Abstract:Spatial reasoning over three-dimensional scenes is a core capability for embodied intelligence, yet continuous model improvement remains bottlenecked by the cost of geometric annotation. The self-evolving paradigm offers a promising path, but its reliance on model consensus to construct pseudo-labels causes training to reinforce rather than correct the model's own geometric errors. We identify a property unique to 3D spatial reasoning that circumvents this limitation: ground truth is a deterministic consequence of the underlying geometry, computable exactly from point clouds and camera poses without any model involvement. Building on this insight, we present SpatialEvo, a self-evolving framework for 3D spatial reasoning, centered on the Deterministic Geometric Environment (DGE). The DGE formalizes 16 spatial reasoning task categories under explicit geometric validation rules and converts unannotated 3D scenes into zero-noise interactive oracles, replacing model consensus with objective physical feedback. A single shared-parameter policy co-evolves across questioner and solver roles under DGE constraints: the questioner generates physically valid spatial questions grounded in scene observations, while the solver derives precise answers against DGE-verified ground truth. A task-adaptive scheduler endogenously concentrates training on the model's weakest categories, producing a dynamic curriculum without manual design. Experiments across nine benchmarks demonstrate that SpatialEvo achieves the highest average score at both 3B and 7B scales, with consistent gains on spatial reasoning benchmarks and no degradation on general visual understanding.
Abstract:Existing web-generation benchmarks rely on text prompts or static screenshots as input. However, videos naturally convey richer signals such as interaction flow, transition timing, and motion continuity, which are essential for faithful webpage recreation. Despite this potential, video-conditioned webpage generation remains largely unexplored, with no dedicated benchmark for this task. To fill this gap, we introduce WebVR, a benchmark that evaluates whether MLLMs can faithfully recreate webpages from demonstration videos. WebVR contains 175 webpages across diverse categories, all constructed through a controlled synthesis pipeline rather than web crawling, ensuring varied and realistic demonstrations without overlap with existing online pages. We also design a fine-grained, human-aligned visual rubric that evaluates the generated webpages across multiple dimensions. Experiments on 19 models reveal substantial gaps in recreating fine-grained style and motion quality, while the rubric-based automatic evaluation achieves 96% agreement with human preferences. We release the dataset, evaluation toolkit, and baseline results to support future research on video-to-webpage generation.
Abstract:Recent advancements in Unified Multimodal Models (UMMs) have significantly advanced text-to-image (T2I) generation, particularly through the integration of Chain-of-Thought (CoT) reasoning. However, existing CoT-based T2I methods largely rely on abstract natural-language planning, which lacks the precision required for complex spatial layouts, structured visual elements, and dense textual content. In this work, we propose CoCo (Code-as-CoT), a code-driven reasoning framework that represents the reasoning process as executable code, enabling explicit and verifiable intermediate planning for image generation. Given a text prompt, CoCo first generates executable code that specifies the structural layout of the scene, which is then executed in a sandboxed environment to render a deterministic draft image. The model subsequently refines this draft through fine-grained image editing to produce the final high-fidelity result. To support this training paradigm, we construct CoCo-10K, a curated dataset containing structured draft-final image pairs designed to teach both structured draft construction and corrective visual refinement. Empirical evaluations on StructT2IBench, OneIG-Bench, and LongText-Bench show that CoCo achieves improvements of +68.83%, +54.8%, and +41.23% over direct generation, while also outperforming other generation methods empowered by CoT. These results demonstrate that executable code is an effective and reliable reasoning paradigm for precise, controllable, and structured text-to-image generation. The code is available at: https://github.com/micky-li-hd/CoCo
Abstract:Proactive and real-time interactive experiences are essential for human-like AI companions, yet face three key challenges: (1) achieving low-latency inference under continuous streaming inputs, (2) autonomously deciding when to respond, and (3) controlling both quality and quantity of generated content to meet real-time constraints. In this work, we instantiate AI companions through two gaming scenarios, commentator and guide, selected for their suitability for automatic evaluation. We introduce the Live Gaming Benchmark, a large-scale dataset with three representative scenarios: solo commentary, co-commentary, and user guidance, and present Proact-VL, a general framework that shapes multimodal language models into proactive, real-time interactive agents capable of human-like environment perception and interaction. Extensive experiments show Proact-VL achieves superior response latency and quality while maintaining strong video understanding capabilities, demonstrating its practicality for real-time interactive applications.
Abstract:Recent advancements in image generation models have enabled the prediction of future Graphical User Interface (GUI) states based on user instructions. However, existing benchmarks primarily focus on general domain visual fidelity, leaving the evaluation of state transitions and temporal coherence in GUI-specific contexts underexplored. To address this gap, we introduce GEBench, a comprehensive benchmark for evaluating dynamic interaction and temporal coherence in GUI generation. GEBench comprises 700 carefully curated samples spanning five task categories, covering both single-step interactions and multi-step trajectories across real-world and fictional scenarios, as well as grounding point localization. To support systematic evaluation, we propose GE-Score, a novel five-dimensional metric that assesses Goal Achievement, Interaction Logic, Content Consistency, UI Plausibility, and Visual Quality. Extensive evaluations on current models indicate that while they perform well on single-step transitions, they struggle significantly with maintaining temporal coherence and spatial grounding over longer interaction sequences. Our findings identify icon interpretation, text rendering, and localization precision as critical bottlenecks. This work provides a foundation for systematic assessment and suggests promising directions for future research toward building high-fidelity generative GUI environments. The code is available at: https://github.com/stepfun-ai/GEBench.



Abstract:In this paper, we study zeroth-order algorithms for nonconvex minimax problems with coupled linear constraints under the deterministic and stochastic settings, which have attracted wide attention in machine learning, signal processing and many other fields in recent years, e.g., adversarial attacks in resource allocation problems and network flow problems etc. We propose two single-loop algorithms, namely the zero-order primal-dual alternating projected gradient (ZO-PDAPG) algorithm and the zero-order regularized momentum primal-dual projected gradient algorithm (ZO-RMPDPG), for solving deterministic and stochastic nonconvex-(strongly) concave minimax problems with coupled linear constraints. The iteration complexity of the two proposed algorithms to obtain an $\varepsilon$-stationary point are proved to be $\mathcal{O}(\varepsilon ^{-2})$ (resp. $\mathcal{O}(\varepsilon ^{-4})$) for solving nonconvex-strongly concave (resp. nonconvex-concave) minimax problems with coupled linear constraints under deterministic settings and $\tilde{\mathcal{O}}(\varepsilon ^{-3})$ (resp. $\tilde{\mathcal{O}}(\varepsilon ^{-6.5})$) under stochastic settings respectively. To the best of our knowledge, they are the first two zeroth-order algorithms with iterative complexity guarantees for solving nonconvex-(strongly) concave minimax problems with coupled linear constraints under the deterministic and stochastic settings.


Abstract:In this paper, we study zeroth-order algorithms for nonconvex-concave minimax problems, which have attracted widely attention in machine learning, signal processing and many other fields in recent years. We propose a zeroth-order alternating randomized gradient projection (ZO-AGP) algorithm for smooth nonconvex-concave minimax problems, and its iteration complexity to obtain an $\varepsilon$-stationary point is bounded by $\mathcal{O}(\varepsilon^{-4})$, and the number of function value estimation is bounded by $\mathcal{O}(d_{x}\varepsilon^{-4}+d_{y}\varepsilon^{-6})$ per iteration. Moreover, we propose a zeroth-order block alternating randomized proximal gradient algorithm (ZO-BAPG) for solving block-wise nonsmooth nonconvex-concave minimax optimization problems, and the iteration complexity to obtain an $\varepsilon$-stationary point is bounded by $\mathcal{O}(\varepsilon^{-4})$ and the number of function value estimation per iteration is bounded by $\mathcal{O}(K d_{x}\varepsilon^{-4}+d_{y}\varepsilon^{-6})$. To the best of our knowledge, this is the first time that zeroth-order algorithms with iteration complexity gurantee are developed for solving both general smooth and block-wise nonsmooth nonconvex-concave minimax problems. Numerical results on data poisoning attack problem validate the efficiency of the proposed algorithms.




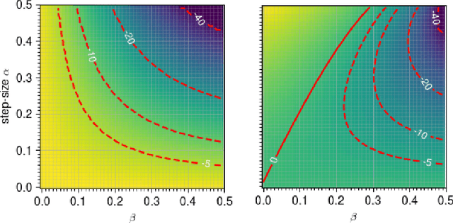
Abstract:Training generative adversarial networks (GANs) often suffers from cyclic behaviors of iterates. Based on a simple intuition that the direction of centripetal acceleration of an object moving in uniform circular motion is toward the center of the circle, we present the Simultaneous Centripetal Acceleration (SCA) method and the Alternating Centripetal Acceleration (ACA) method to alleviate the cyclic behaviors. Under suitable conditions, gradient descent methods with either SCA or ACA are shown to be linearly convergent for bilinear games. Numerical experiments are conducted by applying ACA to existing gradient-based algorithms in a GAN setup scenario, which demonstrate the superiority of ACA.