Abstract:We study the prophet inequality, a fundamental problem in online decision-making and optimal stopping, in a practical setting where rewards are observed only through noisy realizations and reward distributions are unknown. At each stage, the decision-maker receives a noisy reward whose true value follows a linear model with an unknown latent parameter, and observes a feature vector drawn from a distribution. To address this challenge, we propose algorithms that integrate learning and decision-making via lower-confidence-bound (LCB) thresholding. In the i.i.d.\ setting, we establish that both an Explore-then-Decide strategy and an $\varepsilon$-Greedy variant achieve the sharp competitive ratio of $1 - 1/e$, under a mild condition on the optimal value. For non-identical distributions, we show that a competitive ratio of $1/2$ can be guaranteed against a relaxed benchmark. Moreover, with limited window access to past rewards, the tight ratio of $1/2$ against the optimal benchmark is achieved.
Abstract:In this study, we introduce a novel bandit framework for stochastic matching based on the Multi-nomial Logit (MNL) choice model. In our setting, $N$ agents on one side are assigned to $K$ arms on the other side, where each arm stochastically selects an agent from its assigned pool according to an unknown preference and yields a corresponding reward. The objective is to minimize regret by maximizing the cumulative revenue from successful matches across all agents. This task requires solving a combinatorial optimization problem based on estimated preferences, which is NP-hard and leads a naive approach to incur a computational cost of $O(K^N)$ per round. To address this challenge, we propose batched algorithms that limit the frequency of matching updates, thereby reducing the amortized computational cost (i.e., the average cost per round) to $O(1)$ while still achieving a regret bound of $\tilde{O}(\sqrt{T})$.



Abstract:In this study, we investigate the problem of dynamic multi-product selection and pricing by introducing a novel framework based on a \textit{censored multinomial logit} (C-MNL) choice model. In this model, sellers present a set of products with prices, and buyers filter out products priced above their valuation, purchasing at most one product from the remaining options based on their preferences. The goal is to maximize seller revenue by dynamically adjusting product offerings and prices, while learning both product valuations and buyer preferences through purchase feedback. To achieve this, we propose a Lower Confidence Bound (LCB) pricing strategy. By combining this pricing strategy with either an Upper Confidence Bound (UCB) or Thompson Sampling (TS) product selection approach, our algorithms achieve regret bounds of $\tilde{O}(d^{\frac{3}{2}}\sqrt{T/\kappa})$ and $\tilde{O}(d^{2}\sqrt{T/\kappa})$, respectively. Finally, we validate the performance of our methods through simulations, demonstrating their effectiveness.




Abstract:In this study, we consider multi-class multi-server asymmetric queueing systems consisting of $N$ queues on one side and $K$ servers on the other side, where jobs randomly arrive in queues at each time. The service rate of each job-server assignment is unknown and modeled by a feature-based Multi-nomial Logit (MNL) function. At each time, a scheduler assigns jobs to servers, and each server stochastically serves at most one job based on its preferences over the assigned jobs. The primary goal of the algorithm is to stabilize the queues in the system while learning the service rates of servers. To achieve this goal, we propose algorithms based on UCB and Thompson Sampling, which achieve system stability with an average queue length bound of $O(\min\{N,K\}/\epsilon)$ for a large time horizon $T$, where $\epsilon$ is a traffic slackness of the system. Furthermore, the algorithms achieve sublinear regret bounds of $\tilde{O}(\min\{\sqrt{T} Q_{\max},T^{3/4}\})$, where $Q_{\max}$ represents the maximum queue length over agents and times. Lastly, we provide experimental results to demonstrate the performance of our algorithms.
Abstract:In this study, we consider the infinitely many armed bandit problems in rotting environments, where the mean reward of an arm may decrease with each pull, while otherwise, it remains unchanged. We explore two scenarios capturing problem-dependent characteristics regarding the decay of rewards: one in which the cumulative amount of rotting is bounded by $V_T$, referred to as the slow-rotting scenario, and the other in which the number of rotting instances is bounded by $S_T$, referred to as the abrupt-rotting scenario. To address the challenge posed by rotting rewards, we introduce an algorithm that utilizes UCB with an adaptive sliding window, designed to manage the bias and variance trade-off arising due to rotting rewards. Our proposed algorithm achieves tight regret bounds for both slow and abrupt rotting scenarios. Lastly, we demonstrate the performance of our algorithms using synthetic datasets.
Abstract:We study the adversarial bandit problem under $S$ number of switching best arms for unknown $S$. For handling this problem, we adopt the master-base framework using the online mirror descent method (OMD). We first provide a master-base algorithm with basic OMD, achieving $\tilde{O}(S^{1/2}K^{1/3}T^{2/3})$. For improving the regret bound with respect to $T$, we propose to use adaptive learning rates for OMD to control variance of loss estimators, and achieve $\tilde{O}(\min\{\mathbb{E}[\sqrt{SKT\rho_T(h^\dagger)}],S\sqrt{KT}\})$, where $\rho_T(h^\dagger)$ is a variance term for loss estimators.



Abstract:We consider the infinitely many-armed bandit problem with rotting rewards, where the mean reward of an arm decreases at each pull of the arm according to an arbitrary trend with maximum rotting rate $\varrho=o(1)$. We show that this learning problem has an $\Omega(\max\{\varrho^{1/3}T,\sqrt{T}\})$ worst-case regret lower bound where $T$ is the horizon time. We show that a matching upper bound $\tilde{O}(\max\{\varrho^{1/3}T,\sqrt{T}\})$, up to a poly-logarithmic factor, can be achieved by an algorithm that uses a UCB index for each arm and a threshold value to decide whether to continue pulling an arm or remove the arm from further consideration, when the algorithm knows the value of the maximum rotting rate $\varrho$. We also show that an $\tilde{O}(\max\{\varrho^{1/3}T,T^{3/4}\})$ regret upper bound can be achieved by an algorithm that does not know the value of $\varrho$, by using an adaptive UCB index along with an adaptive threshold value.




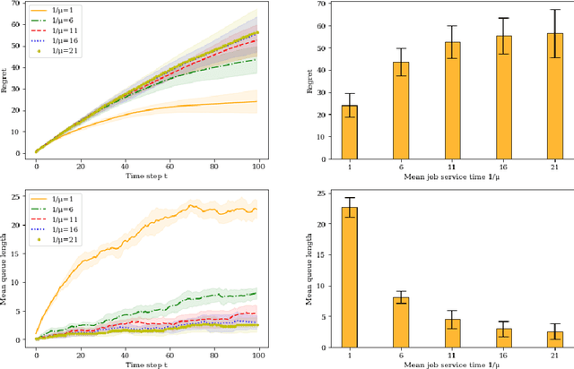
Abstract:In this paper we study a multi-class, multi-server queueing system with stochastic rewards of job-server assignments following a bilinear model in feature vectors representing jobs and servers. Our goal is regret minimization against an oracle policy that has a complete information about system parameters. We propose a scheduling algorithm that uses a linear bandit algorithm along with dynamic allocation of jobs to servers. For the baseline setting, in which mean job service times are identical for all jobs, we show that our algorithm has a sub-linear regret, as well as a sub-linear bound on the mean queue length, in the horizon time. We further show that similar bounds hold under more general assumptions, allowing for non-identical mean job service times for different job classes and a time-varying set of server classes. We also show that better regret and mean queue length bounds can be guaranteed by an algorithm having access to traffic intensities of job classes. We present results of numerical experiments demonstrating how regret and mean queue length of our algorithms depend on various system parameters and compare their performance against a previously proposed algorithm using synthetic randomly generated data and a real-world cluster computing data trace.