



Abstract:Handling objects with unknown or changing masses is a common challenge in robotics, often leading to errors or instability if the control system cannot adapt in real-time. In this paper, we present a novel approach that enables a six-degrees-of-freedom robotic manipulator to reliably follow waypoints while automatically estimating and compensating for unknown payload weight. Our method integrates an admittance control framework with a mass estimator, allowing the robot to dynamically update an excitation force to compensate for the payload mass. This strategy mitigates end-effector sagging and preserves stability when handling objects of unknown weights. We experimentally validated our approach in a challenging pick-and-place task on a shelf with a crossbar, improved accuracy in reaching waypoints and compliant motion compared to a baseline admittance-control scheme. By safely accommodating unknown payloads, our work enhances flexibility in robotic automation and represents a significant step forward in adaptive control for uncertain environments.




Abstract:In this article, we present a long-duration autonomy approach for the control of connected and automated vehicles (CAVs) operating in a transportation network. In particular, we focus on the performance of CAVs at traffic bottlenecks, including roundabouts, merging roadways, and intersections. We take a principled approach based on optimal control, and derive a reactive controller with guarantees on safety, performance, and energy efficiency. We guarantee safety through high order control barrier functions (HOCBFs), which we ``lift'' to first order CBFs using time-optimal motion primitives. We demonstrate the performance of our approach in simulation and compare it to an optimal control-based approach.




Abstract:This paper presents a control framework for magnetically actuated micron-scale robots ($\mu$bots) designed to mitigate disturbances and improve trajectory tracking. To address the challenges posed by unmodeled dynamics and environmental variability, we combine data-driven modeling with model-based control to accurately track desired trajectories using a relatively small amount of data. The system is represented with a simple linear model, and Gaussian Processes (GP) are employed to capture and estimate disturbances. This disturbance-enhanced model is then integrated into a Model Predictive Controller (MPC). Our approach demonstrates promising performance in both simulation and experimental setups, showcasing its potential for precise and reliable microrobot control in complex environments.
Abstract:In this article we address the colony maintenance problem, where a team of robots are tasked with continuously maintaining the energy supply of an autonomous colony. We model this as a global game, where robots measure the energy level of a central nest to determine whether or not to forage for energy sources. We design a mechanism that avoids the trivial equilibrium where all robots always forage. Furthermore, we demonstrate that when the game is played iteratively a negative feedback term stabilizes the number of foraging robots at a non-trivial Nash equilibrium. We compare our approach qualitatively to existing global games, where a positive positive feedback term admits threshold-based decision making, and encourages many robots to forage simultaneously. We discuss how positive feedback can lead to a cascading failure in the presence of a human who recruits robots for external tasks, and we demonstrate the performance of our approach in simulation.




Abstract:As robotic systems continue to address emerging issues in areas such as logistics, mobility, manufacturing, and disaster response, it is increasingly important to rapidly generate safe and energy-efficient trajectories. In this article, we present a new approach to plan energy-optimal trajectories through cluttered environments containing polygonal obstacles. In particular, we develop a method to quickly generate optimal trajectories for a double-integrator system, and we show that optimal path planning reduces to an integer program. To find an efficient solution, we present a distance-informed prefix search to efficiently generate optimal trajectories for a large class of environments. We demonstrate that our approach, while matching the performance of RRT* and Probabilistic Road Maps in terms of path length, outperforms both in terms of energy cost and computational time by up to an order of magnitude. We also demonstrate that our approach yields implementable trajectories in an experiment with a Crazyflie quadrotor.




Abstract:The study of robotic flocking has received significant attention in the past twenty years. In this article, we present a constraint-driven control algorithm that minimizes the energy consumption of individual agents and yields an emergent V formation. As the formation emerges from the decentralized interaction between agents, our approach is robust to the spontaneous addition or removal of agents to the system. First, we present an analytical model for the trailing upwash behind a fixed-wing UAV, and we derive the optimal air speed for trailing UAVs to maximize their travel endurance. Next, we prove that simply flying at the optimal airspeed will never lead to emergent flocking behavior, and we propose a new decentralized "anseroid" behavior that yields emergent V formations. We encode these behaviors in a constraint-driven control algorithm that minimizes the locomotive power of each UAV. Finally, we prove that UAVs initialized in an approximate V or echelon formation will converge under our proposed control law, and we demonstrate this emergence occurs in real-time in simulation and in physical experiments with a fleet of Crazyflie quadrotors.



Abstract:The control of swarm systems is relatively well understood for simple robotic platforms at the macro scale. However, there are still several unanswered questions about how similar results can be achieved for microrobots. In this paper, we propose a modeling framework based on a dynamic model of magnetized self-propelling Janus microrobots under a global magnetic field. We verify our model experimentally and provide methods that can aim at accurately describing the behavior of microrobots while modeling their simultaneous control. The model can be generalized to other microrobotic platforms in low Reynolds number environments.




Abstract:The increasing demand for emerging mobility systems with connected and automated vehicles has imposed the necessity for quality testing environments to support their development. In this paper, we introduce a Unity-based virtual simulation environment for emerging mobility systems, called the Information and Decision Science Lab's Scaled Smart Digital City (IDS $3$D City), intended to operate alongside its physical peer and its established control framework. By utilizing the Robot Operation System, AirSim, and Unity, we constructed a simulation environment capable of iteratively designing experiments significantly faster than it is possible in a physical testbed. This environment provides an intermediate step to validate the effectiveness of our control algorithms prior to their implementation in the physical testbed. The IDS $3$D City also enables us to demonstrate that our control algorithms work independently of the underlying vehicle dynamics, as the vehicle dynamics introduced by AirSim operate at a different scale than our scaled smart city. Finally, we demonstrate the behavior of our digital environment by performing an experiment in both the virtual and physical environments and compare their outputs.




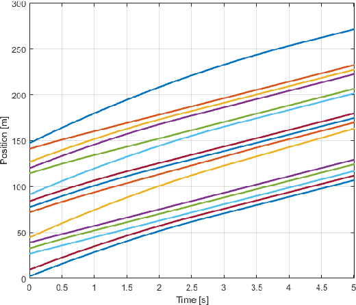
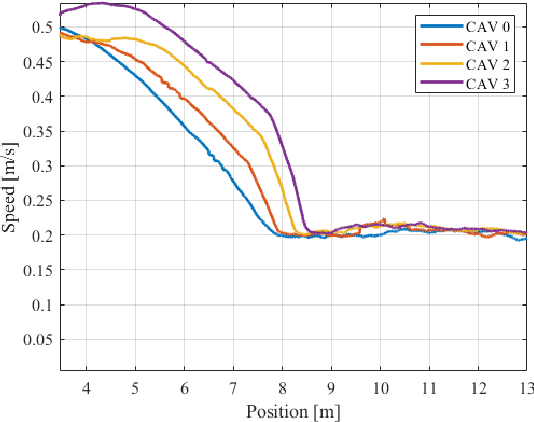
Abstract:Platooning has been exploited as a method for vehicles to minimize energy consumption. In this article, we present a constraint-driven optimal control framework that yields emergent platooning behavior for connected and automated vehicles operating in an open transportation system. Our approach combines recent insights in constraint-driven optimal control with the physical aerodynamic interactions between vehicles in a highway setting. The result is a set of equations that describes when platooning is an appropriate strategy, as well as a descriptive optimal control law that yields emergent platooning behavior. Finally, we demonstrate these properties in simulation and with a real-time experiment in a scaled testbed.

Abstract:As robotic systems increase in autonomy, there is a strong need to plan efficient trajectories in real-time. In this paper, we propose an approach to significantly reduce the complexity of solving optimal control problems both numerically and analytically. We exploit the property of differential flatness to show that it is always possible to decouple the forward dynamics of the system's state from the backward dynamics that emerge from the Euler-Lagrange equations. This coupling generally leads to instabilities in numerical approaches; thus, we expect our method to make traditional "shooting" methods a viable choice for optimal trajectory planning in differentially flat systems. To provide intuition for our approach, we also present an illustrative example of generating minimum-thrust trajectories for a quadrotor. Furthermore, we employ quaternions to track the quadrotor's orientation, which, unlike the Euler-angle representation, do not introduce additional singularities into the model.