Abstract:Vision Transformers (ViTs) have demonstrated remarkable potential in image processing tasks by utilizing self-attention mechanisms to capture global relationships within data. However, their scalability is hindered by significant computational and memory demands, especially for large-scale models with many parameters. This study aims to leverage DeepSpeed, a highly efficient distributed training framework that is commonly used for language models, to enhance the scalability and performance of ViTs. We evaluate intra- and inter-node training efficiency across multiple GPU configurations on various datasets like CIFAR-10 and CIFAR-100, exploring the impact of distributed data parallelism on training speed, communication overhead, and overall scalability (strong and weak scaling). By systematically varying software parameters, such as batch size and gradient accumulation, we identify key factors influencing performance of distributed training. The experiments in this study provide a foundational basis for applying DeepSpeed to image-related tasks. Future work will extend these investigations to deepen our understanding of DeepSpeed's limitations and explore strategies for optimizing distributed training pipelines for Vision Transformers.
Abstract:Radar-based human activity recognition has gained attention as a privacy-preserving alternative to vision and wearable sensors, especially in sensitive environments like long-term care facilities. Micro-Doppler spectrograms derived from FMCW radar signals are central to recognizing dynamic activities, but their effectiveness is limited by noise and clutter. In this work, we use a benchmark radar dataset to reimplement and assess three recent denoising and preprocessing techniques: adaptive preprocessing, adaptive thresholding, and entropy-based denoising. To illustrate the shortcomings of conventional metrics in low-SNR regimes, we evaluate performance using both perceptual image quality measures and standard error-based metrics. We additionally propose a novel framework for static activity recognition using range-angle feature maps to expand HAR beyond dynamic activities. We present two important contributions: a temporal tracking algorithm to enforce consistency and a no-reference quality scoring algorithm to assess RA-map fidelity. According to experimental findings, our suggested techniques enhance classification performance and interpretability for both dynamic and static activities, opening the door for more reliable radar-based HAR systems.
Abstract:Quasi-static human activities such as lying, standing or sitting produce very low Doppler shifts and highly spread radar signatures, making them difficult to detect with conventional constant-false-alarm rate (CFAR) detectors tuned for point targets. Moreover, privacy concerns and low lighting conditions limit the use of cameras in long-term care (LTC) facilities. This paper proposes a lightweight, non-visual image-based method for robust quasi-static human presence detection using a low-cost 60 GHz FMCW radar. On a dataset covering five semi-static activities, the proposed method improves average detection accuracy from 68.3% for Cell-Averaging CFAR (CA-CFAR) and 78.8% for Order-Statistics CFAR (OS-CFAR) to 93.24% for Subject 1, from 51.3%, 68.3% to 92.3% for Subject 2, and 57.72%, 69.94% to 94.82% for Subject 3, respectively. Finally, we benchmarked all three detectors across all activities on a Raspberry Pi 4B using a shared Range-Angle (RA) preprocessing pipeline. The proposed algorithm obtains an average 8.2 ms per frame, resulting in over 120 frames per second (FPS) and a 74 times speed-up over OS-CFAR. These results demonstrate that simple image-based processing can provide robust and deployable quasi-static human sensing in cluttered indoor environments.
Abstract:In this work, we study how to make mmWave radar presence detection more interpretable for Ambient Assisted Living (AAL) settings, where camera-based sensing raises privacy concerns. We propose a Generative Latent Alignment (GLA) framework that combines a lightweight convolutional variational autoencoder with a frozen CLIP text encoder to learn a low-dimensional latent representation of radar Range-Angle (RA) heatmaps. The latent space is softly aligned with two semantic anchors corresponding to "empty room" and "person present", and Grad-CAM is applied in this aligned latent space to visualize which spatial regions support each presence decision. On our mmWave radar dataset, we qualitatively observe that the "person present" class produces compact Grad-CAM blobs that coincide with strong RA returns, whereas "empty room" samples yield diffuse or no evidence. We also conduct an ablation study using unrelated text prompts, which degrades both reconstruction and localization, suggesting that radar-specific anchors are important for meaningful explanations in this setting.
Abstract:Radar-based sensing is a promising privacy-preserving alternative to cameras and wearables in settings such as long-term care. Yet detecting quasi-static presence (lying, sitting, or standing with only subtle micro-motions) is difficult for low-resolution SIMO FMCW radar because near-zero Doppler energy is often buried under static clutter. We present Respiratory-Amplification Semi-Static Occupancy (RASSO), an invertible Doppler-domain non-linear remapping that densifies the slow-time FFT (Doppler) grid around 0 m/s before adaptive Capon beamforming. The resulting range-azimuth (RA) maps exhibit higher effective SNR, sharper target peaks, and lower background variance, making thresholding and learning more reliable. On a real nursing-home dataset collected with a short-range 1Tx-3Rx radar, RASSO-RA improves classical detection performance, achieving AUC = 0.981 and recall = 0.920/0.947 at FAR = 1%/5%, outperforming conventional Capon processing and a recent baseline. RASSO-RA also benefits data-driven models: a frame-based CNN reaches 95-99% accuracy and a sequence-based CNN-LSTM reaches 99.4-99.6% accuracy across subjects. A paired session-level bootstrap test confirms statistically significant macro-F1 gains of 2.6-3.6 points (95% confidence intervals above zero) over the non-warped pipeline. These results show that simple Doppler-domain warping before spatial processing can materially improve semi-static occupancy detection with low-resolution radar in real clinical environments.
Abstract:Learning robust radar perception models directly from real measurements is costly due to the need for controlled experiments, repeated calibration, and extensive annotation. This paper proposes a lightweight simulation-to-real (sim2real) framework that enables reliable Frequency Modulated Continuous Wave (FMCW) radar occupancy detection and people counting using only a physics-informed geometric simulator and a small unlabeled real calibration set. We introduce calibrated domain randomization (CDR) to align the global noise-floor statistics of simulated range-Doppler (RD) maps with those observed in real environments while preserving discriminative micro-Doppler structure. Across real-world evaluations, ResNet18 models trained purely on CDR-adjusted simulation achieve 97 percent accuracy for occupancy detection and 72 percent accuracy for people counting, outperforming ray-tracing baseline simulation and conventional random domain randomization baselines.
Abstract:As the population ages rapidly, long-term care (LTC) facilities across North America face growing pressure to monitor residents safely while keeping staff workload manageable. Falls are among the most critical events to monitor due to their timely response requirement, yet frequent false alarms or uncertain detections can overwhelm caregivers and contribute to alarm fatigue. This motivates the design of reliable, whole end-to-end ambient monitoring systems from occupancy and activity awareness to fall and post-fall detection. In this paper, we focus on robust post-fall floor-occupancy detection using an off-the-shelf 60 GHz FMCW radar and evaluate its deployment in a realistic, furnished indoor environment representative of LTC facilities. Post-fall detection is challenging since motion is minimal, and reflections from the floor and surrounding objects can dominate the radar signal return. We compare a vendor-provided digital beamforming (DBF) pipeline against a proposed preprocessing approach based on Capon or minimum variance distortionless response (MVDR) beamforming. A cell-averaging constant false alarm rate (CA-CFAR) detector is applied and evaluated on the resulting range-azimuth maps across 7 participants. The proposed method improves the mean frame-positive rate from 0.823 (DBF) to 0.916 (Proposed).
Abstract:Obtaining data on high-impact falls from older adults is ethically difficult, yet these rare events cause many fall-related health problems. As a result, most radar-based fall detectors are trained on staged falls from young volunteers, and representation choices are rarely tested against the radar signals from dangerous falls. This paper uses a frequency-modulated continuous-wave (FMCW) radar digital twin as a single simulated room testbed to study how representation choice affects fall/non-fall discrimination. From the same simulated range-Doppler sequence, Doppler-time spectrograms, three-channel per-receiver spectrogram stacks, and time-pooled range-Doppler maps (RDMs) are derived and fed to an identical compact CNN under matched training on a balanced fall/non-fall dataset. In this twin, temporal spectrograms reach 98-99% test accuracy with similar precision and recall for both classes, while static RDMs reach 89.4% and show more variable training despite using the same backbone. A qualitative comparison between synthetic and measured fall spectrograms suggests that the twin captures gross Doppler-time structure, but amplitude histograms reveal differences in the distributions of amplitude values consistent with receiver processing not modeled in the twin. Because the twin omits noise and hardware impairments and is only qualitatively compared to a single measured example, these results provide representation-level guidance under controlled synthetic conditions rather than ready-to-use clinical performance in real settings.




Abstract:Segmentation has long been essential in computer vision due to its numerous real-world applications. However, most traditional deep learning and machine learning models need help to capture geometric features such as size and convexity of the segmentation targets, resulting in suboptimal outcomes. To resolve this problem, we propose using a CovHuSeg algorithm to solve the problem of kidney glomeruli segmentation. This simple post-processing method is specified to adapt to the segmentation of ball-shaped anomalies, including the glomerulus. Unlike other post-processing methods, the CovHuSeg algorithm assures that the outcome mask does not have holes in it or comes in unusual shapes that are impossible to be the shape of a glomerulus. We illustrate the effectiveness of our method by experimenting with multiple deep-learning models in the context of segmentation on kidney pathology images. The results show that all models have increased accuracy when using the CovHuSeg algorithm.




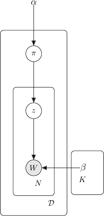
Abstract:Topic models (e.g., pLSA, LDA, sLDA) have been widely used for segmenting imagery. However, these models are confined to crisp segmentation, forcing a visual word (i.e., an image patch) to belong to one and only one topic. Yet, there are many images in which some regions cannot be assigned a crisp categorical label (e.g., transition regions between a foggy sky and the ground or between sand and water at a beach). In these cases, a visual word is best represented with partial memberships across multiple topics. To address this, we present a partial membership latent Dirichlet allocation (PM-LDA) model and an associated parameter estimation algorithm. This model can be useful for imagery where a visual word may be a mixture of multiple topics. Experimental results on visual and sonar imagery show that PM-LDA can produce both crisp and soft semantic image segmentations; a capability previous topic modeling methods do not have.