PSL, SIERRA




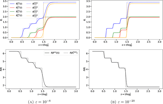
Abstract:Attention-based models, such as Transformer, excel across various tasks but lack a comprehensive theoretical understanding, especially regarding token-wise sparsity and internal linear representations. To address this gap, we introduce the single-location regression task, where only one token in a sequence determines the output, and its position is a latent random variable, retrievable via a linear projection of the input. To solve this task, we propose a dedicated predictor, which turns out to be a simplified version of a non-linear self-attention layer. We study its theoretical properties, by showing its asymptotic Bayes optimality and analyzing its training dynamics. In particular, despite the non-convex nature of the problem, the predictor effectively learns the underlying structure. This work highlights the capacity of attention mechanisms to handle sparse token information and internal linear structures.




Abstract:We investigate the out-of-domain generalization of random feature (RF) models and Transformers. We first prove that in the `generalization on the unseen (GOTU)' setting, where training data is fully seen in some part of the domain but testing is made on another part, and for RF models in the small feature regime, the convergence takes place to interpolators of minimal degree as in the Boolean case (Abbe et al., 2023). We then consider the sparse target regime and explain how this regime relates to the small feature regime, but with a different regularization term that can alter the picture in the non-Boolean case. We show two different outcomes for the sparse regime with q-ary data tokens: (1) if the data is embedded with roots of unities, then a min-degree interpolator is learned like in the Boolean case for RF models, (2) if the data is not embedded as such, e.g., simply as integers, then RF models and Transformers may not learn minimal degree interpolators. This shows that the Boolean setting and its roots of unities generalization are special cases where the minimal degree interpolator offers a rare characterization of how learning takes place. For more general integer and real-valued settings, a more nuanced picture remains to be fully characterized.




Abstract:We study the training dynamics of shallow neural networks, in a two-timescale regime in which the stepsizes for the inner layer are much smaller than those for the outer layer. In this regime, we prove convergence of the gradient flow to a global optimum of the non-convex optimization problem in a simple univariate setting. The number of neurons need not be asymptotically large for our result to hold, distinguishing our result from popular recent approaches such as the neural tangent kernel or mean-field regimes. Experimental illustration is provided, showing that the stochastic gradient descent behaves according to our description of the gradient flow and thus converges to a global optimum in the two-timescale regime, but can fail outside of this regime.
Abstract:Gradient-based learning in multi-layer neural networks displays a number of striking features. In particular, the decrease rate of empirical risk is non-monotone even after averaging over large batches. Long plateaus in which one observes barely any progress alternate with intervals of rapid decrease. These successive phases of learning often take place on very different time scales. Finally, models learnt in an early phase are typically `simpler' or `easier to learn' although in a way that is difficult to formalize. Although theoretical explanations of these phenomena have been put forward, each of them captures at best certain specific regimes. In this paper, we study the gradient flow dynamics of a wide two-layer neural network in high-dimension, when data are distributed according to a single-index model (i.e., the target function depends on a one-dimensional projection of the covariates). Based on a mixture of new rigorous results, non-rigorous mathematical derivations, and numerical simulations, we propose a scenario for the learning dynamics in this setting. In particular, the proposed evolution exhibits separation of timescales and intermittency. These behaviors arise naturally because the population gradient flow can be recast as a singularly perturbed dynamical system.

Abstract:Diagonal linear networks (DLNs) are a toy simplification of artificial neural networks; they consist in a quadratic reparametrization of linear regression inducing a sparse implicit regularization. In this paper, we describe the trajectory of the gradient flow of DLNs in the limit of small initialization. We show that incremental learning is effectively performed in the limit: coordinates are successively activated, while the iterate is the minimizer of the loss constrained to have support on the active coordinates only. This shows that the sparse implicit regularization of DLNs decreases with time. This work is restricted to the underparametrized regime with anti-correlated features for technical reasons.
Abstract:Approximate-message passing (AMP) algorithms have become an important element of high-dimensional statistical inference, mostly due to their adaptability and concentration properties, the state evolution (SE) equations. This is demonstrated by the growing number of new iterations proposed for increasingly complex problems, ranging from multi-layer inference to low-rank matrix estimation with elaborate priors. In this paper, we address the following questions: is there a structure underlying all AMP iterations that unifies them in a common framework? Can we use such a structure to give a modular proof of state evolution equations, adaptable to new AMP iterations without reproducing each time the full argument ? We propose an answer to both questions, showing that AMP instances can be generically indexed by an oriented graph. This enables to give a unified interpretation of these iterations, independent from the problem they solve, and a way of composing them arbitrarily. We then show that all AMP iterations indexed by such a graph admit rigorous SE equations, extending the reach of previous proofs, and proving a number of recent heuristic derivations of those equations. Our proof naturally includes non-separable functions and we show how existing refinements, such as spatial coupling or matrix-valued variables, can be combined with our framework.



Abstract:We introduce the continuized Nesterov acceleration, a close variant of Nesterov acceleration whose variables are indexed by a continuous time parameter. The two variables continuously mix following a linear ordinary differential equation and take gradient steps at random times. This continuized variant benefits from the best of the continuous and the discrete frameworks: as a continuous process, one can use differential calculus to analyze convergence and obtain analytical expressions for the parameters; and a discretization of the continuized process can be computed exactly with convergence rates similar to those of Nesterov original acceleration. We show that the discretization has the same structure as Nesterov acceleration, but with random parameters. We provide continuized Nesterov acceleration under deterministic as well as stochastic gradients, with either additive or multiplicative noise. Finally, using our continuized framework and expressing the gossip averaging problem as the stochastic minimization of a certain energy function, we provide the first rigorous acceleration of asynchronous gossip algorithms.




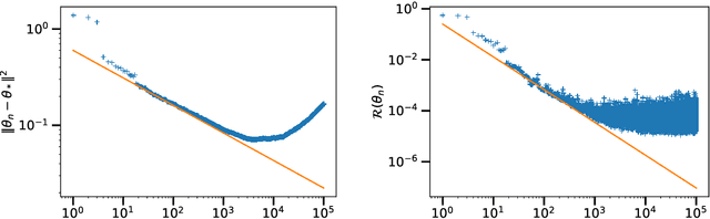
Abstract:In the context of statistical supervised learning, the noiseless linear model assumes that there exists a deterministic linear relation $Y = \langle \theta_*, X \rangle$ between the random output $Y$ and the random feature vector $\Phi(U)$, a potentially non-linear transformation of the inputs $U$. We analyze the convergence of single-pass, fixed step-size stochastic gradient descent on the least-square risk under this model. The convergence of the iterates to the optimum $\theta_*$ and the decay of the generalization error follow polynomial convergence rates with exponents that both depend on the regularities of the optimum $\theta_*$ and of the feature vectors $\Phi(u)$. We interpret our result in the reproducing kernel Hilbert space framework; as a special case, we analyze an online algorithm for estimating a real function on the unit interval from the noiseless observation of its value at randomly sampled points. The convergence depends on the Sobolev smoothness of the function and of a chosen kernel. Finally, we apply our analysis beyond the supervised learning setting to obtain convergence rates for the averaging process (a.k.a. gossip algorithm) on a graph depending on its spectral dimension.




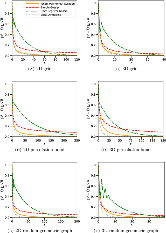
Abstract:Consider a network of agents connected by communication links, where each agent holds a real value. The gossip problem consists in estimating the average of the values diffused in the network in a distributed manner. Current techniques for gossiping are designed to deal with worst-case scenarios, which is irrelevant in applications to distributed statistical learning and denoising in sensor networks. We design second-order gossip methods tailor-made for the case where the real values are i.i.d. samples from the same distribution. In some regular network structures, we are able to prove optimality of our methods, and simulations suggest that they are efficient in a wide range of random networks. Our approach of gossip stems from a new acceleration framework using the family of orthogonal polynomials with respect to the spectral measure of the network graph.