Abstract:Movable antennas (MA) have gained significant attention in recent years to overcome the limitations of extremely large antenna arrays in terms of cost and power consumption. In this paper, we investigate the use of MA arrays at the base station (BS) for angle-of-departure (AoD) estimation under uncertainty in the user equipment (UE) location. Specifically, we (i) derive the theoretical performance limits through the Cramér-Rao bound (CRB) and (ii) optimize the antenna positions to ensure robust performance within the UE's uncertainty region. Numerical results show that dynamically optimizing antenna placement by explicitly considering the uncertainty region yields superior performance compared to fixed arrays, demonstrating the ability of MA systems to adapt and outperform conventional arrays.




Abstract:Radio stripes (RSs) is an emerging technology in beyond 5G and 6G wireless networks to support the deployment of cell-free architectures. In this paper, we investigate the potential use of RSs to enable joint positioning and synchronization in the uplink channel at sub-6 GHz bands. The considered scenario consists of a single-antenna user equipment (UE) that communicates with a network of multiple-antenna RSs distributed over a wide area. The UE is assumed to be unsynchronized to the RSs network, while individual RSs are time- and phase-synchronized. We formulate the problem of joint estimation of position, clock offset, and phase offset of the UE and derive the corresponding maximum-likelihood (ML) estimator, both with and without exploiting carrier phase information. To gain fundamental insights into the achievable performance, we also conduct a Fisher information analysis and inspect the theoretical lower bounds numerically. Simulation results demonstrate that promising positioning and synchronization performance can be obtained in cell-free architectures supported by RSs, revealing at the same time the benefits of carrier phase exploitation through phase-synchronized RSs.




Abstract:We consider the problem of ESPRIT-oriented precoder design for beamspace angle-of-departure (AoD) estimation in downlink mmWave multiple-input single-output communications. Standard precoders (i.e., directional/sum beams) yield poor performance in AoD estimation, while Cramer-Rao bound-optimized precoders undermine the so-called shift invariance property (SIP) of ESPRIT. To tackle this issue, the problem of designing ESPRIT-oriented precoders is formulated to jointly optimize over the precoding matrix and the SIP-restoring matrix of ESPRIT. We develop an alternating optimization approach that updates these two matrices under unit-modulus constraints for analog beamforming architectures. Simulation results demonstrate the validity of the proposed approach while providing valuable insights on the beampatterns of the ESPRIT-oriented precoders.




Abstract:Due to their shorter operating range and large bandwidth, automotive radars can resolve many reflections from their targets of interest, mainly vehicles. This calls for the use of extended-target models in place of simpler and more widely-adopted point-like target models. However, despite some preliminary work, the fundamental connection between the radar's accuracy as a function of the target vehicle state (range, orientation, shape) and radar properties remains largely unknown for extended targets. In this work, we first devise a mathematically tractable analytical model for a vehicle with arbitrary shape, modeled as an extended target parameterized by the center position, the orientation (heading) and the perimeter contour. We show that the derived expressions of the backscatter signal are tractable and correctly capture the effects of the extended-vehicle shape. Analytical derivations of the exact and approximate hybrid Cram\'er-Rao bounds for the position, orientation and contour are provided, which reveal connections with the case of point-like target and uncover the main dependencies with the received energy, bandwidth, and array size. The theoretical investigation is performed on the two different cases of known and unknown vehicle shape. Insightful simulation results are finally presented to validate the theoretical findings, including an analysis of the diversity effect of multiple radars sensing the extended target.




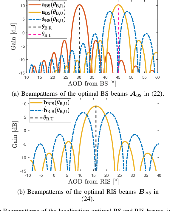
Abstract:Reconfigurable intelligent surfaces (RISs) have attracted enormous interest thanks to their ability to overcome line-of-sight blockages in mmWave systems, enabling in turn accurate localization with minimal infrastructure. Less investigated are however the benefits of exploiting RIS with suitably designed beamforming strategies for optimized localization and synchronization performance. In this paper, a novel low-complexity method for joint localization and synchronization based on an optimized design of the base station (BS) active precoding and RIS passive phase profiles is proposed, for the challenging case of a single-antenna receiver. The theoretical position error bound is first derived and used as metric to jointly optimize the BS-RIS beamforming, assuming a priori knowledge of the user position. By exploiting the low-dimensional structure of the solution, a novel codebook-based robust design strategy with optimized beam power allocation is then proposed, which provides low-complexity while taking into account the uncertainty on the user position. Finally, a reduced-complexity maximum-likelihood based estimation procedure is devised to jointly recover the user position and the synchronization offset. Extensive numerical analysis shows that the proposed joint BS-RIS beamforming scheme provides enhanced localization and synchronization performance compared to existing solutions, with the proposed estimator attaining the theoretical bounds even at low signal-to-noise-ratio and in the presence of additional uncontrollable multipath propagation.




Abstract:The paper addresses the design of adaptive radar detectors having desired behavior, in Gaussian disturbance with unknown statistics. Specifically, given detection probability specifications for chosen signal-to-noise ratios and steering vector mismatch levels, a methodology for the optimal design of customized CFAR detectors is devised in a suitable feature plane based on maximal invariant statistics. To overcome the analytical and numerical intractability of the resulting optimization problem, a novel general reduced-complexity algorithm is developed, which is shown to be effective in providing a close approximation of the desired detector. The proposed approach solves the open problem of ensuring a prefixed false alarm probability while controlling the behavior under both matched and mismatched conditions, so enabling the design of fully customized adaptive CFAR detectors.




Abstract:In this paper, we propose a new solution for the detection problem of a coherent target in heterogeneous environments. Specifically, we first assume that clutter returns from different range bins share the same covariance structure but different power levels. This model meets the experimental evidence related to non-Gaussian and non-homogeneous scenarios. Then, unlike existing solutions that are based upon estimate and plug methods, we propose an approximation of the generalized likelihood ratio test where the maximizers of the likelihoods are obtained through an alternating estimation procedure. Remarkably, we also prove that such estimation procedure leads to an architecture possessing the constant false alarm rate (CFAR) when a specific initialization is used. The performance analysis, carried out on simulated as well as measured data and in comparison with suitable well-known competitors, highlights that the proposed architecture can overcome the CFAR competitors and exhibits a limited loss with respect to the other non-CFAR detectors.




Abstract:Heavy-tailed random samples, as well as their sum or average, are encountered in a number of signal processing applications in radar, communications, finance, and natural sciences. Modeling such data through the Pareto distribution is particularly attractive due to its simple analytical form, but may lead to infinite variance and/or mean, which is not physically plausible: in fact, samples are always bounded in practice, namely because of clipping during the signal acquisition or deliberate censoring or trimming (truncation) at the processing stage. Based on this motivation, the paper derives and analyzes the distribution of the sum of right-censored Pareto Type-II variables, which generalizes the conventional Pareto (Type-I) and Lomax distributions. The distribution of the sum of truncated Pareto is also obtained, and an analytical connection is drawn with the unbounded case. A numerical analysis illustrates the findings, providing insights on several aspects including the intimate mixture structure of the obtained expressions.




Abstract:We consider a network scenario in which agents can evaluate each other according to a score graph that models some interactions. The goal is to design a distributed protocol, run by the agents, that allows them to learn their unknown state among a finite set of possible values. We propose a Bayesian framework in which scores and states are associated to probabilistic events with unknown parameters and hyperparameters, respectively. We show that each agent can learn its state by means of a local Bayesian classifier and a (centralized) Maximum-Likelihood (ML) estimator of parameter-hyperparameter that combines plain ML and Empirical Bayes approaches. By using tools from graphical models, which allow us to gain insight on conditional dependencies of scores and states, we provide a relaxed probabilistic model that ultimately leads to a parameter-hyperparameter estimator amenable to distributed computation. To highlight the appropriateness of the proposed relaxation, we demonstrate the distributed estimators on a social interaction set-up for user profiling.




Abstract:In this paper we consider a network scenario in which agents can evaluate each other according to a score graph that models some physical or social interaction. The goal is to design a distributed protocol, run by the agents, allowing them to learn their unknown state among a finite set of possible values. We propose a Bayesian framework in which scores and states are associated to probabilistic events with unknown parameters and hyperparameters respectively. We prove that each agent can learn its state by means of a local Bayesian classifier and a (centralized) Maximum-Likelihood (ML) estimator of the parameter-hyperparameter that combines plain ML and Empirical Bayes approaches. By using tools from graphical models, which allow us to gain insight on conditional dependences of scores and states, we provide two relaxed probabilistic models that ultimately lead to ML parameter-hyperparameter estimators amenable to distributed computation. In order to highlight the appropriateness of the proposed relaxations, we demonstrate the distributed estimators on a machine-to-machine testing set-up for anomaly detection and on a social interaction set-up for user profiling.