Abstract:In this work, we investigate the online learning problem of revenue maximization in ad auctions, where the seller needs to learn the click-through rates (CTRs) of each ad candidate and charge the price of the winner through a pay-per-click manner. We focus on two models of the advertisers' strategic behaviors. First, we assume that the advertiser is completely myopic; i.e.~in each round, they aim to maximize their utility only for the current round. In this setting, we develop an online mechanism based on upper-confidence bounds that achieves a tight $O(\sqrt{T})$ regret in the worst-case and negative regret when the values are static across all the auctions and there is a gap between the highest expected value (i.e.~value multiplied by their CTR) and second highest expected value ad. Next, we assume that the advertiser is non-myopic and cares about their long term utility. This setting is much more complex since an advertiser is incentivized to influence the mechanism by bidding strategically in earlier rounds. In this setting, we provide an algorithm to achieve negative regret for the static valuation setting (with a positive gap), which is in sharp contrast with the prior work that shows $O(T^{2/3})$ regret when the valuation is generated by adversary.
Abstract:Business Process Management (BPM) is gaining increasing attention as it has the potential to cut costs while boosting output and quality. Business process document generation is a crucial stage in BPM. However, due to a shortage of datasets, data-driven deep learning techniques struggle to deliver the expected results. We propose an approach to transform Conditional Process Trees (CPTs) into Business Process Text Sketches (BPTSs) using Large Language Models (LLMs). The traditional prompting approach (Few-shot In-Context Learning) tries to get the correct answer in one go, and it can find the pattern of transforming simple CPTs into BPTSs, but for close-domain and CPTs with complex hierarchy, the traditional prompts perform weakly and with low correctness. We suggest using this technique to break down a difficult CPT into a number of basic CPTs and then solve each one in turn, drawing inspiration from the divide-and-conquer strategy. We chose 100 process trees with depths ranging from 2 to 5 at random, as well as CPTs with many nodes, many degrees of selection, and cyclic nesting. Experiments show that our method can achieve a correct rate of 93.42%, which is 45.17% better than traditional prompting methods. Our proposed method provides a solution for business process document generation in the absence of datasets, and secondly, it becomes potentially possible to provide a large number of datasets for the process model extraction (PME) domain.

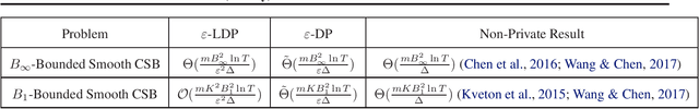
Abstract:In this paper, we study Combinatorial Semi-Bandits (CSB) that is an extension of classic Multi-Armed Bandits (MAB) under Differential Privacy (DP) and stronger Local Differential Privacy (LDP) setting. Since the server receives more information from users in CSB, it usually causes additional dependence on the dimension of data, which is a notorious side-effect for privacy preserving learning. However for CSB under two common smoothness assumptions \cite{kveton2015tight,chen2016combinatorial}, we show it is possible to remove this side-effect. In detail, for $B_{\infty}$-bounded smooth CSB under either $\varepsilon$-LDP or $\varepsilon$-DP, we prove the optimal regret bound is $\Theta(\frac{mB^2_{\infty}\ln T } {\Delta\epsilon^2})$ or $\tilde{\Theta}(\frac{mB^2_{\infty}\ln T} { \Delta\epsilon})$ respectively, where $T$ is time period, $\Delta$ is the gap of rewards and $m$ is the number of base arms, by proposing novel algorithms and matching lower bounds. For $B_1$-bounded smooth CSB under $\varepsilon$-DP, we also prove the optimal regret bound is $\tilde{\Theta}(\frac{mKB^2_1\ln T} {\Delta\epsilon})$ with both upper bound and lower bound, where $K$ is the maximum number of feedback in each round. All above results nearly match corresponding non-private optimal rates, which imply there is no additional price for (locally) differentially private CSB in above common settings.