Abstract:The recent surge in 4D Gaussian Splatting (4DGS) has achieved impressive dynamic scene reconstruction. While these methods demonstrate remarkable performance, the specific drivers behind such gains remain less explored, making a systematic understanding of the underlying principles challenging. In this paper, we perform a comprehensive analysis of these hidden factors to provide a clearer perspective on the 4DGS framework. We first establish a controlled baseline, FreeTimeGS_ours, by formalizing and reproducing the heuristics of the state-of-the-art FreeTimeGS. Using this framework, we dissect 4DGS along its fundamental axes and uncover key secrets, including the emergent temporal partitioning driven by Gaussian durations and the discrepancy between photometric fidelity and spatiotemporal consistency. Based on these insights, we propose FreeTimeGS++, a principled method that employs gated marginalization and neural velocity fields to achieve superior stability and robust dynamic representations. Our approach yields reproducible results with reduced run-to-run variance. We will release our implementation to provide a reliable foundation for future 4DGS research.
Abstract:Recent 4D Gaussian Splatting (4DGS) methods achieve impressive dynamic scene reconstruction but often rely on piecewise linear velocity approximations and short temporal windows. This disjointed modeling leads to severe temporal fragmentation, forcing primitives to be repeatedly eliminated and regenerated to track complex nonlinear dynamics. This makeshift approximation eliminates the long-term temporal identity of objects and causes an inevitable proliferation of Gaussians, hindering scalability to extended video sequences. To address this, we propose TRiGS, a novel 4D representation that utilizes unified, continuous geometric transformations. By integrating $SE(3)$ transformations, hierarchical Bezier residuals, and learnable local anchors, TRiGS models geometrically consistent rigid motions for individual primitives. This continuous formulation preserves temporal identity and effectively mitigates unbounded memory growth. Extensive experiments demonstrate that TRiGS achieves high fidelity rendering on standard benchmarks while uniquely scaling to extended video sequences (e.g., 600 to 1200 frames) without severe memory bottlenecks, significantly outperforming prior works in temporal stability.
Abstract:Recent advances in 3D foundation models have led to growing interest in reconstructing humans and their surrounding environments. However, most existing approaches focus on monocular inputs, and extending them to multi-view settings requires additional overhead modules or preprocessed data. To this end, we present CHROMM, a unified framework that jointly estimates cameras, scene point clouds, and human meshes from multi-person multi-view videos without relying on external modules or preprocessing. We integrate strong geometric and human priors from Pi3X and Multi-HMR into a single trainable neural network architecture, and introduce a scale adjustment module to solve the scale discrepancy between humans and the scene. We also introduce a multi-view fusion strategy to aggregate per-view estimates into a single representation at test-time. Finally, we propose a geometry-based multi-person association method, which is more robust than appearance-based approaches. Experiments on EMDB, RICH, EgoHumans, and EgoExo4D show that CHROMM achieves competitive performance in global human motion and multi-view pose estimation while running over 8x faster than prior optimization-based multi-view approaches. Project page: https://nstar1125.github.io/chromm.
Abstract:3D human pose estimation (HPE) is characterized by intricate local and global dependencies among joints. Conventional supervised losses are limited in capturing these correlations because they treat each joint independently. Previous studies have attempted to promote structural consistency through manually designed priors or rule-based constraints; however, these approaches typically require manual specification and are often non-differentiable, limiting their use as end-to-end training objectives. We propose SEAL-pose, a data-driven framework in which a learnable loss-net trains a pose-net by evaluating structural plausibility. Rather than relying on hand-crafted priors, our joint-graph-based design enables the loss-net to learn complex structural dependencies directly from data. Extensive experiments on three 3D HPE benchmarks with eight backbones show that SEAL-pose reduces per-joint errors and improves pose plausibility compared with the corresponding backbones across all settings. Beyond improving each backbone, SEAL-pose also outperforms models with explicit structural constraints, despite not enforcing any such constraints. Finally, we analyze the relationship between the loss-net and structural consistency, and evaluate SEAL-pose in cross-dataset and in-the-wild settings.
Abstract:Anomaly detection is crucial in industrial applications for identifying rare and unseen patterns to ensure system reliability. Traditional models, trained on a single class of normal data, struggle with real-world distributions where normal data exhibit diverse patterns, leading to class imbalance and long-tailed anomaly score distributions (LTD). This imbalance skews model training and degrades detection performance, especially for minority instances. To address this issue, we propose a novel importance-weighted loss designed specifically for anomaly detection. Compared to the previous method for LTD in classification, our method does not require prior knowledge of normal data classes. Instead, we introduce a weighted loss function that incorporates importance sampling to align the distribution of anomaly scores with a target Gaussian, ensuring a balanced representation of normal data. Extensive experiments on three benchmark image datasets and three real-world hyperspectral imaging datasets demonstrate the robustness of our approach in mitigating LTD-induced bias. Our method improves anomaly detection performance by 0.043, highlighting its effectiveness in real-world applications.




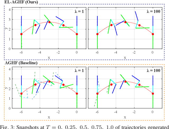
Abstract:We propose a constrained Affine Geometric Heat Flow (AGHF) method that evolves so as to suppress the dynamics gaps associated with inadmissible control directions. AGHF provides a unified framework applicable to a wide range of motion planning problems, including both holonomic and non-holonomic systems. However, to generate admissible trajectories, it requires assigning infinite penalties to inadmissible control directions. This design choice, while theoretically valid, often leads to high computational cost or numerical instability when the penalty becomes excessively large. To overcome this limitation, we extend AGHF in an Augmented Lagrangian method approach by introducing a dual trajectory related to dynamics gaps in inadmissible control directions. This method solves the constrained variational problem as an extended parabolic partial differential equation defined over both the state and dual trajectorys, ensuring the admissibility of the resulting trajectory. We demonstrate the effectiveness of our algorithm through simulation examples.
Abstract:Reconstructing dynamic radiance fields from video clips is challenging, especially when entertainment videos like TV shows are given. Many challenges make the reconstruction difficult due to (1) actors occluding with each other and having diverse facial expressions, (2) cluttered stages, and (3) small baseline views or sudden shot changes. To address these issues, we present ShowMak3r, a comprehensive reconstruction pipeline that allows the editing of scenes like how video clips are made in a production control room. In ShowMak3r, a 3DLocator module locates recovered actors on the stage using depth prior and estimates unseen human poses via interpolation. The proposed ShotMatcher module then tracks the actors under shot changes. Furthermore, ShowMak3r introduces a face-fitting network that dynamically recovers the actors' expressions. Experiments on Sitcoms3D dataset show that our pipeline can reassemble TV show scenes with new cameras at different timestamps. We also demonstrate that ShowMak3r enables interesting applications such as synthetic shot-making, actor relocation, insertion, deletion, and pose manipulation. Project page : https://nstar1125.github.io/showmak3r




Abstract:The impressive development of large language models (LLMs) is expanding into the realm of large multimodal models (LMMs), which incorporate multiple types of data beyond text. However, the nature of multimodal models leads to significant expenses in the creation of training data. Furthermore, constructing multilingual data for LMMs presents its own set of challenges due to language diversity and complexity. Therefore, in this study, we propose two cost-effective methods to solve this problem: (1) vocabulary expansion and pretraining of multilingual LLM for specific languages, and (2) automatic and elaborate construction of multimodal datasets using GPT4-V. Based on015 these methods, we constructed a 91K English-Korean-Chinese multilingual, multimodal training dataset. Additionally, we developed a bilingual multimodal model that exhibits excellent performance in both Korean and English, surpassing existing approaches.




Abstract:This paper reviews the Challenge on Image Demoireing that was part of the New Trends in Image Restoration and Enhancement (NTIRE) workshop, held in conjunction with CVPR 2020. Demoireing is a difficult task of removing moire patterns from an image to reveal an underlying clean image. The challenge was divided into two tracks. Track 1 targeted the single image demoireing problem, which seeks to remove moire patterns from a single image. Track 2 focused on the burst demoireing problem, where a set of degraded moire images of the same scene were provided as input, with the goal of producing a single demoired image as output. The methods were ranked in terms of their fidelity, measured using the peak signal-to-noise ratio (PSNR) between the ground truth clean images and the restored images produced by the participants' methods. The tracks had 142 and 99 registered participants, respectively, with a total of 14 and 6 submissions in the final testing stage. The entries span the current state-of-the-art in image and burst image demoireing problems.