Abstract:As wireless systems evolve toward higher frequencies and extremely large antenna arrays, near-field (NF) propagation becomes increasingly dominant. Unlike far-field (FF) communication, which relies on a planar-wavefront model and is limited to angular-domain beamsteering, NF propagation exhibits spherical wavefronts that enable beamfocusing in both angle and distance, i.e., the polar domain, offering new opportunities for spatial multiple access. This paper develops an analytical stochastic geometry (SG) framework for a multi-user system assisted by polar-domain beamfocusing, which jointly captures NF propagation characteristics and the spatial randomness of user locations. The intrinsic coupling between angle and distance in the NF antenna pattern renders inter-user interference analysis intractable. To address this challenge, we propose a tractable near-field multi-level antenna pattern (NF-MLAP) approximation, which enables computationally efficient expressions and tight upper bounds for key performance metrics, including coverage probability, spectrum efficiency, and area spectrum efficiency. Analytical and simulation results demonstrate that the proposed framework accurately captures performance trends and reveals fundamental trade-offs between hardware configuration (including the number of antennas and radio frequency chains) and system performance (in terms of spatial resource reuse and interference mitigation).




Abstract:In this paper, we consider a novel cellular network for aerial users, which is composed of dedicated base stations (BSs), whose antennas are directed towards aerial users, and traditional terrestrial BSs (TBSs). Besides, the dedicated BSs are deployed on roadside furniture, such as lampposts and traffic lights, to achieve multiple features while occupying less space. Therefore, the locations of dedicated BSs and TBSs are modeled by a Poisson-line-Cox-process (PLCP) and Poisson point process (PPP), respectively. For the proposed network, we first compute the aerial coverage probability and show that the deployment of dedicated BSs improves the coverage probability in both high dense areas and rural areas. We then consider a cellular-connected UAV that has a flying mission and optimize its trajectory to maximize the minimal achievable signal-to-interference-plus-noise ratio (SINR) (Max-Min SINR). To obtain the Max-Min SINR and minimal time trajectory that satisfies the Max-Min SINR, we proposed two algorithms that are practical in large-scale networks. Finally, our results show that the optimal density of dedicated BSs which maximizes Max-Min SINR decreases with the increase of the road densities.
Abstract:Installing more base stations (BSs) into the existing cellular infrastructure is an essential way to provide greater network capacity and higher data rate in the 5th-generation cellular networks (5G). However, a non-negligible amount of population is concerned that such network densification will generate a notable increase in exposure to electric and magnetic fields (EMF) over the territory. In this paper, we analyze the downlink, uplink, and joint downlink&uplink exposure induced by the radiation from BSs and personal user equipment (UE), respectively, in terms of the received power density and exposure index. In our analysis, we consider the EMF restrictions set by the regulatory authorities such as the minimum distance between restricted areas (e.g., schools and hospitals) and BSs, and the maximum permitted exposure. Exploiting tools from stochastic geometry, mathematical expressions for the coverage probability and statistical EMF exposure are derived and validated. Tuning the system parameters such as the BS density and the minimum distance from a BS to restricted areas, we show a trade-off between reducing the population's exposure to EMF and enhancing the network coverage performance. Then, we formulate optimization problems to maximize the performance of the EMF-aware cellular network while ensuring that the EMF exposure complies with the standard regulation limits with high probability. For instance, the exposure from BSs is two orders of magnitude less than the maximum permissible level when the density of BSs is less than 20 BSs/km2.




Abstract:Using drones for communications and transportation is drawing great attention in many practical scenarios, such as package delivery and providing additional wireless coverage. However, the increasing demand for UAVs from industry and academia will cause aerial traffic conflicts in the future. This, in turn, motivates the idea of this paper: multi-purpose UAVs, acting as aerial wireless data relays and means of aerial transportation simultaneously, to deliver packages and data at the same time. This paper aims to analyze the feasibility of using drones to collect and deliver data from the Internet of Things (IoT) devices to terrestrial base stations (TBSs) while delivering packages from warehouses to residential areas. We propose an algorithm to optimize the trajectory of UAVs to maximize the size of collected/delivered data while minimizing the total round trip time subject to the limited onboard battery of UAVs. Specifically, we use tools from stochastic geometry to model the locations of the IoT clusters and the TBSs and study the system performance with respect to energy efficiency, average size of collected/delivered data, and package delivery time. Our numerical results reveal that multi-functional UAVs have great potential to enhance the efficiency of both communication and transportation networks.




Abstract:The use of unmanned aerial vehicles (UAVs) is strongly advocated for sixth-generation (6G) networks, as the 6G standard will not be limited to improving broadband services, but will also target the extension of the geographical cellular coverage. In this context, the deployment of UAVs is considered a key solution for seamless connectivity and reliable coverage. That being said, it is important to underline that although UAVs are characterized by their high mobility and their ability to establish line-of-sight (LOS) links, their use is still impeded by several factors such as weather conditions, their limited computing power, and, most importantly, their limited energy. In this work, we are aiming for the novel technology that enables indefinite wireless power transfer for UAVs using laser beams. We propose a novel UAV deployment strategy, based on which we analyze the overall performance of the system in terms of wireless coverage. To this end, we use tractable tools from stochastic geometry to model the complex communication system. We analyze the user's connectivity profile under different laser charging capabilities and in different type of environments. We show a decrease in the coverage probability by more than 12% in moderate-to-strong turbulence conditions compared to low turbulence conditions. We also show how the connection rate to the aerial network significantly decreases in favor of the terrestrial network for short laser charging ranges. We conclude that laser-powered drones are considered interesting alternatives when placed in LOS with users, in low-to-moderate optical turbulence, and at reasonable ranges from the charging stations.




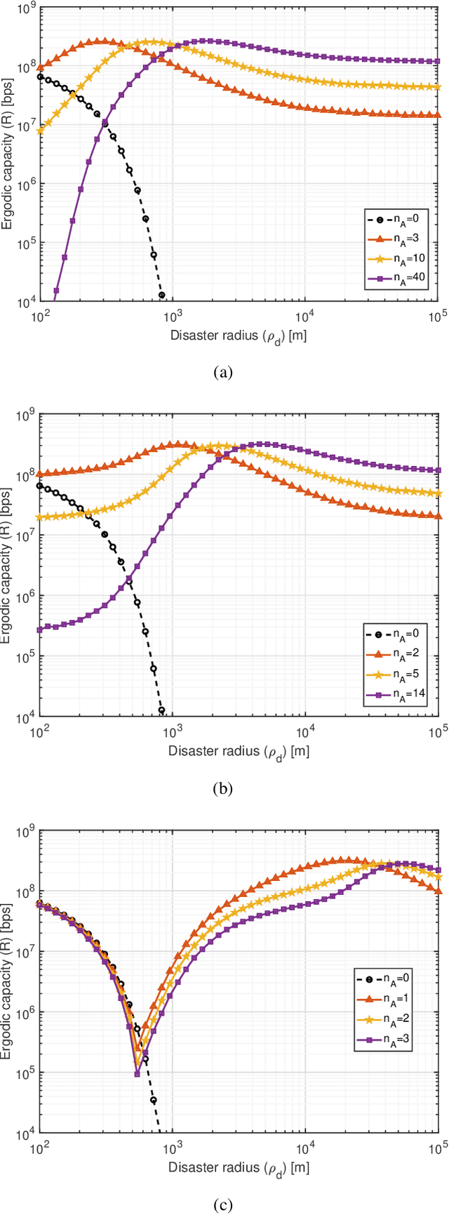
Abstract:The number of disasters has increased over the past decade where these calamities significantly affect the functionality of communication networks. In the context of 6G, airborne and spaceborne networks offer hope in disaster recovery to serve the underserved and to be resilient in calamities. Therefore, this paper surveys the state-of-the-art literature on post-disaster wireless communication networks and provides insights for the future establishment of such networks. In particular, we first give an overview of the works investigating the general procedures and strategies for counteracting any large-scale disasters. Then, we present the possible technological solutions for post-disaster communications, such as the recovery of the terrestrial infrastructure, installing aerial networks, and using spaceborne networks. Afterward, we shed light on the technological aspects of post-disaster networks, primarily the physical and networking issues. We present the literature on channel modeling, coverage and capacity, radio resource management, localization, and energy efficiency in the physical layer and discuss the integrated space-air-ground architectures, routing, delay-tolerant/software-defined networks, and edge computing in the networking layer. This paper also presents interesting simulation results which can provide practical guidelines about the deployment of ad hoc network architectures in emergency scenarios. Finally, we present several promising research directions, namely backhauling, placement optimization of aerial base stations, and the mobility-related aspects that come into play when deploying aerial networks, such as planning their trajectories and the consequent handovers.




Abstract:In the context of sixth-generation (6G) networks, emergency management systems (EMSs) based on wireless communications have recently gained increasing interest. Hereby, fundamentals and open problems of post-disaster communications are discussed, especially focusing on their topological aspects. The motivation behind this choice is due to the fact that, whenever a natural or a man-made disaster occurs, there is a high chance that the terrestrial communication infrastructure is compromised, and therefore alternative networks need to be deployed efficiently in order to enable the majority of the civilians and the first responders (FRs) to communicate. In this paper, we first provide a brief review of existing aerial ad-hoc networks for post-disaster communications. Next, we shed light on some new aspects of this problem, which are related to the topology of the network supporting the impacted area. Finally, with the aid of selected simulation results, we show how the cellular infrastructure requirements for a disaster-struck region significantly depend on its location and its extension.




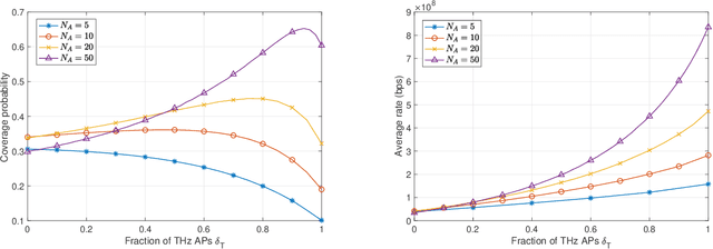
Abstract:Wireless communications over Terahertz (THz)-band frequencies are vital enablers of ultra-high rate applications and services in sixth-generation (6G) networks. However, THz communications suffer from poor coverage because of inherent THz features such as high penetration losses, severe path loss, and significant molecular absorption. To surmount these critical challenges and fully exploit the THz band, we explore a coexisting radio frequency (RF) and THz finite indoor network in which THz small cells are deployed to provide high data rates, and RF macrocells are deployed to satisfy coverage requirements. Using stochastic geometry tools, we assess the performance of coexisting RF and THz networks in terms of coverage probability and average achievable rate. The accuracy of the analytical results is validated with Monte-Carlo simulations. Several insights are devised for accurate tuning and optimization of THz system parameters, including the fraction of THz access points (APs) to deploy, and the THz bias. The obtained results recognize a clear coverage/rate trade-off where a high fraction of THz AP improves the rate significantly but may degrade the coverage performance. Furthermore, the location of the user in the finite area highly affects the fraction of THz APs that optimizes the performance.




Abstract:Benefiting from the usage of the high-frequency band, utilizing part of the large available bandwidth for wireless backhauling is feasible without considerable performance sacrifice. In this context, integrated access and backhaul (IAB) was proposed by 3GPP to reduce the fiber optics deployment cost of 5G and beyond networks. In this paper, we first give a brief introduction of IAB based on the 3GPP release. After that, we survey existing research on IAB networks, the integrations of IAB to cache-enabled network, optical communication transport network, and the non-terrestrial network. Finally, we discuss the challenges and opportunities that might arise while developing and commercializing IAB networks.




Abstract:Unmanned aerial vehicles (UAVs) are considered as one of the promising technologies for the next-generation wireless communication networks. Their mobility and their ability to establish a line of sight (LOS) links with the users made them key solutions for many potential applications. In the same vein, artificial intelligence is growing rapidly nowadays and has been very successful, particularly due to the massive amount of the available data. As a result, a significant part of the research community has started to integrate intelligence at the core of UAVs networks by applying machine learning (ML) algorithms in solving several problems in relation to drones. In this article, we provide a comprehensive overview of some potential applications of ML in UAV-Based networks. We will also highlight the limits of the existing works and outline some potential future applications of ML for UAVs networks.