



Abstract:This paper focuses on the design of a robust decision scheme capable of operating in target-rich scenarios with unknown signal signatures (including their range positions, angles of arrival, and number) in a background of Gaussian disturbance. To solve the problem at hand, a novel estimation procedure is conceived resorting to the expectation-maximization algorithm in conjunction with the hierarchical latent variable model that are exploited to come up with a maximum \textit{a posteriori} rule for reliable signal classification and angle of arrival estimation. The estimates returned by the procedure are then used to build up an adaptive detection architecture in range and azimuth based on the likelihood ratio test with enhanced detection performance. Remarkably, it is shown that the new decision scheme can maintain constant the false alarm rate when the interference parameters vary in the considered range of values. The performance assessment, conducted by means of Monte Carlo simulation, highlights that the proposed detector exhibits superior detection performance in comparison with the existing GLRT-based competitors.




Abstract:This paper addresses the adaptive radar target detection problem in the presence of Gaussian interference with unknown statistical properties. To this end, the problem is first formulated as a binary hypothesis test, and then we derive a detection architecture grounded on the hybrid of Maximum Likelihood (ML) and Maximum A Posterior (MAP) approach. Specifically, we resort to the hidden discrete latent variables in conjunction with the Expectation-Maximization (EM) algorithms which cyclically updates the estimates of the unknowns. In this framework, the estimates of the a posteriori probabilities under each hypothesis are representative of the inherent nature of data and used to decide for the presence of a potential target. In addition, we prove that the developed detection scheme ensures the desired Constant False Alarm Rate property with respect to the unknown interference covariance matrix. Numerical examples obtained through synthetic and real recorded data corroborate the effectiveness of the proposed architecture and show that the MAP-based approach ensures evident improvement with respect to the conventional generalized likelihood ratio test at least for the considered scenarios and parameter setting.




Abstract:As a cost-effective and robust technology, automotive radar has seen steady improvement during the last years, making it an appealing complement to commonly used sensors like camera and LiDAR in autonomous driving. Radio frequency data with rich semantic information are attracting more and more attention. Most current radar-based models take radio frequency image sequences as the input. However, these models heavily rely on convolutional neural networks and leave out the spatial-temporal semantic context during the encoding stage. To solve these problems, we propose a model called Mask-RadarNet to fully utilize the hierarchical semantic features from the input radar data. Mask-RadarNet exploits the combination of interleaved convolution and attention operations to replace the traditional architecture in transformer-based models. In addition, patch shift is introduced to the Mask-RadarNet for efficient spatial-temporal feature learning. By shifting part of patches with a specific mosaic pattern in the temporal dimension, Mask-RadarNet achieves competitive performance while reducing the computational burden of the spatial-temporal modeling. In order to capture the spatial-temporal semantic contextual information, we design the class masking attention module (CMAM) in our encoder. Moreover, a lightweight auxiliary decoder is added to our model to aggregate prior maps generated from the CMAM. Experiments on the CRUW dataset demonstrate the superiority of the proposed method to some state-of-the-art radar-based object detection algorithms. With relatively lower computational complexity and fewer parameters, the proposed Mask-RadarNet achieves higher recognition accuracy for object detection in autonomous driving.




Abstract:This paper deals with the problem of clustering data returned by a radar sensor network that monitors a region where multiple moving targets are present. The network is formed by nodes with limited functionalities that transmit the estimates of target positions (after a detection) to a fusion center without any association between measurements and targets. To solve the problem at hand, we resort to model-based learning algorithms and instead of applying the plain maximum likelihood approach, due to the related computational requirements, we exploit the latent variable model coupled with the expectation-maximization algorithm. The devised estimation procedure returns posterior probabilities that are used to cluster the huge amount of data collected by the fusion center. Remarkably, we also consider challenging scenarios with an unknown number of targets and estimate it by means of the model order selection rules. The clustering performance of the proposed strategy is compared to that of conventional data-driven methods over synthetic data. The numerical examples point out that the herein proposed solutions can provide reliable clustering performance overcoming the considered competitors.




Abstract:In this paper, we address the problem of classifying data within the radar reference window in terms of statistical properties. Specifically, we partition these data into statistically homogeneous subsets by identifying possible clutter power variations with respect to the cells under test (accounting for possible range-spread targets) and/or clutter edges. To this end, we consider different situations of practical interest and formulate the classification problem as multiple hypothesis tests comprising several models for the operating scenario. Then, we solve the hypothesis testing problems by resorting to suitable approximations of the model order selection rules due to the intractable mathematics associated with the maximum likelihood estimation of some parameters. Remarkably, the classification results provided by the proposed architectures represent an advanced clutter map since, besides the estimation of the clutter parameters, they contain a clustering of the range bins in terms of homogeneous subsets. In fact, such information can drive the conventional detectors towards more reliable estimates of the clutter covariance matrix according to the position of the cells under test. The performance analysis confirms that the conceived architectures represent a viable means to recognize the scenario wherein the radar is operating at least for the considered simulation parameters.




Abstract:Hyperspectral target detection is a task of primary importance in remote sensing since it allows identification, location, and discrimination of target features. To this end, the reflectance maps, which contain the spectral signatures and related abundances of the materials in the observed scene, are often used. However, due to the low spatial resolution of most hyperspectral sensors, targets occupy a fraction of the pixel and, hence, the spectra of different sub-pixel targets (including the background spectrum) are mixed together within the same pixel. To solve this issue, in this paper, we adopt a generalized replacement model accounting for multiple sub-pixel target spectra and formulate the detection problem at hand as a binary hypothesis test where under the alternative hypothesis the target is modeled in terms of a linear combination of endmembers whose coefficients also account for the presence of the background. Then, we devise detection architectures based upon the generalized likelihood ratio test where the unknown parameters are suitably estimated through procedures inspired by the maximum likelihood approach. The performances of the proposed decision schemes are evaluated by means of both synthetic as well as real data and compared with an analogous counterpart by showing the effectiveness of the proposed procedure.




Abstract:The joint adaptive detection of multiple point-like targets in scenarios characterized by different clutter types is still an open problem in the radar community. In this paper, we provide a solution to this problem by devising detection architectures capable of classifying the range bins according to their clutter properties and detecting possible multiple targets whose positions and number are unknown. Remarkably, the information provided by the proposed architectures makes the system aware of the surrounding environment and can be exploited to enhance the entire detection and estimation performance of the system. At the design stage, we assume three different signal models and apply the latent variable model in conjunction with estimation procedures based upon the expectation-maximization algorithm. In addition, for some models, the maximization step cannot be computed in closed-form (at least to the best of authors' knowledge) and, hence, suitable approximations are pursued, whereas, in other cases, the maximization is exact. The performance of the proposed architectures is assessed over synthetic data and shows that they can be effective in heterogeneous scenarios providing an initial snapshot of the radar operating scenario.




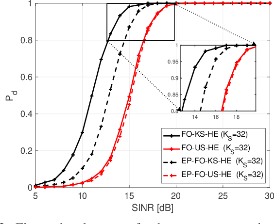
Abstract:This paper is devoted to the performance analysis of the detectors proposed in the companion paper where a comprehensive design framework is presented for the adaptive detection of subspace signals. The framework addresses four variations on subspace detection: the subspace may be known or known only by its dimension; consecutive visits to the subspace may be unconstrained or they may be constrained by a prior probability distribution. In this paper, Monte Carlo simulations are used to compare the generalized likelihood ratio (GLR) detectors derived in [1] with estimate-and-plug (EP) approximations of the GLR detectors. Remarkably, the EP approximations appear here for the first time (at least to the best of the authors' knowledge). The numerical examples indicate that GLR detectors are effective for the detection of partially-known signals affected by inherent uncertainties due to the system or the operating environment. In particular, if the signal subspace is known, GLR detectors tend to outperform EP detectors. If, instead, the signal subspace is known only by its dimension, the performance of GLR and EP detectors is very similar.




Abstract:This letter deals with the problem of clutter edge detection and localization in training data. To this end, the problem is formulated as a binary hypothesis test assuming that the ranks of the clutter covariance matrix are known, and adaptive architectures are designed based on the generalized likelihood ratio test to decide whether the training data within a sliding window contains a homogeneous set or two heterogeneous subsets. In the design stage, we utilize four different covariance matrix structures (i.e., Hermitian, persymmetric, symmetric, and centrosymmetric) to exploit the a priori information. Then, for the case of unknown ranks, the architectures are extended by devising a preliminary estimation stage resorting to the model order selection rules. Numerical examples based on both synthetic and real data highlight that the proposed solutions possess superior detection and localization performance with respect to the competitors that do not use any a priori information.




Abstract:In this letter, a new approach for the retrieval of the vertical column concentrations of trace gases from hyperspectral satellite observations, is proposed. The main idea is to perform a linear spectral unmixing by estimating the abundances of trace gases spectral signatures in each mixed pixel collected by an imaging spectrometer in the ultraviolet region. To this aim, the sparse nature of the measurements is brought to light and the compressive sensing paradigm is applied to estimate the concentrations of the gases' endemembers given by an a priori wide spectral library, including reference cross sections measured at different temperatures and pressures at the same time. The proposed approach has been experimentally assessed using both simulated and real hyperspectral dataset. Specifically, the experimental analysis relies on the retrieval of sulfur dioxide during volcanic emissions using data collected by the TROPOspheric Monitoring Instrument. To validate the procedure, we also compare the obtained results with the sulfur dioxide total column product based on the differential optical absorption spectroscopy technique and the retrieved concentrations estimated using the blind source separation.