



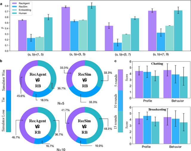
Recommender system has deeply revolutionized people's daily life and production, bringing a large amount of business value. In the recommendation domain, simulation and real data-based studies are two typical research paradigms, with each having different advantages. Previously, real data-based studies occupy more important positions, since accurately simulating the user preference is quite difficult. Recently, large language models (LLM) have shown great potential to achieve human-like intelligence, which provides new opportunities to overcome the shortcomings of simulation-based studies and thus highlight their advantages, such as much more application scenarios and cheaper data acquisition strategies. To shed lights on this direction, in this paper, we introduce an LLM-based recommender simulator called RecAgent. Our simulator is composed of two modules: (1) the user module and (2) the recommender module. The user module can browse the recommendation website, communicate with other users and broadcast messages on the social media. The recommender module is designed to provide search or recommendation lists to the users, and one can design different models to implement the recommender. All the users take actions based on LLMs, and can freely evolve like in the real world. We present several case studies to demonstrate that the users in our simulator can indeed behave in a reasonable manner as expected. Our project has been released at https://github.com/RUC-GSAI/YuLan-Rec.