Abstract:This paper presents a trustworthy reinforcement learning approach for the control of industrial compressed air systems. We develop a framework that enables safe and energy-efficient operation under realistic boundary conditions and introduce a multi-level explainability pipeline combining input perturbation tests, gradient-based sensitivity analysis, and SHAP (SHapley Additive exPlanations) feature attribution. An empirical evaluation across multiple compressor configurations shows that the learned policy is physically plausible, anticipates future demand, and consistently respects system boundaries. Compared to the installed industrial controller, the proposed approach reduces unnecessary overpressure and achieves energy savings of approximately 4\,\% without relying on explicit physics models. The results further indicate that system pressure and forecast information dominate policy decisions, while compressor-level inputs play a secondary role. Overall, the combination of efficiency gains, predictive behavior, and transparent validation supports the trustworthy deployment of reinforcement learning in industrial energy systems.
Abstract:Quality management in semiconductor manufacturing often relies on template matching with known golden standards. For Indium-Phosphide (InP) multi-project wafer manufacturing, low production scale and high design variability lead to such golden standards being typically unavailable. Defect detection, in turn, is manual and labor-intensive. This work addresses this challenge by proposing a methodology to generate a synthetic golden standard using Deep Neural Networks, trained to simulate photo-realistic InP wafer images from CAD data. We evaluate various training objectives and assess the quality of the simulated images on both synthetic data and InP wafer photographs. Our deep-learning-based method outperforms a baseline decision-tree-based approach, enabling the use of a 'simulated golden die' from CAD plans in any user-defined region of a wafer for more efficient defect detection. We apply our method to a template matching procedure, to demonstrate its practical utility in surface defect detection.




Abstract:Deep neural networks have become increasingly popular for analyzing ECG data because of their ability to accurately identify cardiac conditions and hidden clinical factors. However, the lack of transparency due to the black box nature of these models is a common concern. To address this issue, explainable AI (XAI) methods can be employed. In this study, we present a comprehensive analysis of post-hoc XAI methods, investigating the local (attributions per sample) and global (based on domain expert concepts) perspectives. We have established a set of sanity checks to identify sensible attribution methods, and we provide quantitative evidence in accordance with expert rules. This dataset-wide analysis goes beyond anecdotal evidence by aggregating data across patient subgroups. Furthermore, we demonstrate how these XAI techniques can be utilized for knowledge discovery, such as identifying subtypes of myocardial infarction. We believe that these proposed methods can serve as building blocks for a complementary assessment of the internal validity during a certification process, as well as for knowledge discovery in the field of ECG analysis.




Abstract:In addition to the impressive predictive power of machine learning (ML) models, more recently, explanation methods have emerged that enable an interpretation of complex non-linear learning models such as deep neural networks. Gaining a better understanding is especially important e.g. for safety-critical ML applications or medical diagnostics etc. While such Explainable AI (XAI) techniques have reached significant popularity for classifiers, so far little attention has been devoted to XAI for regression models (XAIR). In this review, we clarify the fundamental conceptual differences of XAI for regression and classification tasks, establish novel theoretical insights and analysis for XAIR, provide demonstrations of XAIR on genuine practical regression problems, and finally discuss the challenges remaining for the field.




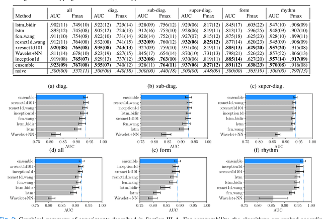
Abstract:Electrocardiography is a very common, non-invasive diagnostic procedure and its interpretation is increasingly supported by automatic interpretation algorithms. The progress in the field of automatic ECG interpretation has up to now been hampered by a lack of appropriate datasets for training as well as a lack of well-defined evaluation procedures to ensure comparability of different algorithms. To alleviate these issues, we put forward first benchmarking results for the recently published, freely accessible PTB-XL dataset, covering a variety of tasks from different ECG statement prediction tasks over age and gender prediction to signal quality assessment. We find that convolutional neural networks, in particular resnet- and inception-based architectures, show the strongest performance across all tasks outperforming feature-based algorithms by a large margin. These results are complemented by deeper insights into the classification algorithm in terms of hidden stratification, model uncertainty and an exploratory interpretability analysis. We also put forward benchmarking results for the ICBEB2018 challenge ECG dataset and discuss prospects of transfer learning using classifiers pretrained on PTB-XL. With this resource, we aim to establish the PTB-XL dataset as a resource for structured benchmarking of ECG analysis algorithms and encourage other researchers in the field to join these efforts.




Abstract:Digital contact tracing approaches based on Bluetooth low energy (BLE) have the potential to efficiently contain and delay outbreaks of infectious diseases such as the ongoing SARS-CoV-2 pandemic. In this work we propose a novel machine learning based approach to reliably detect subjects that have spent enough time in close proximity to be at risk of being infected. Our study is an important proof of concept that will aid the battery of epidemiological policies aiming to slow down the rapid spread of COVID-19.