



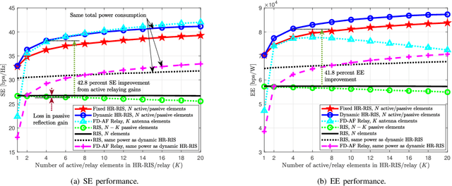
Reconfigurable intelligent surfaces (RISs) have emerged as a cost- and energy-efficient technology that can customize and program the physical propagation environment by reflecting radio waves in preferred directions. However, the purely passive reflection of RISs not only limits the end-to-end channel beamforming gains, but also hinders the acquisition of accurate channel state information for the phase control at RISs. In this paper, we provide an overview of a hybrid relay-reflecting intelligent surface (HR-RIS) architecture, in which only a few elements are active and connected to power amplifiers and radio frequency chains. The introduction of a small number of active elements enables a remarkable system performance improvement which can also compensate for losses due to hardware impairments such as the deployment of limited-resolution phase shifters. Particularly, the active processing facilitates efficient channel estimation and localization at HR-RISs. We present two practical architectures for HR-RISs, namely, fixed and dynamic HR-RISs, and discuss their applications to beamforming, channel estimation, and localization. The benefits, key challenges, and future research directions for HR-RIS-aided communications are also highlighted. Numerical results for an exemplary deployment scenario show that HR-RISs with only four active elements can attain up to 42.8 percent and 41.8 percent improvement in spectral efficiency and energy efficiency, respectively, compared with conventional RISs.