



Abstract:Ambient backscatter communication (AmBC) leverages the existing ambient radio frequency (RF) environment to implement communication with battery-free devices. One critical challenge of AmBC systems is signal recovery because the transmitted information bits are embedded in the ambient RF signals and these are unknown and uncontrollable. To address this problem, most existing approaches use averaging-based energy detectors and consequently the data rate is low and there is an error floor. Here we propose a new detection strategy based on the ratio between signals received from a multiple-antenna Reader. The advantage of using the ratio is that ambient RF signals are removed directly from the embedded signals without averaging and hence it can increase data rates and avoid the error floor. Different from original ratio detectors that use the magnitude ratio of the signals between two Reader antennas, in our proposed approach, we utilize the complex ratio so that phase information is preserved and propose an accurate linear channel model approximation. This allows the application of existing linear detection techniques from which we can obtain a minimum distance detector and closed-form expressions for bit error rate (BER). In addition, averaging, coding and interleaving can also be included to further enhance the BER. The results are also general, allowing any number of Reader antennas to be utilized in the approach. Numerical results demonstrate that the proposed approach performs better than approaches based on energy detection and original ratio detectors.




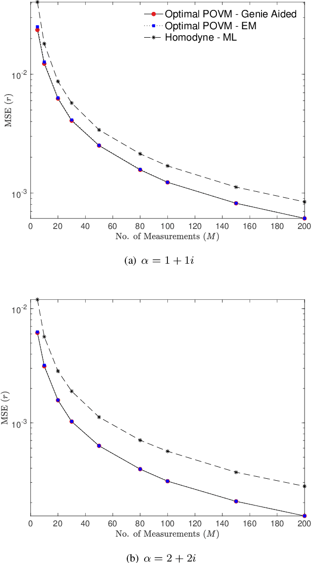
Abstract:We propose a machine learning framework for parameter estimation of single mode Gaussian quantum states. Under a Bayesian framework, our approach estimates parameters of suitable prior distributions from measured data. For phase-space displacement and squeezing parameter estimation, this is achieved by introducing Expectation-Maximization (EM) based algorithms, while for phase parameter estimation an empirical Bayes method is applied. The estimated prior distribution parameters along with the observed data are used for finding the optimal Bayesian estimate of the unknown displacement, squeezing and phase parameters. Our simulation results show that the proposed algorithms have estimation performance that is very close to that of Genie Aided Bayesian estimators, that assume perfect knowledge of the prior parameters. Our proposed methods can be utilized by experimentalists to find the optimum Bayesian estimate of parameters of Gaussian quantum states by using only the observed measurements without requiring any knowledge about the prior distribution parameters.



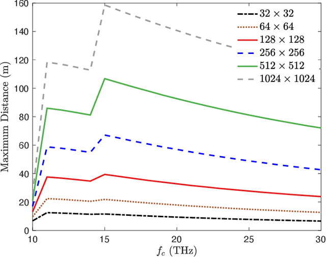
Abstract:We propose a multiple-input multiple-output (MIMO) quantum key distribution (QKD) scheme for improving the secret key rates and increasing the maximum transmission distance for terahertz (THz) frequency range applications operating at room temperature. We propose a transmit beamforming and receive combining scheme that converts the rank-$r$ MIMO channel between Alice and Bob into $r$ parallel lossy quantum channels whose transmittances depend on the non-zero singular values of the MIMO channel. The MIMO transmission scheme provides a multiplexing gain of $r$, along with a beamforming and array gain equal to the product of the number of transmit and receive antennas. This improves the secret key rate and extends the maximum transmission distance. Our simulation results show that multiple antennas are necessary to overcome the high free-space path loss at THz frequencies. Positive key rates are achievable in the $10-30$ THz frequency range that can be used for both indoor and outdoor QKD applications for beyond fifth generation ultra-secure wireless communications systems.




Abstract:In this paper, incremental decode-and-forward (IDF) and incremental selective decode-and-forward (ISDF) relaying are proposed to improve the spectral efficiency of power line communication. Contrary to the traditional decode-and-forward (DF) relaying, IDF and ISDF strategies utilize the relay only if the direct link ceases to attain a certain information rate, thereby improving the spectral efficiency. The path gain through the power line is assumed to be log-normally distributed with high distance-dependent attenuation and the additive noise is from a Bernoulli-Gaussian process. Closed-form expressions for the outage probability, and approximate closed-form expressions for the end-to-end average channel capacity and the average bit error rate for binary phase-shift keying are derived. Furthermore, a closed-form expression for the fraction of times the relay is in use is derived as a measure of the spectral efficiency. Comparative analysis of IDF and ISDF with traditional DF relaying is presented. It is shown that IDF is a specific case of ISDF and can obtain optimal spectral efficiency without compromising the outage performance. By employing power allocation to minimize the outage probability, it is realized that the power should be allocated in accordance with the inter-node distances and channel parameters.