Recommendation is the task of providing personalized suggestions to users based on their preferences and behavior.
Serendipity in recommender systems (RSs) has attracted increasing attention as a concept that enhances user satisfaction by presenting unexpected and useful items. However, evaluating serendipitous performance remains challenging because its ground truth is generally unobservable. The existing offline metrics often depend on ambiguous definitions or are tailored to specific datasets and RSs, thereby limiting their generalizability. To address this issue, we propose a universally applicable evaluation framework that leverages large language models (LLMs) known for their extensive knowledge and reasoning capabilities, as evaluators. First, to improve the evaluation performance of the proposed framework, we assessed the serendipity prediction accuracy of LLMs using four different prompt strategies on a dataset containing user-annotated serendipitous ground truth and found that the chain-of-thought prompt achieved the highest accuracy. Next, we re-evaluated the serendipitous performance of both serendipity-oriented and general RSs using the proposed framework on three commonly used real-world datasets, without the ground truth. The results indicated that there was no serendipity-oriented RS that consistently outperformed across all datasets, and even a general RS sometimes achieved higher performance than the serendipity-oriented RS.





Modern Code Review (MCR) is a standard practice in software engineering, yet it demands substantial time and resource investments. Recent research has increasingly explored automating core review tasks using machine learning (ML) and deep learning (DL). As a result, there is substantial variability in task definitions, datasets, and evaluation procedures. This study provides the first comprehensive analysis of MCR automation research, aiming to characterize the field's evolution, formalize learning tasks, highlight methodological challenges, and offer actionable recommendations to guide future research. Focusing on the primary code review tasks, we systematically surveyed 691 publications and identified 24 relevant studies published between May 2015 and April 2024. Each study was analyzed in terms of tasks, models, metrics, baselines, results, validity concerns, and artifact availability. In particular, our analysis reveals significant potential for standardization, including 48 task metric combinations, 22 of which were unique to their original paper, and limited dataset reuse. We highlight challenges and derive concrete recommendations for examples such as the temporal bias threat, which are rarely addressed so far. Our work contributes to a clearer overview of the field, supports the framing of new research, helps to avoid pitfalls, and promotes greater standardization in evaluation practices.





User simulation is increasingly vital to develop and evaluate recommender systems (RSs). While Large Language Models (LLMs) offer promising avenues to simulate user behavior, they often struggle with the absence of specific domain alignment required for RSs and the efficiency demands of large-scale simulation. A vast yet underutilized resource for enhancing this alignment is the extensive user feedback inherent in RSs. However, directly leveraging such feedback presents two significant challenges. First, user feedback in RSs is often ambiguous and noisy, which negatively impacts effective preference alignment. Second, the massive volume of feedback largely hinders the efficiency of preference alignment, necessitating an efficient filtering mechanism to identify more informative samples. To overcome these hurdles, we introduce a novel data construction framework that leverages user feedback in RSs with advanced LLM capabilities to generate high-quality simulation data. Our framework unfolds in two key phases: (1) employing LLMs to generate cognitive decision-making processes on constructed simulation samples, reducing ambiguity in raw user feedback; (2) data distillation based on uncertainty estimation and behavior sampling to filter challenging yet denoised simulation samples. Accordingly, we fine-tune lightweight LLMs, as user simulators, using such high-quality dataset with corresponding decision-making processes. Extensive experiments verify that our framework significantly boosts the alignment with human preferences and in-domain reasoning capabilities of fine-tuned LLMs, and provides more insightful and interpretable signals when interacting with RSs. We believe our work will advance the RS community and offer valuable insights for broader human-centric AI research.

The rapid evolution of e-commerce has exposed the limitations of traditional product retrieval systems in managing complex, multi-turn user interactions. Recent advances in multimodal generative retrieval -- particularly those leveraging multimodal large language models (MLLMs) as retrievers -- have shown promise. However, most existing methods are tailored to single-turn scenarios and struggle to model the evolving intent and iterative nature of multi-turn dialogues when applied naively. Concurrently, test-time scaling has emerged as a powerful paradigm for improving large language model (LLM) performance through iterative inference-time refinement. Yet, its effectiveness typically relies on two conditions: (1) a well-defined problem space (e.g., mathematical reasoning), and (2) the model's ability to self-correct -- conditions that are rarely met in conversational product search. In this setting, user queries are often ambiguous and evolving, and MLLMs alone have difficulty grounding responses in a fixed product corpus. Motivated by these challenges, we propose a novel framework that introduces test-time scaling into conversational multimodal product retrieval. Our approach builds on a generative retriever, further augmented with a test-time reranking (TTR) mechanism that improves retrieval accuracy and better aligns results with evolving user intent throughout the dialogue. Experiments across multiple benchmarks show consistent improvements, with average gains of 14.5 points in MRR and 10.6 points in nDCG@1.

User queries in real-world recommendation systems often combine structured constraints (e.g., category, attributes) with unstructured preferences (e.g., product descriptions or reviews). We introduce HyST (Hybrid retrieval over Semi-structured Tabular data), a hybrid retrieval framework that combines LLM-powered structured filtering with semantic embedding search to support complex information needs over semi-structured tabular data. HyST extracts attribute-level constraints from natural language using large language models (LLMs) and applies them as metadata filters, while processing the remaining unstructured query components via embedding-based retrieval. Experiments on a semi-structured benchmark show that HyST consistently outperforms tradtional baselines, highlighting the importance of structured filtering in improving retrieval precision, offering a scalable and accurate solution for real-world user queries.


Imagine decision-makers uploading data and, within minutes, receiving clear, actionable insights delivered straight to their fingertips. That is the promise of the AI Data Scientist, an autonomous Agent powered by large language models (LLMs) that closes the gap between evidence and action. Rather than simply writing code or responding to prompts, it reasons through questions, tests ideas, and delivers end-to-end insights at a pace far beyond traditional workflows. Guided by the scientific tenet of the hypothesis, this Agent uncovers explanatory patterns in data, evaluates their statistical significance, and uses them to inform predictive modeling. It then translates these results into recommendations that are both rigorous and accessible. At the core of the AI Data Scientist is a team of specialized LLM Subagents, each responsible for a distinct task such as data cleaning, statistical testing, validation, and plain-language communication. These Subagents write their own code, reason about causality, and identify when additional data is needed to support sound conclusions. Together, they achieve in minutes what might otherwise take days or weeks, enabling a new kind of interaction that makes deep data science both accessible and actionable.

Modern app store recommender systems struggle with multiple-category apps, as traditional taxonomies fail to capture overlapping semantics, leading to suboptimal personalization. We propose PCR-CA (Parallel Codebook Representations with Contrastive Alignment), an end-to-end framework for improved CTR prediction. PCR-CA first extracts compact multimodal embeddings from app text, then introduces a Parallel Codebook VQ-AE module that learns discrete semantic representations across multiple codebooks in parallel -- unlike hierarchical residual quantization (RQ-VAE). This design enables independent encoding of diverse aspects (e.g., gameplay, art style), better modeling multiple-category semantics. To bridge semantic and collaborative signals, we employ a contrastive alignment loss at both the user and item levels, enhancing representation learning for long-tail items. Additionally, a dual-attention fusion mechanism combines ID-based and semantic features to capture user interests, especially for long-tail apps. Experiments on a large-scale dataset show PCR-CA achieves a +0.76% AUC improvement over strong baselines, with +2.15% AUC gains for long-tail apps. Online A/B testing further validates our approach, showing a +10.52% lift in CTR and a +16.30% improvement in CVR, demonstrating PCR-CA's effectiveness in real-world deployment. The new framework has now been fully deployed on the Microsoft Store.

We present SEER-VAR, a novel framework for egocentric vehicle-based augmented reality (AR) that unifies semantic decomposition, Context-Aware SLAM Branches (CASB), and LLM-driven recommendation. Unlike existing systems that assume static or single-view settings, SEER-VAR dynamically separates cabin and road scenes via depth-guided vision-language grounding. Two SLAM branches track egocentric motion in each context, while a GPT-based module generates context-aware overlays such as dashboard cues and hazard alerts. To support evaluation, we introduce EgoSLAM-Drive, a real-world dataset featuring synchronized egocentric views, 6DoF ground-truth poses, and AR annotations across diverse driving scenarios. Experiments demonstrate that SEER-VAR achieves robust spatial alignment and perceptually coherent AR rendering across varied environments. As one of the first to explore LLM-based AR recommendation in egocentric driving, we address the lack of comparable systems through structured prompting and detailed user studies. Results show that SEER-VAR enhances perceived scene understanding, overlay relevance, and driver ease, providing an effective foundation for future research in this direction. Code and dataset will be made open source.

One of the essential issues in decision problems and preference modeling is the number of comparisons and their pattern to ask from the decision maker. We focus on the optimal patterns of pairwise comparisons and the sequence including the most (close to) optimal cases based on the results of a color selection experiment. In the test, six colors (red, green, blue, magenta, turquoise, yellow) were evaluated with pairwise comparisons as well as in a direct manner, on color-calibrated tablets in ISO standardized sensory test booths of a sensory laboratory. All the possible patterns of comparisons resulting in a connected representing graph were evaluated against the complete data based on 301 individual's pairwise comparison matrices (PCMs) using the logarithmic least squares weight calculation technique. It is shown that the empirical results, i.e., the empirical distributions of the elements of PCMs, are quite similar to the former simulated outcomes from the literature. The obtained empirically optimal patterns of comparisons were the best or the second best in the former simulations as well, while the sequence of comparisons that contains the most (close to) optimal patterns is exactly the same. In order to enhance the applicability of the results, besides the presentation of graph of graphs, and the representing graphs of the patterns that describe the proposed sequence of comparisons themselves, the recommendations are also detailed in a table format as well as in a Java application.





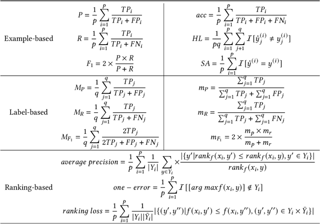
Classification in the context of multi-label data streams represents a challenge that has attracted significant attention due to its high real-world applicability. However, this task faces problems inherent to dynamic environments, such as the continuous arrival of data at high speed and volume, changes in the data distribution (concept drift), the emergence of new labels (concept evolution), and the latency in the arrival of ground truth labels. This systematic literature review presents an in-depth analysis of multi-label data stream classification proposals. We characterize the latest methods in the literature, providing a comprehensive overview, building a thorough hierarchy, and discussing how the proposals approach each problem. Furthermore, we discuss the adopted evaluation strategies and analyze the methods' asymptotic complexity and resource consumption. Finally, we identify the main gaps and offer recommendations for future research directions in the field.
