Abstract:This paper investigates movable antenna (MA) aided non-orthogonal multiple access (NOMA) for multi-user downlink communication, where the base station (BS) is equipped with a fixed-position antenna (FPA) array to serve multiple MA-enabled users. An optimization problem is formulated to maximize the minimum achievable rate among all the users by jointly optimizing the MA positioning of each user, the precoding matrix at the BS, and the successive interference cancellation (SIC) decoding indicator matrix at the users, subject to a set of constraints including the limited movement area of the MAs, the maximum transmit power of the BS, and the SIC decoding condition. To solve this non-convex problem, we propose a two-loop iterative optimization algorithm that combines the hippopotamus optimization (HO) method with the alternating optimization (AO) method to obtain a suboptimal solution efficiently. Specifically, in the inner loop, the complex-valued precoding matrix and the binary decoding indicator matrix are optimized alternatively by the successive convex approximation (SCA) technique with customized greedy search to maximize the minimum achievable rate for the given positions of the MAs. In the outer loop, each user's antenna position is updated using the HO algorithm, following a novel nature-inspired intelligent optimization framework. Simulation results show that the proposed algorithms can effectively avoid local optimum for highly coupled variables and significantly improve the rate performance of the NOMA system compared to the conventional FPA system as well as other benchmark schemes.




Abstract:In this letter, we investigate the security of fluid antenna system (FAS)-reconfigurable intelligent surfaces (RIS) communication systems. The base station (BS) employs a single fixed-position antenna, while both the legitimate receiver and the eavesdropper are equipped with fluid antennas. By utilizing the block-correlation model and the central limit theorem (CLT), we derive approximate expressions for the average secrecy capacity and secrecy outage probability (SOP). Our analysis, validated by simulation results, demonstrates the effectiveness of the block-correlation model in accurately assessing the security performance. Moreover, simulation results reveal that FAS-RIS system significantly outperforms other systems in terms of security, further underscoring its potential in secure communication applications.




Abstract:The additional degree of freedom (DoF) in the distance domain of near-field communication offers new opportunities for physical layer security (PLS) design. However, existing works mainly consider static eavesdroppers, and the related study with mobile eavesdroppers is still in its infancy due to the difficulty in obtaining the channel state information (CSI) of the eavesdropper. To this end, we propose to leverage the sensing capability of integrated sensing and communication (ISAC) systems to assist PLS design. To comprehensively study the dynamic behaviors of the system, we propose a Pareto optimization framework, where a multi-objective optimization problem (MOOP) is formulated to simultaneously optimize three key performance metrics: power consumption, number of securely served users, and tracking performance, while guaranteeing the achievable rate of the users with a given leakage rate constraint. A globally optimal design based on the generalized Benders decomposition (GBD) method is proposed to achieve the Pareto optimal solutions. To reduce the computational complexity, we further design a low-complexity algorithm based on zero-forcing (ZF) beamforming and successive convex approximation (SCA). Simulation results validate the effectiveness of the proposed algorithms and reveal the intrinsic trade-offs between the three performance metrics. It is observed that near-field communication offers a favorable beam diffraction effect for PLS, where the energy of the information signal is nulled around the eavesdropper and focused on the users.




Abstract:In this paper, we propose the {\alpha}-Lomax distribution as a new compound fading channel model. This new distribution generalizes the recently introduced Lomax fading channel model. It is worth noting that the Lomax distribution is a decreasing function, while the {\alpha}-Lomax is a unimodal function, offering greater flexibility in modeling wireless fading channels. In particular, we derive closed-form expressions for the probability density function and cumulative distribution function for the instantaneous signal-to-noise ratio (SNR). Additionally, we provide closed-form expressions for several fundamental performance metrics, including outage probability, average bit error rate, and channel capacity. Furthermore, we derive closed-form expression for the average block-length error rate in short-packet communications. Moreover, we fit the PDF of the proposed channel model to empirical data obtained from a device-to-device communication system. We also offer simple and accurate approximations for these expressions in the high SNR regime.




Abstract:Active reconfigurable intelligent surface (RIS) has attracted significant attention as a recently proposed RIS architecture. Owing to its capability to amplify the incident signals, active RIS can mitigate the multiplicative fading effect inherent in the passive RIS-aided system. In this paper, we consider an active RIS-aided uplink multi-user massive multiple-input multiple-output (MIMO) system in the presence of phase noise at the active RIS. Specifically, we employ a two-timescale scheme, where the beamforming at the base station (BS) is adjusted based on the instantaneous aggregated channel state information (CSI) and the statistical CSI serves as the basis for designing the phase shifts at the active RIS, so that the feedback overhead and computational complexity can be significantly reduced. The aggregated channel composed of the cascaded and direct channels is estimated by utilizing the linear minimum mean square error (LMMSE) technique. Based on the estimated channel, we derive the analytical closed-form expression of a lower bound of the achievable rate. The power scaling laws in the active RIS-aided system are investigated based on the theoretical expressions. When the transmit power of each user is scaled down by the number of BS antennas M or reflecting elements N, we find that the thermal noise will cause the lower bound of the achievable rate to approach zero, as the number of M or N increases to infinity. Moreover, an optimization approach based on genetic algorithms (GA) is introduced to tackle the phase shift optimization problem. Numerical results reveal that the active RIS can greatly enhance the performance of the considered system under various settings.
Abstract:This paper studies an intelligent reflecting surface (IRS)-aided multi-antenna simultaneous wireless information and power transfer (SWIPT) system where an $M$-antenna access point (AP) serves $K$ single-antenna information users (IUs) and $J$ single-antenna energy users (EUs) with the aid of an IRS with phase errors. We explicitly concentrate on overloaded scenarios where $K + J > M$ and $K \geq M$. Our goal is to maximize the minimum throughput among all the IUs by optimizing the allocation of resources (including time, transmit beamforming at the AP, and reflect beamforming at the IRS), while guaranteeing the minimum amount of harvested energy at each EU. Towards this goal, we propose two user grouping (UG) schemes, namely, the non-overlapping UG scheme and the overlapping UG scheme, where the difference lies in whether identical IUs can exist in multiple groups. Different IU groups are served in orthogonal time dimensions, while the IUs in the same group are served simultaneously with all the EUs via spatial multiplexing. The two problems corresponding to the two UG schemes are mixed-integer non-convex optimization problems and difficult to solve optimally. We propose efficient algorithms for these two problems based on the big-M formulation, the penalty method, the block coordinate descent, and the successive convex approximation. Simulation results show that: 1) the non-robust counterparts of the proposed robust designs are unsuitable for practical IRS-aided SWIPT systems with phase errors since the energy harvesting constraints cannot be satisfied; 2) the proposed UG strategies can significantly improve the max-min throughput over the benchmark schemes without UG or adopting random UG; 3) the overlapping UG scheme performs much better than its non-overlapping counterpart when the absolute difference between $K$ and $M$ is small and the EH constraints are not stringent.




Abstract:The polarization domain provides an extra degree of freedom (DoF) for improving the performance of multiple-input multiple-output (MIMO) systems. This paper takes advantage of this additional DoF to alleviate practical issues of successive interference cancellation (SIC) in rate-splitting multiple access (RSMA) schemes. Specifically, we propose three dual-polarized downlink transmission approaches for a massive MIMO-RSMA network under the effects of polarization interference and residual errors of imperfect SIC. The first approach implements polarization multiplexing for transmitting the users' data messages, which removes the need to execute SIC in the reception. The second approach transmits replicas of users' messages in the two polarizations, which enables users to exploit diversity through the polarization domain. The third approach, in its turn, employs the original SIC-based RSMA technique per polarization, and this allows the BS to transmit two independent superimposed data streams simultaneously. An in-depth theoretical analysis is carried out, in which we derive tight closed-form approximations for the outage probabilities of the three proposed approaches. Accurate approximations for the ergodic sum-rates of the two first schemes are also derived. Simulation results validate the theoretical analysis and confirm the effectiveness of the proposed schemes. For instance, under low to moderate cross-polar interference, the results show that, even under high levels of residual SIC error, our dual-polarized MIMO-RSMA strategies outperform the conventional single-polarized MIMO-RSMA counterpart. It is also shown that the performance of all RSMA schemes is impressively higher than that of single and dual-polarized massive MIMO systems employing non-orthogonal multiple access (NOMA) and orthogonal multiple access (OMA) techniques.




Abstract:Semantic communication enables intelligent agents to extract meaning (or semantics) of information via interaction, to carry out collaborative tasks. In this paper, we study semantic communication from a topological space perspective, in which higher-order data semantics live in a simplicial complex. Specifically, a transmitter first maps its data into a $k$-order simplicial complex and then learns its high-order correlations. The simplicial structure and corresponding features are encoded into semantic embeddings in latent space for transmission. Subsequently, the receiver decodes the structure and infers the missing or distorted data. The transmitter and receiver collaboratively train a simplicial convolutional autoencoder to accomplish the semantic communication task. Experiments are carried out on a real dataset of Semantic Scholar Open Research Corpus, where one part of the semantic embedding is missing or distorted during communication. Numerical results show that the simplicial convolutional autoencoder enabled semantic communication effectively rebuilds the simplicial features and infer the missing data with $95\%$ accuracy, while achieving stable performance under channel noise. In contrast, the conventional autoencoder enabled communication fails to infer any missing data. Moreover, our approach is shown to effectively infer the distorted data without prior simplicial structure knowledge at the receiver, by learning extracted semantic information during communications. Leveraging the topological nature of information, the proposed method is also shown to be more reliable and efficient compared to several baselines, notably at low signal-to-noise (SNR) levels.




Abstract:In this paper, we propose a novel adaptive decoding mechanism (ADM) for the unmanned aerial vehicle (UAV)-enabled uplink (UL) non-orthogonal multiple access (NOMA) communications. Specifically, considering a harsh UAV environment where ground-to-ground links are regularly unavailable, the proposed ADM overcomes the challenging problem of conventional UL-NOMA systems whose performance is sensitive to the transmitter's statistical channel state information and the receiver's decoding order. To evaluate the performance of the ADM, we derive closed-form expressions for the system outage probability (OP) and throughput. In the performance analysis, we provide novel expressions for practical air-to-ground and ground-to-air channels while taking into account the practical implementation of imperfect successive interference cancellation (SIC) in UL-NOMA. These results have not been previously reported in the technical literature. Moreover, the obtained expression can be adopted to characterize the OP of various systems under a Mixture of Gamma (MG) distribution-based fading channels. Next, we propose a sub-optimal Gradient Descent-based algorithm to obtain the power allocation coefficients that result in maximum throughput with respect to each location on UAV's trajectory, which follows a random waypoint mobility model for UAVs. Numerical solutions show that the ADM significantly improves the performance of UAV-enabled UL-NOMA, particularly in mobile environments.




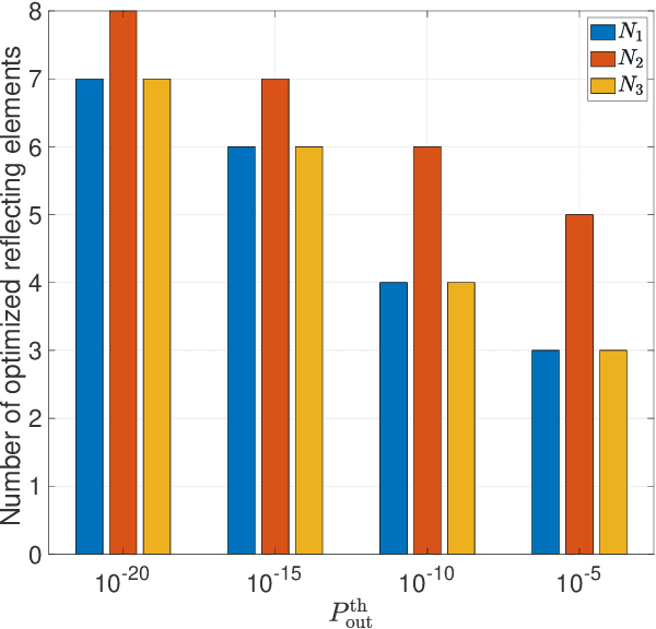
Abstract:This paper analyzes the performance of multiple reconfigurable intelligent surfaces (RISs)-aided networks. The paper also provides some optimization results on the number of reflecting elements on RISs and the optimal placement of RISs. We first derive accurate closed-form approximations for RIS channels' distributions assuming independent non-identically distributed (i.ni.d.) Nakagami-\emph{m} fading environment. Then, the approximate expressions for outage probability (OP) and average symbol error probability are derived in closed-form. Furthermore, to get more insights into the system performance, we derive the asymptotic OP at the high signal-to-noise ratio regime and provide closed-form expressions for the system diversity order and coding gain. Finally, the accuracy of our theoretical analysis is validated through Monte-Carlo simulations. The obtained results show that the considered RIS scenario can provide a diversity order of $\frac{a}{2}K$, where $a$ is a function of the Nakagami fading parameter $m$ and the number of meta-surface elements $N$, and $K$ is the number of RISs.