Abstract:Continuous aperture arrays (CAPAs) provide a theoretical upper bound on the performance of densely packed antenna arrays, but their analysis is limited by the lack of closed-form signal-to-noise ratio (SNR) distributions under realistic fading conditions. This paper derives accurate analytical expressions for the matched-filter SNR distribution of one-dimensional CAPAs in correlated Rayleigh environments under both the sinc and Jakes correlation models using the Karhunen-Loeve expansion. By applying a truncated hypoexponential model, we obtain accurate approximations for the probability density function and cumulative distribution function of the SNR that closely match simulations, including the outage probability region where precise characterization is critical. Compared to a standard gamma approximation, our approach provides significantly improved accuracy in this regime. Additionally, the CAPA system considered is shown to outperform discrete antenna arrays. The derived expressions enable tractable and accurate evaluation of CAPAs under practical channel models.
Abstract:This letter investigates a novel uplink (UL) system that integrates power-domain non-orthogonal multiple access (PD-NOMA) with a continuous reconfigurable intelligent surface (CRIS). We analyze the effective CRIS-assisted channels under spatially correlated fading to accurately approximate the characteristic function of the cascaded channel. This allows the derivation of an expression for the bit error rate (BER), a key performance metric for UL PD-NOMA. We further utilize the derived BER expressions to introduce a joint optimization framework that minimizes the average BER via UL power allocation and dynamic RIS partitioning among the users. The analytical results are validated by simulations, and show that the proposed optimization scheme eliminates the BER floors that are associated with UL NOMA. The results also confirm the superiority of the optimized CRIS-NOMA scheme over conventional orthogonal multiple access (OMA) and non-optimized UL NOMA schemes.
Abstract:Consider the signal-to-noise ratio (SNR) of a continuous fluid antenna system (CFAS) operating over a Rayleigh fading channel. In this paper, we extend traditional system assumptions and consider spatially coherent isotropic correlation, continuous positioning of the antenna rather than discrete, and the use of multi-dimensional space (1D, 2D and 3D). By focusing on the upper tail of the received SNR distribution (the high SNR probability (HSP)), we are able to derive asymptotically exact closed-form formulas for the HSP. Finally, these results lead to scaling laws which describe the increase in the HSP as we employ more dimensions and the optimal CFAS dimensions.
Abstract:We analyse the level crossing rate (LCR) of an uplink single-user (SU) reconfigurable intelligent surface (RIS) aided system. It is assumed that the RIS to base station (RIS-BS) channel is deployed as line-of-sight (LoS), and the user (UE)-RIS and UE-BS channels are correlated Rayleigh. For the optimal RIS reflection matrix, we derive a novel and exact analytical LCR expression for when the direct (UE-BS) channel is blocked, i.e. the RIS-only channel. Also, the existing exact expression for the direct-only channel (equivalent to classical maximal-ratio-combining (MRC)) suffers from extreme numerical precision problems when the BS has many elements. Therefore, we propose a new stable and accurate approximation to the LCR of the direct channel. The approximation is based on replacing any small similar eigenvalues of the channel correlation matrix by their average. We show that increasing the number of elements at the RIS or BS and decreasing channel correlation makes the LCR drop more rapidly for thresholds away from the mean SNR. Crucially, we find that RIS systems do not significantly amplify temporal variations in the channel. This is particularly beneficial for RIS systems considering the difficulty in acquiring channel state information (CSI).
Abstract:We consider a reconfigurable intelligent surface (RIS) that can implement a phase rotation continuously over the whole surface rather than via a finite number of discrete elements. Such an RIS can be considered a design for future systems where advances in metamaterials make such an implementation feasible or as the limiting case where the number of elements in a traditional RIS increases in a given area. We derive the optimal RIS design for the single-user (SU) scenario assuming a line-of-sight (LoS) from the RIS to the base station (BS) and correlated Rayleigh fading for the other links. We also derive the associated optimal signal-to-noise ratio (SNR) and its mean, a bound on the mean spectral efficiency (SE), an approximation to the SNR outage probability and an approximation to the coefficient of variation for the investigation of channel hardening.




Abstract:We analyse the performance of a reconfigurable intelligent surface (RIS) aided system where the RIS is divided into subsurfaces. Each subsurface is designed specifically for one user, who is served on their own frequency band. The other subsurfaces (those not designed for this user) provide additional uncontrolled scattering. We derive the exact closed-form expression for the mean signal-to-noise ratio (SNR) of the subsurface design (SD) when all channels experience correlated Ricean fading. We simplify this to find the mean SNR for line-of-sight (LoS) channels and channels experiencing correlated Rayleigh fading. An iterative SD (ISD) process is proposed, where subsurfaces are designed sequentially, and the phases that are already set are used to enhance the design of the remaining subsurfaces. This is extended to a converged ISD (CISD), where the ISD process is repeated multiple times until the SNR increases by less than a specified tolerance. The ISD and CISD both provide a performance improvement over SD, which increases as the number of RIS elements (N) increases. The SD is significantly simpler than the lowest complexity multi-user (MU) method we know of, and despite each user having less bandwidth, the SD outperforms the existing method in some key scenarios. The SD is more robust to strongly LoS channels and clustered users, as it does not rely on spatial multiplexing like other MU methods. Combined with the complexity reduction, this makes the SD an attractive phase selection method.




Abstract:Recent developments in Multiple-Input-Multiple-Output (MIMO) technology include packing a large number of antenna elements in a compact array to access the bandwidth benefits provided by higher mutual coupling (MC). The resulting super-wideband (SW) systems require a circuit-theoretic framework to handle the MC and channel models which span extremely large bands. Hence, in this paper, we make two key contributions. First, we develop a physically-consistent Rician channel model for use with SW systems. Secondly, we express the circuit-theoretic models in terms of a standard MIMO model, so that insights into the effects of antenna layouts, MC, and bandwidth can be made using standard communication theory. For example, we show the bandwidth widening resulting from the new channel model. In addition, we show that MC distorts line-of-sight paths which has beamforming implications. We also highlight the interaction between spatial correlation and MC and show that tight coupling reduces spatial correlations at low frequencies.




Abstract:This paper studies the coexistence between a downlink multiuser massive multi-input-multi-output (MIMO) communication system and MIMO radar. The performance of the massive MIMO system with maximum ratio ($\MR$), zero-forcing ($\ZF$), and protective $\ZF$ ($\PZF$) precoding designs is characterized in terms of spectral efficiency (SE) and by taking the channel estimation errors and power control into account. The idea of $\PZF$ precoding relies on the projection of the information-bearing signal onto the null space of the radar channel to protect the radar against communication signals. We further derive closed-form expressions for the detection probability of the radar system for the considered precoding designs. By leveraging the closed-form expressions for the SE and detection probability, we formulate a power control problem at the radar and base station (BS) to maximize the detection probability while satisfying the per-user SE requirements. This optimization problem can be efficiently tackled via the bisection method by solving a linear feasibility problem. Our analysis and simulations show that the $\PZF$ design has the highest detection probability performance among all designs, with intermediate SE performance compared to the other two designs. Moreover, by optimally selecting the power control coefficients at the BS and radar, the detection probability improves significantly.




Abstract:Fluid antennas (FAs) is a promising technology for introducing flexibility and reconfigurability in wireless networks. Recent research efforts have highlighted the potential gains that can be achieved in comparison to conventional antennas. These works assume that the FA has a discrete number of positions that the liquid can take. However, from a practical standpoint, the liquid moves in a continuous fashion to any point inside the FA. In this paper, we focus on a continuous FA system (CFAS) and present a general framework for its design and analytical evaluation. In particular, we derive closed-form analytical expressions for the level crossing rate (LCR) and the average fade duration of the continuous signal-to-interference ratio (SIR) process over the FA's length. Then, by leveraging the LCR expression, we characterize the system's outage performance with a bound on the cumulative distribution function of the SIR's supremum. Our results confirm that the CFAS outperforms its discrete counterpart and thus provides the performance limits of FA-based systems.




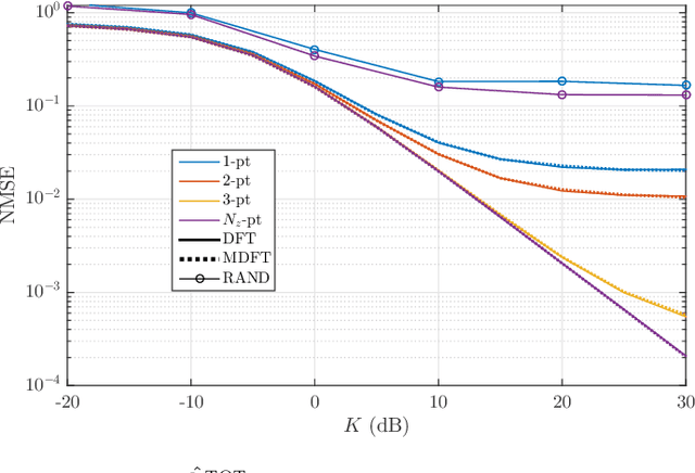
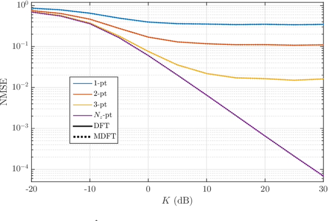
Abstract:We develop an optimal version of a prior two-stage channel estimation protocol for RIS-assisted channels. The new design uses a modified DFT matrix (MDFT) for the training phases at the RIS and is shown to minimize the total channel estimation error variance. In conjunction with interpolation (estimating fewer RIS channels), the MDFT approach accelerates channel estimation even when the channel from base station to RIS is line-of-sight. In contrast, prior two-stage techniques required a full-rank channel for efficient estimation. We investigate the resulting channel estimation errors by comparing different training phase designs for a variety of propagation conditions using a ray-based channel model. To examine the overall performance, we simulate the spectral efficiency with MRC processing for a single-user RIS-assisted system using an existing optimal design for the RIS transmission phases. Results verify the optimality of MDFT while simulations and analysis show that the performance is more dependent on the user-to-RIS channel correlation and the coarseness of the interpolation used, rather than the training phase design. For example, under a scenario with more highly correlated channels, the procedure accelerates channel estimation by a factor of 16, while the improvement is a factor of 5 in a less correlated case. The overall procedure is extremely robust, with a maximum performance loss of 1.5bits/sec/Hz compared to that with perfect channel state information for the considered channel conditions.