Abstract:With the rapid development of unmanned aerial vehicles (UAVs), it is paramount to ensure safe and efficient operations in open airspaces. The remote identification (Remote ID) is deemed an effective real-time UAV monitoring system by the federal aviation administration, which holds potentials for enabling inter-UAV communications. This paper deeply investigates the application of Remote ID for UAV collision avoidance while minimizing communication delays. First, we propose a Remote ID based distributed multi-UAV collision avoidance (DMUCA) framework to support the collision detection, avoidance decision-making, and trajectory recovery. Next, the average transmission delays for Remote ID messages are analyzed, incorporating the packet reception mechanisms and packet loss due to interference. The optimization problem is formulated to minimize the long-term average communication delay, where UAVs can flexibly select the Remote ID protocol to enhance the collision avoidance performance. To tackle the problem, we design a multi-agent deep Q-network based adaptive communication configuration algorithm, allowing UAVs to autonomously learn the optimal protocol configurations in dynamic environments. Finally, numerical results verify the feasibility of the proposed DMUCA framework, and the proposed mechanism can reduce the average delay by 32% compared to the fixed protocol configuration.




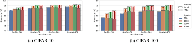
Abstract:Contrastive representation learning has shown to be an effective way of learning representations from unlabeled data. However, much progress has been made in vision domains relying on data augmentations carefully designed using domain knowledge. In this work, we propose i-Mix, a simple yet effective regularization strategy for improving contrastive representation learning in both vision and non-vision domains. We cast contrastive learning as training a non-parametric classifier by assigning a unique virtual class to each data in a batch. Then, data instances are mixed in both the input and virtual label spaces, providing more augmented data during training. In experiments, we demonstrate that i-Mix consistently improves the quality of self-supervised representations across domains, resulting in significant performance gains on downstream tasks. Furthermore, we confirm its regularization effect via extensive ablation studies across model and dataset sizes.