Abstract:Retrieval-Augmented Generation (RAG) has recently been extended to multimodal settings, connecting multimodal large language models (MLLMs) with vast corpora of external knowledge such as multimodal knowledge graphs (MMKGs). Despite their recent success, multimodal RAG in the audio-visual domain remains challenging due to 1) limited modality coverage and multi-hop connectivity of existing MMKGs, and 2) retrieval based solely on similarity in a shared multimodal embedding space, which fails to filter out off-topic or redundant knowledge. To address these limitations, we propose M$^3$KG-RAG, a Multi-hop Multimodal Knowledge Graph-enhanced RAG that retrieves query-aligned audio-visual knowledge from MMKGs, improving reasoning depth and answer faithfulness in MLLMs. Specifically, we devise a lightweight multi-agent pipeline to construct multi-hop MMKG (M$^3$KG), which contains context-enriched triplets of multimodal entities, enabling modality-wise retrieval based on input queries. Furthermore, we introduce GRASP (Grounded Retrieval And Selective Pruning), which ensures precise entity grounding to the query, evaluates answer-supporting relevance, and prunes redundant context to retain only knowledge essential for response generation. Extensive experiments across diverse multimodal benchmarks demonstrate that M$^3$KG-RAG significantly enhances MLLMs' multimodal reasoning and grounding over existing approaches.
Abstract:Self-supervised learning (SSL) in graphs has garnered significant attention, particularly in employing Graph Neural Networks (GNNs) with pretext tasks initially designed for other domains, such as contrastive learning and feature reconstruction. However, it remains uncertain whether these methods effectively reflect essential graph properties, precisely representation similarity with its neighbors. We observe that existing methods position opposite ends of a spectrum driven by the graph embedding smoothness, with each end corresponding to outperformance on specific downstream tasks. Decomposing the SSL objective into three terms via an information-theoretic framework with a neighbor representation variable reveals that this polarization stems from an imbalance among the terms, which existing methods may not effectively maintain. Further insights suggest that balancing between the extremes can lead to improved performance across a wider range of downstream tasks. A framework, BSG (Balancing Smoothness in Graph SSL), introduces novel loss functions designed to supplement the representation quality in graph-based SSL by balancing the derived three terms: neighbor loss, minimal loss, and divergence loss. We present a theoretical analysis of the effects of these loss functions, highlighting their significance from both the SSL and graph smoothness perspectives. Extensive experiments on multiple real-world datasets across node classification and link prediction consistently demonstrate that BSG achieves state-of-the-art performance, outperforming existing methods. Our implementation code is available at https://github.com/steve30572/BSG.




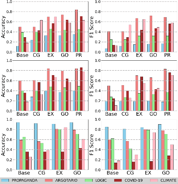
Abstract:The advancement of Large Language Models (LLMs) has greatly improved our ability to process complex language. However, accurately detecting logical fallacies remains a significant challenge. This study presents a novel and effective prompt formulation approach for logical fallacy detection, applicable in both supervised (fine-tuned) and unsupervised (zero-shot) settings. Our method enriches input text incorporating implicit contextual information -- counterarguments, explanations, and goals -- which we query for validity within the context of the argument. We then rank these queries based on confidence scores to inform classification. We evaluate our approach across multiple datasets from 5 domains, covering 29 distinct fallacy types, using models from the GPT and LLaMA series. The results show substantial improvements over state-of-the-art models, with F1 score increases of up to 0.60 in zero-shot settings and up to 0.45 in fine-tuned models. Extensive analyses further illustrate why and how our method excels.
Abstract:Recent Self-Supervised Learning (SSL) methods encapsulating relational information via masking in Graph Neural Networks (GNNs) have shown promising performance. However, most existing approaches rely on random masking strategies in either feature or graph space, which may fail to capture task-relevant information fully. We posit that this limitation stems from an inability to achieve minimum redundancy between masked and unmasked components while ensuring maximum relevance of both to potential downstream tasks. Conditional Independence (CI) inherently satisfies the minimum redundancy and maximum relevance criteria, but its application typically requires access to downstream labels. To address this challenge, we introduce CIMAGE, a novel approach that leverages Conditional Independence to guide an effective masking strategy within the latent space. CIMAGE utilizes CI-aware latent factor decomposition to generate two distinct contexts, leveraging high-confidence pseudo-labels derived from unsupervised graph clustering. In this framework, the pretext task involves reconstructing the masked second context solely from the information provided by the first context. Our theoretical analysis further supports the superiority of CIMAGE's novel CI-aware masking method by demonstrating that the learned embedding exhibits approximate linear separability, which enables accurate predictions for the downstream task. Comprehensive evaluations across diverse graph benchmarks illustrate the advantage of CIMAGE, with notably higher average rankings on node classification and link prediction tasks. Notably, our proposed model highlights the under-explored potential of CI in enhancing graph SSL methodologies and offers enriched insights for effective graph representation learning.




Abstract:Multi-modal transformers are rapidly gaining attention in video captioning tasks. Existing multi-modal video captioning methods typically extract a fixed number of frames, which raises critical challenges. When a limited number of frames are extracted, important frames with essential information for caption generation may be missed. Conversely, extracting an excessive number of frames includes consecutive frames, potentially causing redundancy in visual tokens extracted from consecutive video frames. To extract an appropriate number of frames for each video, this paper proposes the first model-agnostic module selection framework in video captioning that has two main functions: (1) selecting a caption generation module with an appropriate size based on visual tokens extracted from video frames, and (2) constructing subsets of visual tokens for the selected caption generation module. Furthermore, we propose a new adaptive attention masking scheme that enhances attention on important visual tokens. Our experiments on three different benchmark datasets demonstrate that the proposed framework significantly improves the performance of three recent video captioning models.
Abstract:In the rapidly advancing realm of educational technology, it becomes critical to accurately trace and understand student knowledge states. Conventional Knowledge Tracing (KT) models have mainly focused on binary responses (i.e., correct and incorrect answers) to questions. Unfortunately, they largely overlook the essential information in students' actual answer choices, particularly for Multiple Choice Questions (MCQs), which could help reveal each learner's misconceptions or knowledge gaps. To tackle these challenges, we propose the Concept map-driven Response disentanglement method for enhancing Knowledge Tracing (CRKT) model. CRKT benefits KT by directly leveraging answer choices--beyond merely identifying correct or incorrect answers--to distinguish responses with different incorrect choices. We further introduce the novel use of unchosen responses by employing disentangled representations to get insights from options not selected by students. Additionally, CRKT tracks the student's knowledge state at the concept level and encodes the concept map, representing the relationships between them, to better predict unseen concepts. This approach is expected to provide actionable feedback, improving the learning experience. Our comprehensive experiments across multiple datasets demonstrate CRKT's effectiveness, achieving superior performance in prediction accuracy and interpretability over state-of-the-art models.
Abstract:Multi-hop logical reasoning on knowledge graphs is a pivotal task in natural language processing, with numerous approaches aiming to answer First-Order Logic (FOL) queries. Recent geometry (e.g., box, cone) and probability (e.g., beta distribution)-based methodologies have effectively addressed complex FOL queries. However, a common challenge across these methods lies in determining accurate geometric bounds or probability parameters for these queries. The challenge arises because existing methods rely on linear sequential operations within their computation graphs, overlooking the logical structure of the query and the relation-induced information that can be gleaned from the relations of the query, which we call the context of the query. To address the problem, we propose a model-agnostic methodology that enhances the effectiveness of existing multi-hop logical reasoning approaches by fully integrating the context of the FOL query graph. Our approach distinctively discerns (1) the structural context inherent to the query structure and (2) the relation-induced context unique to each node in the query graph as delineated in the corresponding knowledge graph. This dual-context paradigm helps nodes within a query graph attain refined internal representations throughout the multi-hop reasoning steps. Through experiments on two datasets, our method consistently enhances the three multi-hop reasoning foundation models, achieving performance improvements of up to 19.5%. Our code is available at https://github.com/kjh9503/caqr.




Abstract:Collaborative filtering (CF) is a pivotal technique in modern recommender systems. The learning process of CF models typically consists of three components: interaction encoder, loss function, and negative sampling. Although many existing studies have proposed various CF models to design sophisticated interaction encoders, recent work shows that simply reformulating the loss functions can achieve significant performance gains. This paper delves into analyzing the relationship among existing loss functions. Our mathematical analysis reveals that the previous loss functions can be interpreted as alignment and uniformity functions: (i) the alignment matches user and item representations, and (ii) the uniformity disperses user and item distributions. Inspired by this analysis, we propose a novel loss function that improves the design of alignment and uniformity considering the unique patterns of datasets called Margin-aware Alignment and Weighted Uniformity (MAWU). The key novelty of MAWU is two-fold: (i) margin-aware alignment (MA) mitigates user/item-specific popularity biases, and (ii) weighted uniformity (WU) adjusts the significance between user and item uniformities to reflect the inherent characteristics of datasets. Extensive experimental results show that MF and LightGCN equipped with MAWU are comparable or superior to state-of-the-art CF models with various loss functions on three public datasets.




Abstract:Machine learning (ML) models have been quite successful in predicting outcomes in many applications. However, in some cases, domain experts might have a judgment about the expected outcome that might conflict with the prediction of ML models. One main reason for this is that the training data might not be totally representative of the population. In this paper, we present a novel framework that aims at leveraging experts' judgment to mitigate the conflict. The underlying idea behind our framework is that we first determine, using a generative adversarial network, the degree of representation of an unlabeled data point in the training data. Then, based on such degree, we correct the \textcolor{black}{machine learning} model's prediction by incorporating the experts' judgment into it, where the higher that aforementioned degree of representation, the less the weight we put on the expert intuition that we add to our corrected output, and vice-versa. We perform multiple numerical experiments on synthetic data as well as two real-world case studies (one from the IT services industry and the other from the financial industry). All results show the effectiveness of our framework; it yields much higher closeness to the experts' judgment with minimal sacrifice in the prediction accuracy, when compared to multiple baseline methods. We also develop a new evaluation metric that combines prediction accuracy with the closeness to experts' judgment. Our framework yields statistically significant results when evaluated on that metric.




Abstract:Node representation learning in a network is an important machine learning technique for encoding relational information in a continuous vector space while preserving the inherent properties and structures of the network. Recently, unsupervised node embedding methods such as DeepWalk, LINE, struc2vec, PTE, UserItem2vec, and RWJBG have emerged from the Skip-gram model and perform better performance in several downstream tasks such as node classification and link prediction than the existing relational models. However, providing post-hoc explanations of Skip-gram-based embeddings remains a challenging problem because of the lack of explanation methods and theoretical studies applicable for embeddings. In this paper, we first show that global explanations to the Skip-gram-based embeddings can be found by computing bridgeness under a spectral cluster-aware local perturbation. Moreover, a novel gradient-based explanation method, which we call GRAPH-wGD, is proposed that allows the top-q global explanations about learned graph embedding vectors more efficiently. Experiments show that the ranking of nodes by scores using GRAPH-wGD is highly correlated with true bridgeness scores. We also observe that the top-q node-level explanations selected by GRAPH-wGD have higher importance scores and produce more changes in class label prediction when perturbed, compared with the nodes selected by recent alternatives, using five real-world graphs.