Abstract:Automatic speech recognition (ASR) models are typically trained on large datasets of transcribed speech. As language evolves and new terms come into use, these models can become outdated and stale. In the context of models trained on the server but deployed on edge devices, errors may result from the mismatch between server training data and actual on-device usage. In this work, we seek to continually learn from on-device user corrections through Federated Learning (FL) to address this issue. We explore techniques to target fresh terms that the model has not previously encountered, learn long-tail words, and mitigate catastrophic forgetting. In experimental evaluations, we find that the proposed techniques improve model recognition of fresh terms, while preserving quality on the overall language distribution.




Abstract:Almost none of the 2,000+ languages spoken in Africa have widely available automatic speech recognition systems, and the required data is also only available for a few languages. We have experimented with two techniques which may provide pathways to large vocabulary speech recognition for African languages: multilingual modeling and self-supervised learning. We gathered available open source data and collected data for 15 languages, and trained experimental models using these techniques. Our results show that pooling the small amounts of data available in multilingual end-to-end models, and pre-training on unsupervised data can help improve speech recognition quality for many African languages.




Abstract:Personalization of speech models on mobile devices (on-device personalization) is an active area of research, but more often than not, mobile devices have more text-only data than paired audio-text data. We explore training a personalized language model on text-only data, used during inference to improve speech recognition performance for that user. We experiment on a user-clustered LibriSpeech corpus, supplemented with personalized text-only data for each user from Project Gutenberg. We release this User-Specific LibriSpeech (UserLibri) dataset to aid future personalization research. LibriSpeech audio-transcript pairs are grouped into 55 users from the test-clean dataset and 52 users from test-other. We are able to lower the average word error rate per user across both sets in streaming and nonstreaming models, including an improvement of 2.5 for the harder set of test-other users when streaming.




Abstract:This paper addresses the challenges of training large neural network models under federated learning settings: high on-device memory usage and communication cost. The proposed Online Model Compression (OMC) provides a framework that stores model parameters in a compressed format and decompresses them only when needed. We use quantization as the compression method in this paper and propose three methods, (1) using per-variable transformation, (2) weight matrices only quantization, and (3) partial parameter quantization, to minimize the impact on model accuracy. According to our experiments on two recent neural networks for speech recognition and two different datasets, OMC can reduce memory usage and communication cost of model parameters by up to 59% while attaining comparable accuracy and training speed when compared with full-precision training.




Abstract:Capitalization normalization (truecasing) is the task of restoring the correct case (uppercase or lowercase) of noisy text. We propose a fast, accurate and compact two-level hierarchical word-and-character-based recurrent neural network model. We use the truecaser to normalize user-generated text in a Federated Learning framework for language modeling. A case-aware language model trained on this normalized text achieves the same perplexity as a model trained on text with gold capitalization. In a real user A/B experiment, we demonstrate that the improvement translates to reduced prediction error rates in a virtual keyboard application. Similarly, in an ASR language model fusion experiment, we show reduction in uppercase character error rate and word error rate.




Abstract:Federated learning is used for decentralized training of machine learning models on a large number (millions) of edge mobile devices. It is challenging because mobile devices often have limited communication bandwidth and local computation resources. Therefore, improving the efficiency of federated learning is critical for scalability and usability. In this paper, we propose to leverage partially trainable neural networks, which freeze a portion of the model parameters during the entire training process, to reduce the communication cost with little implications on model performance. Through extensive experiments, we empirically show that Federated learning of Partially Trainable neural networks (FedPT) can result in superior communication-accuracy trade-offs, with up to $46\times$ reduction in communication cost, at a small accuracy cost. Our approach also enables faster training, with a smaller memory footprint, and better utility for strong differential privacy guarantees. The proposed FedPT method can be particularly interesting for pushing the limitations of overparameterization in on-device learning.




Abstract:Truecasing is the task of restoring the correct case (uppercase or lowercase) of noisy text generated either by an automatic system for speech recognition or machine translation or by humans. It improves the performance of downstream NLP tasks such as named entity recognition and language modeling. We propose a fast, accurate and compact two-level hierarchical word-and-character-based recurrent neural network model, the first of its kind for this problem. Using sequence distillation, we also address the problem of truecasing while ignoring token positions in the sentence, i.e. in a position-invariant manner.



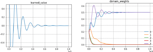
Abstract:In distributed learning settings such as federated learning, the training algorithm can be potentially biased towards different clients. Mohri et al. (2019) proposed a domain-agnostic learning algorithm, where the model is optimized for any target distribution formed by a mixture of the client distributions in order to overcome this bias. They further proposed an algorithm for the cross-silo federated learning setting, where the number of clients is small. We consider this problem in the cross-device setting, where the number of clients is much larger. We propose a communication-efficient distributed algorithm called Agnostic Federated Averaging (or AgnosticFedAvg) to minimize the domain-agnostic objective proposed in Mohri et al. (2019), which is amenable to other private mechanisms such as secure aggregation. We highlight two types of naturally occurring domains in federated learning and argue that AgnosticFedAvg performs well on both. To demonstrate the practical effectiveness of AgnosticFedAvg, we report positive results for large-scale language modeling tasks in both simulation and live experiments, where the latter involves training language models for Spanish virtual keyboard for millions of user devices.




Abstract:To improve real-world applications of machine learning, experienced modelers develop intuition about their datasets, their models, and how the two interact. Manual inspection of raw data - of representative samples, of outliers, of misclassifications - is an essential tool in a) identifying and fixing problems in the data, b) generating new modeling hypotheses, and c) assigning or refining human-provided labels. However, manual data inspection is problematic for privacy sensitive datasets, such as those representing the behavior of real-world individuals. Furthermore, manual data inspection is impossible in the increasingly important setting of federated learning, where raw examples are stored at the edge and the modeler may only access aggregated outputs such as metrics or model parameters. This paper demonstrates that generative models - trained using federated methods and with formal differential privacy guarantees - can be used effectively to debug many commonly occurring data issues even when the data cannot be directly inspected. We explore these methods in applications to text with differentially private federated RNNs and to images using a novel algorithm for differentially private federated GANs.




Abstract:We propose algorithms to train production-quality n-gram language models using federated learning. Federated learning is a distributed computation platform that can be used to train global models for portable devices such as smart phones. Federated learning is especially relevant for applications handling privacy-sensitive data, such as virtual keyboards, because training is performed without the users' data ever leaving their devices. While the principles of federated learning are fairly generic, its methodology assumes that the underlying models are neural networks. However, virtual keyboards are typically powered by n-gram language models for latency reasons. We propose to train a recurrent neural network language model using the decentralized FederatedAveraging algorithm and to approximate this federated model server-side with an n-gram model that can be deployed to devices for fast inference. Our technical contributions include ways of handling large vocabularies, algorithms to correct capitalization errors in user data, and efficient finite state transducer algorithms to convert word language models to word-piece language models and vice versa. The n-gram language models trained with federated learning are compared to n-grams trained with traditional server-based algorithms using A/B tests on tens of millions of users of virtual keyboard. Results are presented for two languages, American English and Brazilian Portuguese. This work demonstrates that high-quality n-gram language models can be trained directly on client mobile devices without sensitive training data ever leaving the devices.