,189 neutral, 5,208 positive, and 15,810 negative texts, aiding in identifying sensitive or illicit information. Leveraging the NSFWJS library, we detected seven indecent images with 100% accuracy. Our findings expose the coexistence of benign and harmful content on the Ethereum blockchain, including personal data, explicit images, divisive language, and racial discrimination. Notably, sensitive information targeted Chinese government officials. Proposing preventative measures, our study offers valuable insights for public comprehension of blockchain technology and regulatory agency guidance. The algorithms employed present innovative solutions to address blockchain data privacy and security concerns.




Transformer-based models have been widely adopted for sentiment analysis tasks due to their exceptional ability to capture contextual information. However, these methods often exhibit suboptimal accuracy in certain scenarios. By analyzing their attention distributions, we observe that existing models tend to allocate attention primarily to common words, overlooking less popular yet highly task-relevant terms, which significantly impairs overall performance. To address this issue, we propose an Adversarial Feedback for Attention(AFA) training mechanism that enables the model to automatically redistribute attention weights to appropriate focal points without requiring manual annotations. This mechanism incorporates a dynamic masking strategy that attempts to mask various words to deceive a discriminator, while the discriminator strives to detect significant differences induced by these masks. Additionally, leveraging the sensitivity of Transformer models to token-level perturbations, we employ a policy gradient approach to optimize attention distributions, which facilitates efficient and rapid convergence. Experiments on three public datasets demonstrate that our method achieves state-of-the-art results. Furthermore, applying this training mechanism to enhance attention in large language models yields a further performance improvement of 12.6%
Visual Sentiment Analysis (VSA) is a challenging task due to the vast diversity of emotionally salient images and the inherent difficulty of acquiring sufficient data to capture this variability comprehensively. Key obstacles include building large-scale VSA datasets and developing effective methodologies that enable algorithms to identify emotionally significant elements within an image. These challenges are reflected in the limited generalization performance of VSA algorithms and models when trained and tested across different datasets. Starting from a pool of existing data collections, our approach enables the creation of a new larger dataset that not only contains a wider variety of images than the original ones, but also permits training new models with improved capability to focus on emotionally relevant combinations of image elements. This is achieved through the integration of the semiotic isotopy concept within the dataset creation process, providing deeper insights into the emotional content of images. Empirical evaluations show that models trained on a dataset generated with our method consistently outperform those trained on the original data collections, achieving superior generalization across major VSA benchmarks
Financial sentiment analysis enhances market understanding; however, standard natural language processing approaches encounter significant challenges when applied to small datasets. This study provides a comparative evaluation of embedding-based methods for financial news sentiment classification in resource-constrained environments. Word2Vec, GloVe, and sentence transformer representations are evaluated in combination with gradient boosting on manually labeled headlines. Experimental results identify a substantial gap between validation and test performance, with models performing worse than trivial baselines despite strong validation metrics. The analysis demonstrates that pretrained embeddings yield diminishing returns below a critical data sufficiency threshold, and that small validation sets contribute to overfitting during model selection. Practical application is illustrated through weekly sentiment aggregation and narrative summarization for market monitoring workflows. The findings offer empirical evidence that embedding quality alone cannot address fundamental data scarcity in sentiment classification. For practitioners operating with limited resources, the results indicate the need to consider alternative approaches such as few-shot learning, data augmentation, or lexicon-enhanced hybrid methods when labeled samples are scarce.