Abstract:In the domain of streaming recommender systems, conventional methods for addressing new user IDs or item IDs typically involve assigning initial ID embeddings randomly. However, this practice results in two practical challenges: (i) Items or users with limited interactive data may yield suboptimal prediction performance. (ii) Embedding new IDs or low-frequency IDs necessitates consistently expanding the embedding table, leading to unnecessary memory consumption. In light of these concerns, we introduce a reinforcement learning-driven framework, namely AutoAssign+, that facilitates Automatic Shared Embedding Assignment Plus. To be specific, AutoAssign+ utilizes an Identity Agent as an actor network, which plays a dual role: (i) Representing low-frequency IDs field-wise with a small set of shared embeddings to enhance the embedding initialization, and (ii) Dynamically determining which ID features should be retained or eliminated in the embedding table. The policy of the agent is optimized with the guidance of a critic network. To evaluate the effectiveness of our approach, we perform extensive experiments on three commonly used benchmark datasets. Our experiment results demonstrate that AutoAssign+ is capable of significantly enhancing recommendation performance by mitigating the cold-start problem. Furthermore, our framework yields a reduction in memory usage of approximately 20-30%, verifying its practical effectiveness and efficiency for streaming recommender systems.




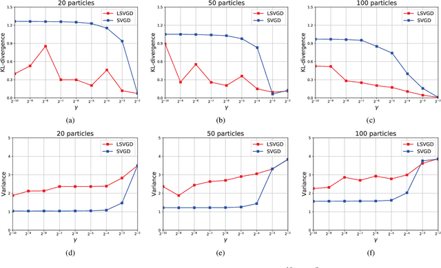
Abstract:Generative adversarial networks (GANs), famous for the capability of learning complex underlying data distribution, are however known to be tricky in the training process, which would probably result in mode collapse or performance deterioration. Current approaches of dealing with GANs' issues almost utilize some practical training techniques for the purpose of regularization, which on the other hand undermines the convergence and theoretical soundness of GAN. In this paper, we propose to stabilize GAN training via a novel particle-based variational inference -- Langevin Stein variational gradient descent (LSVGD), which not only inherits the flexibility and efficiency of original SVGD but aims to address its instability issues by incorporating an extra disturbance into the update dynamics. We further demonstrate that by properly adjusting the noise variance, LSVGD simulates a Langevin process whose stationary distribution is exactly the target distribution. We also show that LSVGD dynamics has an implicit regularization which is able to enhance particles' spread-out and diversity. At last we present an efficient way of applying particle-based variational inference on a general GAN training procedure no matter what loss function is adopted. Experimental results on one synthetic dataset and three popular benchmark datasets -- Cifar-10, Tiny-ImageNet and CelebA validate that LSVGD can remarkably improve the performance and stability of various GAN models.